支持向量机笔记

232 阅读1分钟

本来要写支持向量机(SVM)的,后来又读了遍《统计方法学习》,还是等等吧,我现在理解黄老师说为什么很多人不能够理解SVM,这东西得悟,说简单也简单,说难也难。。

分享下关于支持向量机的笔记~

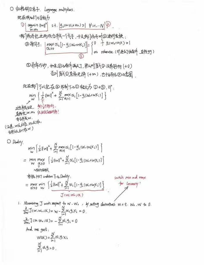
图片发自简书App


图片发自简书App


图片发自简书App


图片发自简书App


图片发自简书App