作者:chen_h
微信号 & QQ:862251340
微信公众号:coderpai
我的博客:请点击这里
这篇教程是翻译Paolo Galeone写的卷积自编码分析教程,作者已经授权翻译,这是原文。
卷积操作符会对输入信号进行滤波操作,以便提取其内容的一部分。在传统的方法中,自编码没有考虑到信号可以被看做是和其他信号的和。相反,卷积自编码就是使用卷积操作来做信号的叠加之和。他们对一组简单的输入信号进行编码,然后对这些信号再进行重新建模。
卷积

在一般连续状态,卷积被定义为两个函数(信号)被反转和移位之后的乘积的积分:

作为结果,卷积操作会产生一个新的函数(信号)。卷积满足交换操作,因此:

在一般的 n 维空间输入,自编码可以被用来训练解码(编码)。实际上,自编码通常用于对二维的,有限和离散输入信号进行特征提取,比如数字图像。
在二维离散空间,卷积操作可以被定义如下:

因为图像的范围有限,所以该公式可以变为:

其中:
O(i, j) 表示输出像素,位置是 (i, j)
2k+1 是表示矩形奇数卷积核的一条边
F 表示卷积核
I 表示输入图像
对于图1所示,单个卷积核操作在输入图像 I 的每个位置 (i, j) 进行卷积操作。

从图2可以很容易的看出,卷积操作的结果取决于卷积核的值。根据不同的卷积核设置,每个卷积核可以用于不同的图像处理任务,比如去噪,模糊处理等等....
离散二维卷积操作有两个附加参数:水平和垂直移动步数。它们是在执行单个卷积步骤之后,沿着图像 I 的各个维度跳过的像素的数量。通常,水平和垂直移动步数是相等的,它们被标记为 S 。
对于一个正方形的图像 Iw = Ih (这是为了简单描述,如果要扩充到一般的矩阵图像,非常方便),以步数 2k+1 ,进行二维的离散卷积操作之后,我们可以得到如下的图像 O :

到目前为止,我们已经利用了单个卷积核对图像进行灰度级(单通道)操作的情况。如果输入图像具有多个通道,即 D 个通道,那么卷积算子沿着每一个通道都要进行操作。
一般规则下,一个卷积核的输出通道数必须和输入图像的通道数一样。所以可以概括为,离散二维的卷积是将信号进行堆叠处理。
各个维度上的卷积
长方体完全可以由三元组 (W, H, D) 来表示,其中:
W≥1 表示长度
H≥1 表示高度
D≥1 表示深度
很明显,一个灰度图像可以看做是深度 D = 1 的长方体,而RGB图像可以看做是深度 D = 3 的长方体。
一个卷积核也可以看做是一个具有深度 D 的卷积核。特别地,我们可以将图像和滤波器视为单通道图像/滤波器的集合(与顺序无关)。

如果我们考虑图像的深度,那么以前的卷积公式可以概括为:

在图像上进行卷积之后,得到的结果称为激活图(activation map)。激活图是深度 D = 1 的长方体。
可能听起来很奇怪,在一个三维图像上的卷积得到的结果是一个二维的结果。实际上,对于具有深度 D 的输入信号,卷积核执行精确的 D 个离散的二维卷积操作。所产生的D个二维的激活图,之后将这D个激活图进行处理,从而得到一个二维的卷积结果。以这种方式,所得到的激活图 O 的每个单位 (i, j) 包含的信息是提取该位置所有信息的结果。
直观地来说,可以将该操作认为是将输入的RGB通道转换成一个单通道进行输出。
卷积自编码
卷积自编码(CAE)从不同的角度来定义滤波器的任务:而不像平时我们遇到的那些工程上的卷积滤波器,它们的作用就是让模型学习到最佳滤波器,从而使得重构误差最小。然后,这些训练好的滤波器就可以被使用到任何其他的计算机视觉任务。
目前利用卷积核进行无监督学习的最先进工具就是卷积自编码(CAE)。一旦这些卷积核被训练学习之后,它们将被应用到任何的输入数据去进行特征提取。然后,这些特征就可以被用于任何的任务,例如分类问题。
CAE是卷积神经网络(CNN)的一种类型:CNN和CAE之间最主要的区别在于前者是进行端到端的学习滤波器,并且将提取的特征进行组合从而用来分类。事实上,CNN通常被称为是一种监督学习。相反,后者通常被用来训练从输入数据中提取特征,从而重构输入数据。
由于它们的卷积性质,不管输入数据的维度是多大,CAE产生的激活图的数量都是相同的。因此,CAE完全忽略了二维图像本身的结构,而是作为了一个通用特征提取器。事实上,在自编码(AE)中,图像必须被展开成单个向量,并且网络对输入向量的神经元个数有一定的约束。换句话说,AE迫使每个特征是全局的(即,跨越整个视野),所以它的参数中是存在冗余的,而CAE不是。
编码器
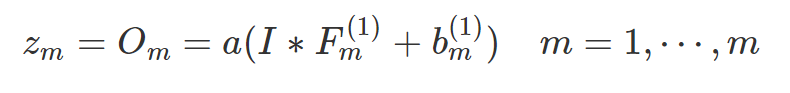
很容易理解,单个卷积滤波器不能学会提取图像的各种各样的模式。为此,每个卷积层是由 n 个(超参数)卷积核组成的,每个卷积核的深度是 D ,其中 D 表示输入数据的通道数。
因此,每个具有深度 D 的输入数据

和一组 n 个卷积核

之间进行的卷积操作,从而产生一组 n 个激活图,或者等价的特征图。当然,最后产生的特征图的通道数还是 n ,具体如下:

为了提高网络的泛化能力,每个卷积都会被非线性函数 a 激活,以这种方式训练,得到的网络可以学习输入数据的一些非线性特性:

其中,bm^(1) 表示第 m 个特征图的偏差,引入术语 zm 是对 AE 中保持相同的变量名称。
所产生的激活图是对输入数据 I 进行的一个重新编码,使其可以在低维空间表示。重构好之后的数据维度并不是原来 O 的维度,但是参数的数量是从Om 中学习来的,换句话说,这些参数就是 CAE 需要学习的参数。
由于我们的目标是从所产生的特征图中对输入数据 I 进行重构。因此我们需要一个解码操作。卷积自编码是一个完全的卷积网络,因此我们的解码操作可以进行再次卷积。
细心的读者可能认为卷积操作减少了输出的空间范围,因此不可能使用卷积来重建具有相同输入空间范围的信息。
这是完全正确的,但是我们可以使用输入填充来解决这个问题。如果我们用零向输入数据 I 进行填充,则经过第一个卷积之后的结果具有比输入数据 I 大的空间范围,经过第二个卷积之后就可以产生具有和原始空间 I 相同的空间范围了。
因此,我们想要输入填充的零是这样的:

从公式1可以看出,我们想要对 I 填充 2(2k+1)-2 个零(每一个边填充 (2k+1) -1 个),以这种方式,卷积编码将产生数据的宽度和高度等于:

解码器
所产生的 n 个特征图 zm = 1, ..., n 将被用作解码器的输入,以便从该压缩的信息中重建输入图像 I 。
事实上,解码卷积的超参数是由编码框架确定的:
由于卷积跨越每个特征图,并且产生具有 (2k+1, 2k+1, n) 的维度,因此经过滤波器 F(2) 之后产生相同的空间范围 I 。
需要学习的滤波器的数量:D个,因为我需要重构具有深度 D 的输入图像。
因此,重构的图像 I_ 是特征图的维度 Z = {zi = 1}^n 和该卷积滤波器 F(2) 之间的进行卷积的结果。

根据前面计算的零进行填充,那么导致解码卷积之后产生的维度是:

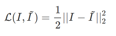
我们的目标是使得输入的维度等于输出的维度,然后可以用任何的损失函数来进行计算,例如 MSE:

下一篇,我们来讲怎么利用 TensorFlow 来实现CAE。
CoderPai 是一个专注于算法实战的平台,从基础的算法到人工智能算法都有设计。如果你对算法实战感兴趣,请快快关注我们吧。加入AI实战微信群,AI实战QQ群,ACM算法微信群,ACM算法QQ群。详情请关注 “CoderPai” 微信号(coderpai)。