原文作者简介:Sebastian Ruder 是我非常喜欢的一个博客作者,是 NLP 方向的博士生,目前供职于一家做 NLP 相关服务的爱尔兰公司 AYLIEN,博客主要是写机器学习、NLP 和深度学习相关的文章。
- 本文原文是 An overview of gradient descent optimization algorithms,同时作者也在 arXiv 上发了一篇同样内容的 论文。
- 本文结合了两者来翻译,但是阅读原文我个人建议读博客中的,感觉体验更好点。
- 文中括号中或者引用块中的 斜体字 为对应的英文原文或者我自己注释的话(会标明
译者注),否则为原文中本来就有的话。 - 为方便阅读,我在引用序号后加了所引用论文的题目,用 斜体字 表示,例如 Learning rate schedules [11,A stochastic approximation method] 。
- 水平有限,如有错误欢迎指出。翻译尽量遵循原文意思,但不意味着逐字逐句。
- 本文也放在 我 GitHub 上的 awesome-posts 项目 上,选取数据科学和机器学习领域内比较好的英文文章进行翻译,欢迎各位 star 。
Abstract
梯度下降算法虽然最近越来越流行,但是始终是作为一个「黑箱」在使用,因为对他们的优点和缺点的实际解释(practical explainations)很难实现。这篇文章致力于给读者提供这些算法工作原理的一个直观理解。在这篇概述中,我们将研究梯度下降的不同变体,总结挑战,介绍最常见的优化算法,介绍并行和分布式设置的架构,并且也研究了其他梯度下降优化策略。
Introduction
梯度下降是最流行的优化算法之一,也是目前优化神经网络最常用的算法。同时,每一个最先进的深度学习库都包含了梯度下降算法的各种变体的实现(例如 lasagne,caffe,keras)。然而始终是作为一个「黑箱」在使用,因为对他们的优点和缺点的实际解释很难实现。这篇文章致力于给读者提供这些算法工作原理的一个直观理解。我们首先介绍梯度下降的不同变体,然后简单总结下在训练中的挑战。接着,我们通过展示他们解决这些挑战的动机以及如何推导更新规则来介绍最常用的优化算法。我们也会简要介绍下在并行和分布式架构中的梯度下降。最后,我们会研究有助于梯度下降的其他策略。

着目标函数的下坡方向来达到一个山谷。如果你对梯度下降不熟悉,你可以在 这里 找到一个很好的关于优化神经网络的介绍。
Gradient descent variants
依据计算目标函数梯度使用的数据量的不同,有三种梯度下降的变体。根据数据量的大小,我们在参数更新的准确性和执行更新所需时间之间做了一个权衡。
Batch gradient descent

由于为了一次参数更新我们需要在整个训练集上计算梯度,导致 BGD 可能会非常慢,而且在训练集太大而不能全部载入内存的时候会很棘手。BGD 也不允许我们在线更新模型参数,即实时增加新的训练样本。
下面是 BGD 的代码片段:
for i in range(nb_epochs):
params_grad = evaluate_gradient(loss_function, data, params)
params = params - learning_rate * params_grad
其中 nb_epochs 是我们预先定义好的迭代次数(epochs),我们首先在整个训练集上计算损失函数关于模型参数 params 的梯度向量 params_grad。其实目前最新的深度学习库都已经提供了关于一些参数的高效自动求导。如果你要自己求导求梯度,那你最好使用梯度检查(gradient checking),在 这里 查看关于如何进行合适的梯度检查的提示。
然后我们在梯度的反方向更新模型参数,而学习率决定了每次更新的步长大小。BGD 对于凸误差曲面(convex error surface)保证收敛到全局最优点,而对于非凸曲面(non-convex surface)则是局部最优点。
Stochastic gradient descen

BGD 对于大数据集来说执行了很多冗余的计算,因为在每一次参数更新前都要计算很多相似样本的梯度。SGD 通过一次执行一次更新解决了这种冗余。因此通常 SGD 的速度会非常快而且可以被用于在线学习。SGD 以高方差的特点进行连续参数更新,导致目标函数严重震荡,如图 1 所示。

图 1:SGD 震荡,来自 Wikipedia
BGD 能够收敛到(局部)最优点,然而 SGD 的震荡特点导致其可以跳到新的潜在的可能更好的局部最优点。已经有研究显示当我们慢慢的降低学习率时,SGD 拥有和 BGD 一样的收敛性能,对于非凸和凸曲面几乎同样能够达到局部或者全局最优点。
代码片段如下,只是加了个循环和在每一个训练样本上计算梯度。注意依据 这里 的解释,我们在每次迭代的时候都打乱训练集。
for i in range(nb_epochs):
np.random.shuffle(data)
for example in data:
params_grad = evaluate_gradient(loss_function, example, params)
params = params - learning_rate * params_grad
Mini-batch gradient descent

这样做有两个好处:
- 减小参数更新的方差,这样可以有更稳定的收敛。
- 利用现在最先进的深度学习库对矩阵运算进行了高度优化的特点,这样可以使得计算 mini-batch 的梯度更高效。

代码片段如下,我们每次使用 mini-batch 为 50 的样本集来进行迭代:
for i in range(nb_epochs):
np.random.shuffle(data)
for batch in get_batches(data, batch_size=50):
params_grad = evaluate_gradient(loss_function, batch, params)
params = params - learning_rate * params_grad
Challenges
标准的 MBGD 并不保证好的收敛,也提出了一下需要被解决的挑战:
- 选择一个好的学习率是非常困难的。太小的学习率导致收敛非常缓慢,而太大的学习率则会阻碍收敛,导致损失函数在最优点附近震荡甚至发散。
- Learning rate schedules [11,A stochastic approximation method] 试图在训练期间调整学习率即退火(annealing),根据先前定义好的一个规则来减小学习率,或者两次迭代之间目标函数的改变低于一个阈值的时候。然而这些规则和阈值也是需要在训练前定义好的,所以也不能做到自适应数据的特点 [10,Learning rate schedules for faster stochastic gradient search]。
- 另外,相同的学习率被应用到所有参数更新中。如果我们的数据比较稀疏,特征有非常多不同的频率,那么此时我们可能并不想要以相同的程度更新他们,反而是对更少出现的特征给予更大的更新。
- 对于神经网络来说,另一个最小化高度非凸误差函数的关键挑战是避免陷入他们大量的次局部最优点(suboptimal)。Dauphin 等人 [19,Identifying and attacking the saddle point problem in high-dimensional non-convex optimization] 指出事实上困难来自于鞍点而不是局部最优点,即损失函数在该点的一个维度上是上坡(slopes up)( 译者注:斜率为正 ),而在另一个维度上是下坡(slopes down)( 译者注:斜率为负 )。这些鞍点通常被一个具有相同误差的平面所包围,这使得对于 SGD 来说非常难于逃脱,因为在各个维度上梯度都趋近于 0 。
Gradient descent optimization algorithms
接下来,我们将会概述一些在深度学习社区常用的算法,这些算法解决了我们前面提到的挑战。我们不会讨论实际上在高维数据集上不可行的算法,例如二阶方法中的 牛顿法。
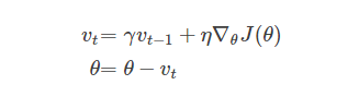
Momentum
SGD 在遇到沟壑(ravines)会比较困难,即在一个维度上比另一个维度更陡峭的曲面 [1,Two problems with backpropagation and other steepest-descent learning procedures for networks] ,这些曲面通常包围着局部最优点。在这些场景中,SGD 震荡且缓慢的沿着沟壑的下坡方向朝着局部最优点前进,如图 2 所示。

图 2:不带动量的 SGD
动量(Momentum)[2,On the momentum term in gradient descent learning algorithms] 是一种在相关方向加速 SGD 的方法,并且能够减少震荡,如图 3 所示。

图 3:带动量的 SGD
它在当前的更新向量中加入了先前一步的状态:


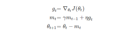
Nesterov accelerated gradient
然而,一个球盲目的沿着斜坡下山,这不是我们希望看到的。我们希望有一个聪明的球,他知道将要去哪并可以在斜坡变成上坡前减速。




图 4:Nesterov 更新,来自 G. Hinton’s lecture 6c
可以在 这里 查看对 NAG 的另一种直观解释,此外 Ilya Sutskever 在他的博士论文中也给出了详细解释 [9,Training Recurrent neural Networks] 。
现在我们已经能够依据误差函数的斜率来调整更新,并加快 SGD 的速度,此外我们也想根据每个参数的重要性来决定进行更大还是更小的更新。
Adagrad
Adagrad [3,Adaptive Subgradient Methods for Online Learning and Stochastic Optimization] 就是这样一种解决这个问题的基于梯度的优化算法:根据参数来调整学习率,对于不常见的参数给予更大的更新,而对于常见的给予更小的更新。因此,Adagrad 非常适用于稀疏数据。Dean 等人 [4,Large Scale Distributed Deep Networks] 发现 Adagrad 能够大幅提高 SGD 的鲁棒性,并在 Google 用其训练大规模神经网络,这其中就包括 在 YouTube 中学习识别猫。除此之外,Pennington 等人 [5,Glove: Global Vectors for Word Representation] 使用 Adagrad 来训练 GloVe 词嵌入,因为罕见的词汇需要比常见词更大的更新。



Adagrad 最大的一个优点是我们可以不用手动的调整学习率。大多数实现使用一个默认值 0.01 。
Adagrad 主要的缺点是分母中累积的平方和梯度:由于每一个新添加的项都是正的,导致累积和在训练期间不断增大。这反过来导致学习率不断减小,最终变成无限小,这时算法已经不能再继续学习新东西了。下面的这个算法就解决了这个问题。
Adadelta





使用 Adadelta 时我们甚至不需要指定一个默认的学习率,因为它已经不在更新规则中了。
RMSprop
RMSprop 是一种未发布的自适应学习率的方法,由 Geoff Hinton 在 Lecture 6e of his Coursera Class 中提出。
RMSprop 和 Adadelta 在同一时间被独立地发明出来,都是为了解决 Adagrad 的学习率递减问题。事实上 RMSprop 与我们上面讨论过的 Adadelta 的第一个更新向量一模一样:

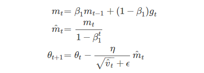
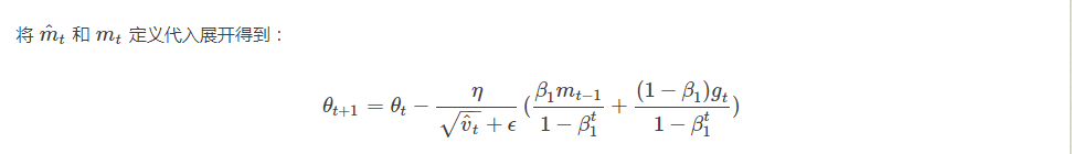
Adam




AdaMax


Nadam







Visualization of algorithms
下面的两个动画(来自 Alec Radford)提供了对当前优化算法行为的直观解释。也可以在 这里 查看 Karpathy 对这些动画的描述和对我们讨论过的算法的解释。

图 5:在损失曲面等值线上的 SGD 优化
在图 5 中我们可以看到他们在损失曲面的等值线上(the Beale function)随时间的变化趋势。注意到 Adadelta 、Adagrad 和 RMSprop 几乎立即开始在正确的方向下降并收敛速度几乎一样快,然而动量和 NAG 则「脱轨」了。不过由于 NAG 的「向前看」能力使其很快的纠正方向并朝着最小点前进。
译者注:方便起见我把 Beale 函数的图像和解析式放在这里。



图 6:在鞍点处的 SGD 优化
图 6 显示了在鞍点处的算法行为,即该点在一个方向斜率为正,其他方向斜率为负,正如我们之前提到的这对于 SGD 是一个难点。注意到 SGD 、动量和 NAG 很难打破对称性,尽管后两者最终逃离的鞍点,但是 Adagrad 、RMSprop 和 Adadelta 很快朝着斜率为负的方向前进了。
可以看到自适应学习率的方法,例如 Adagrad 、Adadelta 、RMSprop 和 Adam 在这些场景中是最合适的并且提供了最好的收敛。
Which optimizer to use?
那么,你应该使用哪种优化算法呢?如果你的数据比较稀疏,那么使用自适应学习率的算法很可能会让你得到最好的结果。另外一个好处是你不用去调节学习率,使用默认的设置可能就会让你达到最好的效果。
总的来说,RMSprop 是 Adagrad 的一种扩展,用来解决后者学习率逐渐递减的问题。它和 Adadelta 非常像,除了 Adadelta 在更新规则的分子上使用参数更新的 RMS (译者注:均方误差)。Adam 最终在 RMSprop 的基础上加了偏差修正和动量。在这方面,RMSprop 、Adadelta 和 Adam 非常相似,在相似的环境下也表现地一样好。Kingma 等人 [15,Adam: a Method for Stochastic Optimization] 表示随着梯度越来越稀疏,Adam 的偏差修正使其略微优于 RMSprop 。在这个方面总体上来说 Adam 可能是最好的选择。
有趣的是,许多最近的论文仅仅使用普通的不带动量 SGD 和一个简单的学习率退火机制(annealing schedule)。正如我们前面所讨论的,SGD 通常会找到最优点,但是相比其他一些优化算法可能花费的时间比较长,更依赖于一个好的初始化和退火机制,而且也可能陷入鞍点而不是局部最优点。所以,如果你比较关心收敛速度并且在训练一个深度或者复杂的神经网络,你应该选择一个自适应学习率算法。
Parallelizing and distributing SGD
鉴于大数据解决方案的普及以及低价集群的可用性,使用分布式 SGD 来进一步加速训练是一个很明显的选择。SGD 本质上是按顺序执行的:我们一步一步朝着最优点前进。SGD 提供了较好的收敛但是在大数据集上可能会速度较慢。相反,异步执行 SGD 比较快,但是 worker 之间不理想的通信可能会造成比较差的收敛。另外,我们也可以不需要大型计算集群,在一台机器上并行执行 SGD 。下面是目前提出的用于优化并行和分布式 SGD 的算法和架构。
Hogwild!
Niu 等人 [23,Hogwild! : A Lock-Free Approach to Parallelizing Stochastic Gradient Descent] 引入了一个更新机制称为 Hogwild!,可以在 CPU 上并行执行 SGD 。处理器可以在不锁参数的情况下访问共享内存。由于没次更新只修改一部分参数,所以这种方法只适合于输入数据比较稀疏的情况。他们表明在这种情况下该方法可以达到几乎最优的收敛速度,因为处理器是不太可能覆盖有用信息的。
Downpour SGD
Downpour SGD 是一种 SGD 的异步变体,由 Dean 等人 [4,Large Scale Distributed Deep Networks] 在谷歌的 DistBelief 框架(TensorFlow 的前身)中使用。它在训练数据的子集上并行的运行一个模型的多个副本。这些模型将他们的更新发送到一个参数服务器,他们分布在多个机器上。每个机器只负责存储和更新全部模型参数的一部分。然而由于这些机器并不需要相互通信,例如共享权重或者更新,导致他们的参数一直有发散的风险,阻碍收敛。
Delay-tolerant Algorithms for SGD
McMahan 和 Streeter [12,Delay-Tolerant Algorithms for Asynchronous Distributed Online Learning] 通过开发一个延迟容忍(delay-tolerant)算法来扩展 Adagrad 使其并行化,该算法不仅自适应历史梯度,而且也更新延迟(delays)。在实际中也被证明该方法很有效。
TensorFlow
TensorFlow [13,TensorFlow : Large-Scale Machine Learning on Heterogeneous Distributed System] 是 Google 最近开源的用于实现和部署大规模机器学习模型的框架。TensorFlow 基于他们使用 DistBelief 的经验,并且已经在内部使用,用于在大范围的移动设备和大规模分布式系统上执行计算。分布式执行中,一个计算图针对每一个设备被拆分成多个子图,使用发送/接收节点对进行通信。
Elastic Averaging SGD
Zhang 等人 [14,Deep learning with Elastic Averaging SGD] 提出了 Elastic Averaging SGD(EASGD),将异步 SGD 中每个 worker 参数用一个「弹力」(elastic force)连接起来,即一个由参数服务器保存的中心变量。这允许本地变量在中心变量附近进一步震荡,这理论上可以在更大的参数空间中进行探索。他们以经验证明这种增加的探索能力可以寻找新的局部最优点从而提升性能。
Additional strategies for optimizing SGD
最后,我们介绍一些可以和前面讨论的算法一起使用的策略,用以进一步提升 SGD 的性能。对于一些其他常用的技巧,可以参见 [22,Efficient BackProp. Neural Networks: Tricks of the Trade] 。
Shuffling and Curriculum Learning
通常,我们想要避免给模型提供的训练数据是有特定顺序的,因为这会使模型带有偏见。因此,每次迭代完之后打乱训练数据是一个很好地想法。
但是另一方面,有些情况下我们想要逐步解决更难的问题,我们将训练数据以一种有意义的顺序提供给模型,这可能会提升性能和得到更好的收敛。构建这种有意义的顺序的方法称为课程学习(Curriculum Learning)[16,Curriculum learning] 。
Zaremba 和 Sutskever [17,Learning to Execute] 只能训练 LSTMs 来评估使用课程学习的简单程序,而且表明组合或者混合的方法要比单一方法更有效,通过增加难度来排序样本。
Batch normalization
为方便学习,我们一般会正规化(normalize)参数的初始值,以 0 均值和单位方差来初始化。随着训练的进行和我们将参数更新到不同的程度,我们损失了这种正规化,导致训练速度变慢并且随着网络越来越深,这种影响被渐渐放大。
Batch normalization [18,Batch Normalization : Accelerating Deep Network Training by Reducing Internal Covariate Shift] 重新为每一个 mini-batch 建立了这种正规化并且变化也会随着这个操作反向传播。通过在模型中加入正规化,我们可以使用更高的学习率而且不用太关心参数的初始化。Batch normalization 此外也扮演者正则化的角色,可以减少(甚至有些时候消除)Dropout 的需要.
Early stopping
根据 Geoff Hinton: “Early stopping (is) beautiful free lunch“(NIPS 2015 Tutorial slides,slide 63),你应该在训练时时刻监视着验证集误差,并且在你的验证集误差不再足够地降低时停止训练。
Gradient noise


他们表明添加这个噪声使得网络对较差的初始化更具有鲁棒性并且尤其对训练深度和复杂的网络很有帮助。他们怀疑添加的噪声使得模型有更多机会逃离和找到新的局部最优点,这在深度模型中很常见。
Conclusion
本文中,我们首先看了梯度下降的 3 中变体,其中 mini-batch 梯度下降最流行。我们然后研究了几种最常使用的用于优化 SGD 的算法:动量,Nesterov accelerated gradient,Adagrad,Adadelta,RMSprop,Adam 以及为优化异步 SGD 的不同算法。最后,我们考虑了用于提升 SGD 性能的其他策略,例如 shuffling 与 curriculum learning,batch normalization 以及 early stopping。我希望这篇文章可以给你提供一个关于不同优化算法的行为和动机的直观理解。
References
- Sutton, R. S. (1986). Two problems with backpropagation and other steepest-descent learning procedures for networks. Proc. 8th Annual Conf. Cognitive Science Society.
- Qian, N. (1999). On the momentum term in gradient descent learning algorithms. Neural Networks : The Official Journal of the International Neural Network Society, 12(1), 145–151. doi.org/10.1016/S08…
- Duchi, J., Hazan, E., & Singer, Y. (2011). Adaptive Subgradient Methods for Online Learning and Stochastic Optimization. Journal of Machine Learning Research, 12, 2121–2159. Retrieved from jmlr.org/papers/v12/…
- Dean, J., Corrado, G. S., Monga, R., Chen, K., Devin, M., Le, Q. V, … Ng, A. Y. (2012). Large Scale Distributed Deep Networks. NIPS 2012: Neural Information Processing Systems, 1–11. doi.org/10.1109/ICD…
- Pennington, J., Socher, R., & Manning, C. D. (2014). Glove: Global Vectors for Word Representation. Proceedings of the 2014 Conference on Empirical Methods in Natural Language Processing, 1532–1543. doi.org/10.3115/v1/…
- Zeiler, M. D. (2012). ADADELTA: An Adaptive Learning Rate Method. Retrieved from arxiv.org/abs/1212.57…
- Nesterov, Y. (1983). A method for unconstrained convex minimization problem with the rate of convergence o(1/k2). Doklady ANSSSR (translated as Soviet.Math.Docl.), vol. 269, pp. 543– 547.
- Bengio, Y., Boulanger-Lewandowski, N., & Pascanu, R. (2012). Advances in Optimizing Recurrent Networks. Retrieved from arxiv.org/abs/1212.09…
- Sutskever, I. (2013). Training Recurrent neural Networks. PhD Thesis.
- Darken, C., Chang, J., & Moody, J. (1992). Learning rate schedules for faster stochastic gradient search. Neural Networks for Signal Processing II Proceedings of the 1992 IEEE Workshop, (September), 1–11. doi.org/10.1109/NNS…
- H. Robinds and S. Monro, “A stochastic approximation method,” Annals of Mathematical Statistics, vol. 22, pp. 400–407, 1951.
- Mcmahan, H. B., & Streeter, M. (2014). Delay-Tolerant Algorithms for Asynchronous Distributed Online Learning. Advances in Neural Information Processing Systems (Proceedings of NIPS), 1–9. Retrieved from papers.nips.cc/paper/5242-…
- Abadi, M., Agarwal, A., Barham, P., Brevdo, E., Chen, Z., Citro, C., … Zheng, X. (2015). TensorFlow : Large-Scale Machine Learning on Heterogeneous Distributed Systems.
- Zhang, S., Choromanska, A., & LeCun, Y. (2015). Deep learning with Elastic Averaging SGD. Neural Information Processing Systems Conference (NIPS 2015), 1–24. Retrieved from arxiv.org/abs/1412.66…
- Kingma, D. P., & Ba, J. L. (2015). Adam: a Method for Stochastic Optimization. International Conference on Learning Representations, 1–13.
- Bengio, Y., Louradour, J., Collobert, R., & Weston, J. (2009). Curriculum learning. Proceedings of the 26th Annual International Conference on Machine Learning, 41–48. doi.org/10.1145/155…
- Zaremba, W., & Sutskever, I. (2014). Learning to Execute, 1–25. Retrieved from arxiv.org/abs/1410.46…
- Ioffe, S., & Szegedy, C. (2015). Batch Normalization : Accelerating Deep Network Training by Reducing Internal Covariate Shift. arXiv Preprint arXiv:1502.03167v3.
- Dauphin, Y., Pascanu, R., Gulcehre, C., Cho, K., Ganguli, S., & Bengio, Y. (2014). Identifying and attacking the saddle point problem in high-dimensional non-convex optimization. arXiv, 1–14. Retrieved from arxiv.org/abs/1406.25…
- Sutskever, I., & Martens, J. (2013). On the importance of initialization and momentum in deep learning. doi.org/10.1109/ICA…
- Neelakantan, A., Vilnis, L., Le, Q. V., Sutskever, I., Kaiser, L., Kurach, K., & Martens, J. (2015). Adding Gradient Noise Improves Learning for Very Deep Networks, 1–11. Retrieved from arxiv.org/abs/1511.06…
- LeCun, Y., Bottou, L., Orr, G. B., & Müller, K. R. (1998). Efficient BackProp. Neural Networks: Tricks of the Trade, 1524, 9–50. doi.org/10.1007/3-5…
- Niu, F., Recht, B., Christopher, R., & Wright, S. J. (2011). Hogwild! : A Lock-Free Approach to Parallelizing Stochastic Gradient Descent, 1–22.
- Dozat, T. (2016). Incorporating Nesterov Momentum into Adam. ICLR Workshop, (1), 2013–2016.
- Duchi et al. [3] give this matrix as an alternative to the full matrix containing the outer products of all previous gradients, as the computation of the matrix square root is infeasible even for a moderate number of parameters dd.