记:多标签分类问题
机器学习 多标签分类
最近遇到给个标签问题,就是给一个object打个多个标签,网上查了很多资料。发现百度没搜索出什么,后来是到知网上找到一些靠谱的资料,然后在Google一下。现在总结下多标签问题。
多标签方法大致可以分为两类,分别是问题转换和算法改造。
先描述下问题:

先介绍问题转换方法.
问题转换方法
第一个大类是基于标记转换方法。
第一个是Binary Relevance (BR)。
根据标签我们将数据重新组成正负样本,针对每个类别标签,我们分别训练基分类器,整体复杂度q × O(C) ,其中 O(C) 为基础分类算法的复杂度,因此, BR 算法针对标记数量 q 比较小的情况下适用。但是在很场景中,标记是有树状的层次的关联的。对于这种情况, BR 就没有考虑到这些标记之间的关联性。

第二个是Classifier Chain(CC)。
针对BR中标签关联性的问题,CC中它将这些基分类器 Cj , j = 1 … q串联起来形成一条链,前一个基分类器的输出作为下一个基分类器的输入。
第二大类是基于样本实例转换方法
第一个是创新新的标记(Label-Powerset)。
这样做的代价是标记的数量就会增加,并且一些标记只有很少的实例,但是 LP 的 优点是考虑到了标记之间的关联性。
第二个是分解多标记
上面图中的意思是我们可以将训练数据多次使用,叫做cross-training,即我们将上图中 E1 既当做训练 y2 类别是正样本,也当做训练 y3 样本时候的正样本,感觉跟Binary Relevance (BR)算法是一个意思。
算法改造方法
算法改造算法针对特殊的算法改造而来。
主要介绍两个,可以具体参考 scikit.ml/api/classif… 。
神经网络
此处介绍下论文 Multi-Label Neural Networks with Applications to
Functional Genomics and Text Categorization,一种神经网络算法。
其实就是简单的深度网络:
但是需要注意的是我们的 loss 函数的选取,假设我们选择
那相当于只是考虑了单个标签值,0 or 1,没有考虑不同标签之间相关性,所以我们将loss改为如下:

上面k是有标签的下标,而l是没有标签的下标,我们考量了有标签的值其意义大于没有标签的值。
最后我们在介绍一篇新出的神经网络的模型,论文Learning Deep Latent Spaces for Multi-Label Classification
其模型如下:
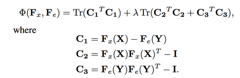
其中 Fx,Fe,Fd 分别是3个 dnn,分别代表 特征提取,标签encode,隐向量 decode,而 loss 函数有两部分组成:

其中 embedding loss 为:
output loss 为:

可以看到这个跟Multi-Label Neural Networks with Applications to
Functional Genomics and Text Categorization中的loss函数是一样的。
如果对这篇论文还有不理解的,非常幸运的是网上有论文的实现,见C2AE-Multilabel-Classification.
总结
本文对多标签问题简单做了个介绍,想起现在图片分类,视频内容识别等场景好多都是多标签问题,有时间再继续深入了解的。
你的鼓励是我继续写下去的动力,期待我们共同进步。

参考
多标记分类方法比较 徐兆桂
Learning Deep Latent Spaces for Multi-Label Classification
Multi-label machine learning and its application to semantic scene classification