今日头条【吴恩达 Coursera 第二课记录】

513 阅读9分钟
原文链接: m.toutiaocdn.cn

划分数据集: train,dev,test

  • Train sets 用来训练你的算法模型

  • Dev sets 用来验证不同算法的表现情况,从中选择最好的算法模型

  • Test sets 用来测试最好算法的实际表现,作为该算法的无偏估计

这 3 个集合在数量不大,如:100,1000,10000 的时候,设置为 60%、20%、20%,或者 70% 和 30%(无 dev);

大数据时代,对于 100 万的样本,往往也只需要 10000 个样本就够了,对于大数据样本,Train/Dev/Test sets 的比例通常可以设置为 98%/1%/1%,或者 99%/0.5%/0.5%。样本数据量越大,相应的 Dev/Test sets 的比例可以设置的越低一些。

上述这么划分数据的一个前提假设是:训练样本和测试样本来自于相同分布。

举个例子,假设你开发一个手机 app,可以让用户上传图片,然后 app 识别出猫的图片。在 app 识别算法中,你的训练样本可能来自网络下载,而你的验证和测试样本可能来自不同用户的上传。从网络下载的图片一般像素较高而且比较正规,而用户上传的图片往往像素不稳定,且图片质量不一。因此,训练样本和验证 / 测试样本可能来自不同的分布。

我们在参加比赛的时候,一般不需要去设置 testset,Test sets 的目标主要是进行无偏估计。我们可以通过 Train sets 训练不同的算法模型,然后分别在 Dev sets 上进行验证,根据结果选择最好的算法模型。

Bias/Variance

  • high bias。 减少 high bias 的方法通常是增加神经网络的隐藏层个数、神经元个数,训练时间延长,选择其它更复杂的 NN 模型等。

  • high variance。减少 high variance 的方法通常是增加训练样本数据,进行正则化 Regularization,选择其他更复杂的 NN 模型等。

传统机器学习算法中,Bias 和 Variance 通常是对立的,减小 Bias 会增加 Variance,减小 Variance 会增加 Bias。而在现在的深度学习中,通过使用更复杂的神经网络和海量的训练样本,一般能够同时有效减小 Bias 和 Variance。

问题 优化方法
高偏差 增加复杂度
高方差 正则化,增加数据

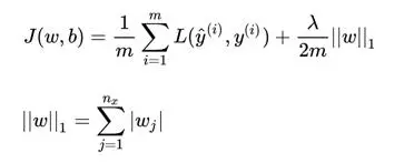
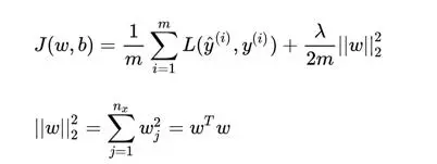
正则化常用方法

L2 正则化

吴恩达 Coursera 第二课记录

问题:为什么只对 w 进行正则化而不对 b 进行正则化呢?

答:因为 w 维数高,复杂度远超 b。

L1 正则化

吴恩达 Coursera 第二课记录

L1 优点:节约存储空间,因为大部分 w 为 0。

缺点:微分求导方面比较复杂。

结论:选择 L2 regularization。

L2 方法分析

问:为什么 L2 正则化有效?

答:可以这么理解。

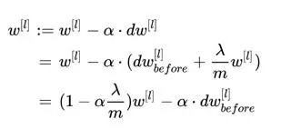
加入正则化后,参数 w 的更新变为:

吴恩达 Coursera 第二课记录

吴恩达 Coursera 第二课记录

此处显然

吴恩达 Coursera 第二课记录

也就意味着加入 L2 后,参数 w 的衰减加快,而我们在神经网络中一般会有一个激活函数,我们以 tanh 为例:

吴恩达 Coursera 第二课记录

如果 w 小话,意味着输出小,而 tanh 在 0 附近接近于线性,也就意味着网络的非线性整体减小了。

但是如果 w 过小,意味着某些神经元会不起作用,网络变为:

吴恩达 Coursera 第二课记录

此时网络的拟合能力变弱,因此我们要选择一个合适的 ,防止 w 衰减过快。

Dropout

Dropout 有不同的实现方法,下面介绍:

Inverted dropout

keep_prob = 0.8# 保留0.8dl = np.random.rand(al.shape[0],al.shape[1])<keep_probal = np.multiply(al,dl)# scale up 操作al /= keep_prob

对 al 进行 scale up 是为了保证在经过 dropout 后, al 作为下一层神经元的输入值尽量保持不变。

问:dropout 为什么起作用?

答:通过随机让某些神经元失效,让结果不依赖于特定的神经元,也就防止了过拟合。

dropout 设置原则

  • 神经元越多的隐藏层,keep_out 可以设置得小一些,例如 0.5;

  • 神经元越少的隐藏层,keep_out 可以设置的大一些,例如 0.8,设置是 1

其他正则方法

  • 增加训练样本数量

  • data augmentation,例如图片识别问题中,可以对已有的图片进行水平翻转、垂直翻转、任意角度旋转、缩放或扩大等等。

  • early stopping

吴恩达 Coursera 第二课记录

  • dev set error 开始升高时结束训练。

L2 和 early stopping 比较

机器学习训练模型有两个目标:

  • 一是优化 cost function,尽量减小 J;

  • 二是防止过拟合。

Early stopping 的做法通过减少迭代训练次数来防止过拟合,这样 J 就不会足够小。

L2 regularization,迭代训练足够多,减小 J,而且也能有效防止过拟合。

优选 L2 regularization。

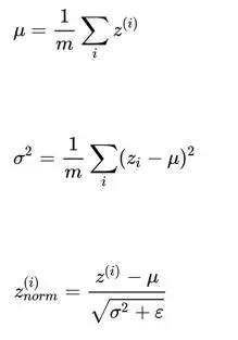
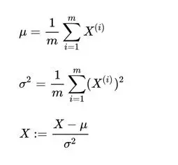
输入去均值,归一化

吴恩达 Coursera 第二课记录

吴恩达 Coursera 第二课记录

吴恩达 Coursera 第二课记录

注意:由于训练集进行了标准化处理,那么对于测试集或在实际应用时,应该使用同样的 和 对其进行标准化处理。这样保证了训练集合测试集的标准化操作一致。

权重初始化

深度神经网络模型中,以单个神经元为例,该层( l )的输入个数为 n,其输出为

吴恩达 Coursera 第二课记录

思路:为了让 z 不会过大或者过小,思路是让 w 与 n 有关,且 n 越大,w 应该越小才好。这样能够保证 z 不会过大。一种方法是在初始化 w 时,令其方差为 .

激活函数为 tanh 时,初始化 w 时,令其方差为 :

w[l] = np.random.randn(n[l],n[l-1])*np.sqrt(1/n[l-1])

激活函数为 ReLU,权重 w 的初始化一般令其方差为 :

w[l] = np.random.randn(n[l],n[l-1])*np.sqrt(2/n[l-1])

除此之外,Yoshua Bengio 提出了另外一种初始化 w 的方法,令其方差为 :

w[l] = np.random.randn(n[l],n[l-1])*np.sqrt(2/n[l-1]*n[l])

mini-batch

建议:对于 Mini-Batches Gradient Descent,可以进行多次 epoch 训练。而且,每次 epoch,最好是将总体训练数据重新打乱、重新分成 T 组 mini-batches,这样有利于训练出最佳的神经网络模型。

每个批次大小的建议:

如果总体样本数量 m 不太大时,例如 ,建议直接使用 Batch gradient descent。如果总体样本数量 m 很大时,建议将样本分成许多 mini-batches。推荐常用的 mini-batch size 为 64,128,256,512。这些都是 2 的幂。之所以这样设置的原因是计算机存储数据一般是 2 的幂,这样设置可以提高运算速度。

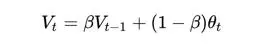
指数加权平均

公式

吴恩达 Coursera 第二课记录

近似有效的的值为:

吴恩达 Coursera 第二课记录

梯度下降方法

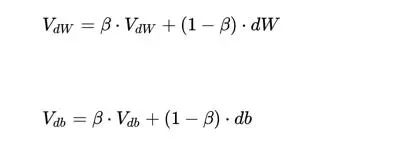
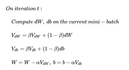
动量梯度下降算法

吴恩达 Coursera 第二课记录

原始的梯度下降算法如上图蓝色折线所示。在梯度下降过程中,梯度下降的振荡较大,尤其对于 W、b 之间数值范围差别较大的情况。此时每一点处的梯度只与当前方向有关,产生类似折线的效果,前进缓慢。而如果对梯度进行指数加权平均,这样使当前梯度不仅与当前方向有关,还与之前的方向有关,这样处理让梯度前进方向更加平滑,减少振荡,能够更快地到达最小值处。

权重 W 和常数项 b 的指数加权平均表达式如下:

吴恩达 Coursera 第二课记录

整个算法流程:

吴恩达 Coursera 第二课记录

初始时,令 。一般设置 ,即指数加权平均前 10 天的数据,实际应用效果较好。

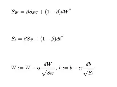
RMSprop

更新公式:

吴恩达 Coursera 第二课记录

图示:

吴恩达 Coursera 第二课记录

震荡的是一般的梯度下降,平缓的是 RMSprop。

原理是:哪个方向振荡大,就减小该方向的更新速度,从而减小振荡。

为了防止分母为 0,我们一般会修正如下:

吴恩达 Coursera 第二课记录

Adam

Adam(Adaptive Moment Estimation)算法结合了动量梯度下降算法和 RMSprop 算法。其算法流程为:

吴恩达 Coursera 第二课记录

所以我们一般会选择 Adam 算法。

学习率的设置

学习率衰减:

吴恩达 Coursera 第二课记录

其中,deacy_rate 是参数(可调),epoch 是训练完所有样本的次数。随着 epoch 增加,

会不断变小。

整体思路是:随着训练次数的增加,减少学习率。

调优步骤

深度神经网络需要调试的超参数(Hyperparameters)较多,包括:

  • :学习因子

  • :动量梯度下降因子

  • :Adam 算法参数

  • #layers:神经网络层数

  • #hidden units:各隐藏层神经元个数

  • learning rate decay:学习因子下降参数

  • mini-batch size:批量训练样本包含的样本个数

我们可以大致根据上面的顺序,挨个调整参数,直至最优。

对于神经网络层数选择的一个经验是:

像 CTR 预估中,3 层神经网络效果优于 2 层神经网络,但是如果把层数再不断增加 (4,5,6 层),对最后结果的帮助就没有那么大的跳变了。

而图像和音频处理比较特殊,需要更深的网络,这样子能更准确的提取图像、音频信息。

在具体的超参数选择上,我们通过随机化选择参数的方法:

吴恩达 Coursera 第二课记录

在确定一个范围后,然后再在此基础上缩小区域,重新随机选择参数:

吴恩达 Coursera 第二课记录

Batch Normalization

对于激活函数的输出在作为下一层输出前,做如下处理:

吴恩达 Coursera 第二课记录

但是从激活函数的角度来说,如果各隐藏层的输入均值在靠近 0 的区域即处于激活函数的线性区域,这样不利于训练好的非线性神经网络,得到的模型效果也不会太好,于是有了下面的修正:

吴恩达 Coursera 第二课记录

Batch Normalization at test time

如何在测试中使用 Batch Normalization?预测中只有一个样本输入,我们无法求均值和方差,因此我们就要去估计这个测试过程中的均值和方差。

一种估计方法是:使用训练过程中的均值和方差;

另外一种是:指数加权平均。

指数加权平均的做法很简单,对于第 l 层隐藏层,考虑所有 mini-batch 在该隐藏层下的 和 ,然后用指数加权平均的方式来预测得到当前单个样本的 和 。这样就实现了对测试过程单个样本的均值和方差估计。最后,再利用训练过程得到的 和 值计算出各层的 值。

总结

本文是对吴恩达深度学习课程的一个记录。笔记更多的是给自己记录一个 List,让以后实际工作中能够按照这个 list 来做网络的调试工作。

另外推荐知乎专栏红色石头的机器学习之路,里面对吴恩达的视频课可以说是给出了视频的文字稿件,方便我们回顾主要内容,非常感谢红色石头的!

头条上对于Markdown公式的显示不是很好,可以看原文地址:https://www.zybuluo.com/zhuanxu/note/1014888