背包问题(Knapsack problem)是一种组合优化的NP完全问题。问题可以描述为: 给定一组物品,每种物品都有自己的重量和价格,在限定的总重量内,我们如何选择,才能使得物品的总价格最高。
问题
假设山洞里共有a,b,c,d,e这5件宝物(不是5种宝物),它们的重量分别是2,2,6,5,4, 它们的价值分别是6,3,5,4,6,现在给你个承重为 10 的背包, 怎么装背包,可以才能带走最多的财富。
动态规划
转化方程
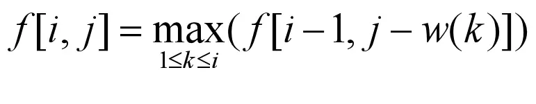
动态规划一个关键的步骤是得到状态转化方程,物体的价值用 v(k) 表示,
重量用 w(k) 表示,f[i, j] 表示将前 i 个物体放入到容量为 j 的背包中的最大价值,则有:
求解方法
动态规划有两种等价的实现方法:
-
带备忘的自顶向下法。此方法按照自然的递归形式编写过程,但过程中会保存每个子问题的解(通常保存在一个数组或散列表中)。 当需要一个子问题的解时,过程首先检查是否已经保存过此解。如果是,则直接返回保存的值,从而节省了时间;否则,按通常方式计算 这个子问题。
-
自底向上法。这种方法一般需要恰当定义子问题“规模”的概念,使得任何子问题的求解都只依赖于“更小的”子问题的求解。因而 我们可以将子问题按规模排序,按由小至大的顺序进行求解。当求解某个子问题时,它所依赖的那些更小的子问题都已求解完毕, 结果已经保存。
带备忘的自顶向下方法
下面给出一个带备忘的自顶向下实现:
var v = [6,3,5,4,6]
var w = [2,2,6,5,4]
var c = 10
function bag (v, w, c) {
function _bag (v, w, c, f, s) {
// 子问题的规模
var n = v.length
// 子问题已经被求解
if (f[n][c] > 0) {
return f[n][c]
}
// 从剩下的物品中选择一件
for (var i = 0; i < n; i++) {
var newW = w.slice()
newW.splice(i, 1)
var newV = v.slice()
newV.splice(i, 1)
// 选出来的物品重量大于背包剩余容量,则该子问题的解为0
if (w[i] > c) {
return 0
}
// 否则递归求解,得到子问题的最大的解及当前选择的物品
var maxValue = v[i] + _bag(newV, newW, c - w[i], f, s)
if (f[n][c] < maxValue) {
f[n][c] = maxValue
s[n][c] = {v: v[i], w: w[i]}
}
}
// 返回子问题的最大解
return f[n][c]
}
var n = v.length
// 记录最大的价值
var f = []
// 记录每一步所做的选择
var s = []
for (var i = 0; i <= n; i++) {
f[i] = []
s[i] = []
for (var j = 0; j <= c; j++) {
f[i][j] = 0
s[i][j] = null
}
}
_bag(v, w, c, f, s)
// 打印两个二维数组
console.log(f)
console.log(s)
// 从s中得到所选择的物品
var selected = []
var i = n
var j = c
var sum = 0
do {
var thing = s[i][j]
if (thing) {
selected.push(thing)
j -= thing.w
i--
}
} while (thing)
return {
maxV: f[n][c],
selected: selected
}
}
说明
程序中 f 最后如下所示,其中第一行可以忽略,这么做只是为了让数组索引从 1 开始,跟上面的公式保持一致:
| 0 | 1 | 2 | 3 | 4 | 5 | 6 | 7 | 8 | 9 | 10 |
|---|---|---|---|---|---|---|---|---|---|---|
| null | null | null | null | null | null | null | null | null | null | null |
| null | null | null | null | null | null | null | null | null | null | null |
| 0 | 0 | 0 | null | null | null | null | null | null | null | null |
| 0 | 0 | 0 | 0 | 0 | null | 6 | null | null | null | null |
| null | null | null | null | 6 | 6 | 6 | null | 9 | null | null |
| null | null | null | null | null | null | null | null | null | null | 15 |
其中,f[5][10] 就是最后所求的最大价值,即 15。
从上表还可以知道求解过程中递归求解了哪些问题,即上表中值不为 null 的那些。
而如果需要知道最后所选择的物品,还需要借助 s :
| 0 | 1 | 2 | 3 | 4 | 5 | 6 | 7 | 8 | 9 | 10 |
|---|---|---|---|---|---|---|---|---|---|---|
| null | null | null | null | null | null | null | null | null | null | null |
| null | null | null | null | null | null | null | null | null | null | null |
| null | null | null | null | null | null | null | null | null | null | null |
| null | null | { v: 3, w: 2 } | { v: 3, w: 2 } | { v: 3, w: 2 } | null | { v: 6, w: 4 } | null | null | null | null |
| null | null | null | null | { v: 6, w: 4 } | { v: 6, w: 4 } | { v: 6, w: 2 } | null | { v: 3, w: 2 } | null | null |
| null | null | null | null | null | null | null | null | null | null | { v: 6, w: 2 } |
其中,s[i][j] 表示将前 i 个物体放入到容量为 j 的背包中时所选择的第一个物品
现在,让我们来理一下这个过程:
s[5][10]表示将前 5 个物品放到容量为 10 的背包中,选择了物品{ v: 6, w: 2 }- 接下来处理子问题
s[4][8],选择了物品{ v: 6, w: 4 } - 接下来处理子问题
s[3][4],选择了物品{ v: 3, w: 2 } - 接下来处理子问题
s[2][2],没有选择任何物品。 - 得到最后所选择的物品为
{ v: 6, w: 2 },{ v: 6, w: 4 },{ v: 3, w: 2 }
自底向上法
下面是自底向上法的实现:
function bag2 (v, w, c) {
var f = []
var s = []
var n = v.length
for (var i = 0; i <= n; i++) {
f[i] = []
s[i] = []
for (var j = 0; j <= c; j++) {
f[i][j] = 0
s[i][j] = 0
}
}
// 遍历物品
for (var i = 1; i <= n; i++) {
var index = i - 1
// 遍历容量
for (var j = 0; j <= c; j++) {
// 当前物品放入的情况
if (w[index] <= j && v[index] + f[i - 1][j - w[index]] > f[i - 1][j]) {
f[i][j] = v[index] + f[i - 1][j - w[index]]
s[i][j] = 1
}
// 当前物品不放入的情况
else {
f[i][j] = f[i - 1][j]
}
}
}
return{
f: f,
s: s
}
}
说明
首先,注意到这个事实:物品放入的顺序不会影响我们最后的结果。这里按照题目中的顺序依次考察 每个物品在每个容量的情况下是否放入。
仍然用 f 来记录最大值,用 s 来记录选择。
不过这里的 s[i][j] 只需标记当前物品是否放入即可, 所以 s[i][j] 取值为 0 或 1。
f 如下所示:
| v | w | 0 | 1 | 2 | 3 | 4 | 5 | 6 | 7 | 8 | 9 | 10 |
|---|---|---|---|---|---|---|---|---|---|---|---|---|
| - | - | 0 | 0 | 0 | 0 | 0 | 0 | 0 | 0 | 0 | 0 | 0 |
| 6 | 2 | 0 | 0 | 6 | 6 | 6 | 6 | 6 | 6 | 6 | 6 | 6 |
| 3 | 2 | 0 | 0 | 6 | 6 | 9 | 9 | 9 | 9 | 9 | 9 | 9 |
| 5 | 6 | 0 | 0 | 6 | 6 | 9 | 9 | 9 | 9 | 11 | 11 | 14 |
| 4 | 5 | 0 | 0 | 6 | 6 | 9 | 9 | 9 | 10 | 11 | 13 | 14 |
| 6 | 4 | 0 | 0 | 6 | 6 | 9 | 9 | 12 | 12 | 15 | 15 | 15 |
s 如下所示:
| v | w | 0 | 1 | 2 | 3 | 4 | 5 | 6 | 7 | 8 | 9 | 10 |
|---|---|---|---|---|---|---|---|---|---|---|---|---|
| - | - | 0 | 0 | 0 | 0 | 0 | 0 | 0 | 0 | 0 | 0 | 0 |
| 6 | 2 | 0 | 0 | 1 | 1 | 1 | 1 | 1 | 1 | 1 | 1 | 1 |
| 3 | 2 | 0 | 0 | 0 | 0 | 1 | 1 | 1 | 1 | 1 | 1 | 1 |
| 5 | 6 | 0 | 0 | 0 | 0 | 0 | 0 | 0 | 0 | 1 | 1 | 1 |
| 4 | 5 | 0 | 0 | 0 | 0 | 0 | 0 | 0 | 1 | 0 | 1 | 0 |
| 6 | 4 | 0 | 0 | 0 | 0 | 0 | 0 | 1 | 1 | 1 | 1 | 1 |
同样,我们可以反向推导出最后的选择:
s[5][10]为 1,该物体放入袋中- 考察
s[4][6],为 0,说明这个物体不放入 - 考察
s[3][6],为 0, 不放入 - 考察
s[2][6],为 1, 放入 - 考察
s[1][4], 为 1, 放入 - 得到最后所选择的物品为
{ v: 6, w: 2 },{ v: 3, w: 2 },{ v: 6, w: 4 }
总结
以后碰到动态规划相关的问题都可以用这个思路来解决了,关键在于要构造转移函数这个模型。 个人感觉自顶向下法更加好理解,但是代码略显啰嗦了。