【论文笔记3】GAN之AAE、ALI、BiGAN

4,488 阅读13分钟

这是上周的笔记, 笔记本摔了, 送去修了整一个星期. 这周的笔记, 以后慢慢补吧. :)

TL;DR

Adversarial Autoencoders 结合 GAN 与 VAE, 提出了对抗自编码器 AAE, 执行变分推断 Variational Inference 来匹配自编码器的潜变量的后验分布与任意的潜变量先验分布. 该匹配过程保证了从先验空间的任意部分都能生成有意义的结果.

AAE 有两个训练目标: 一个是重构损失, 一个是对抗损失. 后者用于匹配自编码器潜变量的后验分布与任意的潜变量先验分布.

最简单的 AAE 如下图所示. 上面一行就是自编码器结构, 将 1 编码为 z, 再解码还原为 1; 红线圈出来的是自编码器的 encoder, 也是 GAN 的 G, 右下角那一块则是 D. 不同于普通 GAN 以真实或生成的自然图片作为 D 的输入, AAE 中 D 的输入是潜变量 z, 服从自编码器的后验分布 q(z) (生成的)或先验分布 p(z) (此处作为真实数据).

aae_architecture1.png

本文提出了以 GAN 框架作为概率自编码器的变分推断算法, 并调研了监督, 半监督, 无监督的许多应用方式 (下文有较为详细的介绍, 不甚明了的地方请看原文)

GAN 缺少有效的推断机制, ALI 与 BiGAN, 通过向 GAN 框架引入一个从 x (比如自然图片) 到 z 的推断网络来引入推断机制. D 的输入为 (x, z_hat) 或 (x_tilde, z), 以此来学习联合概率分布 q(x, z_hat) 和 p(x_tilde, z). 结构如下所示:

ali_architecture.png

因此, ALI 与 BiGAN 的博弈在 G(生成网络), I(推断网络) 与 D(判别网络)中展开. (G 与 I 联合”欺骗” D.)

Adversarial Autoencoders

论文地址: arxiv.org/pdf/1511.05…

近年来, 深度生成模型的训练主要都基于 MCMC 马尔可夫链蒙特卡罗(搜索) 算法. 使用 MCMC 方法的一个缺点是: 随着训练的进行, 其计算得到的对数似然的梯度变得越来越不精确, 因为从马尔可夫链采样的样本无法足够快地混合入模型.

后来的 变分自编码器 VAE 则是利用识别网络 recognition network来预测潜变量的后验分布.

AAE 有两个训练目标: 一个是重构损失, 一个是对抗损失. 后者用于匹配自编码器潜变量的后验分布与任意的潜变量先验分布. 其结构如下所示:

aae_architecture1.png

从”1”到”1”的网络是自编码器, 红框中的是自编码器的编码器部分, 也是 GAN 的生成器. 与之前所见 GAN 不同的是, 这个 GAN 的真实数据采样自预期的先验分布 p(z), 比如高斯分布, 而生成数据则采样自编码结果 q(z). AAE 中的 GAN 的目标就是指导 q(z) 匹配/拟合 p(z).

而自编码器本身的目标, 就是最小化重构误差.

一旦 AAE 训练完成, 其解码器就能够作为一个生成模型, 利用 p(z) 生成样本, 比如自然图片.

AAE 与 VAE 的不同在于: VAE 使用 KL 散度惩罚来利用 q(z); AAE 则使用对抗训练的方式来匹配 q(z) 与 p(z). 在 VAE 中, 通过蒙特卡罗采样的 KL 散度来反向传播, 需要先验分布的明确泛函形式; 而 AAE 只需要够从先验分布采样, 就能引导 q(z) 匹配 p(z).

VAE 最小化 x 的负对数似然的上界, 表达式如下:

vae_nll.png

可以看到变分边界由 3 部分组成, 第一部分可以看作自编码器的重构项, 第二三项则可以看作是正则项. 其中第二项鼓励后验分布 q(z) 具有大方差, 第三项则最小化 q(z) 与 p(z) 之间的交叉熵. 在 AAE 中, 保留第一项, 将后两项替换为对抗训练过程, 以驱使 q(z) 去完全匹配 p(z).

AAE 与 GAN 的不同在于: GAN 通常利用神经网络输出层的像素级的数据分布; 而 AAE 倚赖自编码训练来捕获数据分布. 在 AAE 的训练过程中, 可以令 q(z) 去拟合更低维度的更简单的分布. (这就起到了简化和降维的作用)

Generative Moment Matching Networks, GMMN 利用最大平均差异 Maximum Mean Discrepancy, MMD来对神经网络的输出分布进行变形. MMD 可以解释成最小模型分布与数据分布的所有Moment, 矩的距离.

AAE 与 GMMN+AE 的最大区别在于: 对抗训练过程作为regularizer 正则器从训练开始就对 q(z) 进行修改; 而 GMMN+AE 首先训练一个标准的 Dropout 自编码器, 然后去拟合预训练的自编码器的潜变量分布.

文中利用如下的结构, 将标签信息注入 AAE, 有点像将 GAN 替换为 cGAN. 不同的是, 以下的结构只将标签信息作为 D 的输入, 并以半监督的方式进行训练. 如图所示, 标签以 one-hot 的形式表示, 其功能类似一个开关, 根据文章描述, 它用于选择相应的 D 的决策边界.

aae_architecture_info.png

整个无监督学习的过程和上一篇所描述的有些相似, 读者不妨对比着看. 10 维的 one-hot 向量实际包含 11 个类信息 (都不激活, 可以表示一种情况). 文章此处使用 10 个二维高斯混合分布来表示潜变量 z 的分布. 前 10 个类中的每一个都对应一项二维高斯分布. 而额外的类对应无标签的训练数据, 当无标签数据输入模型, 对应额外的类, 将为整个混合高斯分布选择一个决策边界.

进行对抗训练时, 训练 D, 通过 one-hot 向量向 D 输入混合高斯组件对应标签, (这里有点凌乱, 我的理解就是输入 p(z) 和标签信息), 无标签数据的 p(z) 就采样自整个混合高斯; 训练 G 时, 就向 D 输入训练样本对应的标签.

近年来, 生成模型成为半监督学习的最流行的方法, 是因为它们能依据某种规则将类标签信息与其他变分的潜因子分开来.

文章以下图所示的结构来训练监督 AAE, 以分离类标签与图片风格信息. 可见, 解码器利用标签的 one-hot 向量表示和潜变量 z 来重构图片. 该架构迫使神经网络将独立于标签的所有信息都保存到 z 中.

aae_architecture_supervised.png

效果是这样的, 以下每一行表示 AAE 学习到的数字独立于标签的某种风格.

aae_supervised_mnist.png

文中又提出一种半监督学习的结构, 不过这次半监督学习的是类别信息, 如下所示. 相比于上面监督学习的结构, 多了一个对抗网络用于学习图片的类别, 它确保潜变量 y 不携带风格信息, 而 y 的后验分布 (即编码器得到的 y) 匹配分类分布.

aae_architecture_unsupervised.png

在半监督学习的架构之上, 文中又移除了半监督分类步骤, 进行无监督聚类实验.

非参数的降维技术缺陷是, 由于缺少参数, 新的数据无法在嵌入空间中找到位置. (除非对整个数据集重新降维); 自编码器也被用于数据降维, 然而非正则的自编码器将流形”打散”进不同的空间位置, 导致相似的图片的潜代码不同.

最后, 文中以如下的结构进行降维实验. 对抗正则 adversarial regularization的过程将相似图片的潜代码聚集在一起, 使得流形连续.

aae_architecture_rd.png

相比之前的架构, 该架构将 one-hot 表示的 m 维数据乘以一个 mxn 的矩阵 (n < m), 得到一个 n 维的表示, 实现降维. 此外引入了一个成本函数来惩罚两个簇头之间的欧式距离.

Adversarially Learned Inference

论文地址: arxiv.org/pdf/1606.00…
作者 Ishmael Belghazi 的博客: ishmaelbelghazi.github.io/ALI/

与上篇类似, 本文介绍的对抗学习推理 ALI, 使用对抗的方式联合训练了一个生成网络与一个推断网络. 生成网络就是 GAN 中的 G, 将随机潜变量映射到数据空间, 而推理网络 (以下简称 I) 将训练样本从数据空间反映射到潜变量空间. 因此, 对抗博弈在 G, I 与 D 之间展开.

基于 VAE 的技术, 通过最大化数据 x 的对数似然来引入随机潜变量 z, 并最大化他们的联合分布 p(x, z). 但由于潜变量的确切边缘分布通常难于追踪, VAE 引入了一个近似后验 q(x, z), 并最大化 p(x) 的对数似然的变分下界.

基于极大似然估计法的模型会显得保守, 概率质量将扩散到整个数据空间. (Theis et al.2015) 以生成图片为例, 基于 VAE 的模型会模糊化.

GAN 能得到一个生成高品质样本的生成模型. 但它没有一个有效的推理机制. 因此本文将推理机制深度有向生成模型注入 GAN-like 的对抗框架, 得到 ALI, 其结构简图如下所示.

ali_architecture.png

左框表示一个 I, 将真实训练样本 x 映射到潜变量空间, 得到 z_hat; 右框表示一个 G, 将潜变量 z 转化为生成样本 x_tilde. 而 D 被训练为识别 (x, z_hat) 与 (x_tilde, z).

ALI 的 G 和 I 可以分别看作编码器 encoder解码器 decoder, 它们的联合分布可以看作如下形式:

  • 编码器的联合(概率)分布 q(x, z)=q(x)q(z|x)
  • 解码器的联合分布 p(x, z)=p(z)p(x|z)

因此, 输入 D 的 (x, z_hat) 和 (x_tilde, z) 分别就代表了两个联合分布.

当 ALI 的训练完成, 两个联合分布匹配之后, 可以假定所有的边缘分布和条件分布都匹配了. 比如可以认为条件概率 q(z|x) 匹配了后验概率 q(z|x).

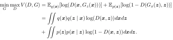
ALI 的值函数如下所示. 和 GAN 的值函数的区别仅在于 D(x)=> D(x, Gz(x)), D(G(z))=>D(Gx(z), z).

ali_value_function.png

为了使梯度能够从 D 传递到编码器和解码器, 梯度需要流过两个采样过程 ali_sample_process_z_hat.pngali_sample_process_x_hat.png. 对此, 本文使用了重参数化 reparametrization 技巧, 即不直接从期望的分布中采样, 而是对服从期望分布的噪声进行转换以计算随机变量. 比如 ali_reparametrization_example.png, 可通过下式计算. (我尝试用 PyTorch 复现本文的代码, 但总是遭遇 numeric problem, 问题就出在 reparameterization 上, 至今未训练成功)

ali_reparametrization_example2.png

本文还提到, 可以扩展 ALI 的框架至多个随机层. 什么叫多个随机层呢, 是这样的, 不要和多层神经网络搞混了:

ali_multiple_stochastic_layers.png

你会发现 ALI 和上文的 AAE 有些相似, 但和 AAE 不同的是, ALI 旨不在优化重构损失, 且 D 的输入是 (x, z) 对 而不是边缘样本 z.

重要的事情多提几遍: Batch Normalization 对于 GAN 的训练真的很关键! 但不用于 G 和 I 的输出层, 为了稳定训练过程, 也没有应用于 D 中受 z 影响的层.

本文的几个实验发现是:

  • 样本对之间的过渡很平滑, 中间生成的图片也很真实 (他们对于潜变量空间的研究是, 选取 z1, z2, 然后进行线性插值, 观察中间 z 生成的图片). 这表明 ALI 并没有将概率质量仅仅置于训练样本上, 也扩散到了其他有助于生成的潜在特征.
  • 尽管 ALI 没有针对重构品质 (quality) 进行优化, 但实际的重构效果很好. 这表明条件概率 q(z|x) 很好地近似了后验概率 p(z|x)
  • 实验结果表明, ALI 的重构没有专注于像素级的精准, 比如捕获物体的位置, 颜色, 风格等会犯错, 但它能表示更抽象的特征, 这表明, ALI 的潜变量表示对于一些不那么有趣的因素具有更高的不变性, 不会分配更多的能力去捕获它.

最后, 本文的附录贴上了超详细的模型超参数表, 可以很方便地复现实验, 点赞. 此外还有一个很有意思的小彩蛋, 有时间我会翻译出来贴出来.

实践经验, ALI 的架构中有部分层同时使用了 BN 和 Dropout. 我自己一开始没有注意它们的先后关系. 网上的指导建议是: Dropout 放在最后.

另一个问题是, BN 放在非线性激活函数之前还是之后. BN 的论文 (稍后会放出笔记) 中说放在激活函数之前, 但近来的使用趋势是放在激活函数之后.

Adversarial Feature Learning

论文地址: arxiv.org/pdf/1605.09…

本文提出了 Bidirectional GAN (以下简称BiGAN), 其网络结构与 ALI 极像. 如下所示 (这两篇论文同时被 ICLR2017 收录)

bigan_architecture.png

就连值函数, BiGAN 与 ALI 几乎也是一样的:

bigan_value_function.png

与 ALI 相同的概念, 以下不再赘述. 相比 ALI, 本文的证明性更强, 各种数学推理, 仅摘录结论. 欲了解更多的同学直接看原文吧. (我表示看不太懂这诸多推理)

本文指出, 当达到全局最优时, G 与 E (从 x 到 z 的编码器) 是双射函数, 且互为逆, 即 E=G^-1. BiGAN 近似于一个带 L0 损失函数的自编码器.

本文还指出, 最优的 D 必须是随机的, 但由于次优的 G 与 E, D 不可能达到随机的状态

不同于正则的自编码器, L0 损失函数不对数据分布或结构做任何假设; BiGAN 的所有的结构化属性都由 D 习得.

在原始 GAN 中, 交替真实与生成样本以向 G 提供更强的梯度. 但 BiGAN 提供的”可逆”观测值能为 G 和 E 提供足够强的梯度. 因此, 本文使用在一次迭代中, 同时更新 D, G, E 的方法.

如本文标题显示的, BiGAN 旨在学习有意义的特征表示. 文中是这样描述的: 原始 GAN 中, D 接收样本作为输入, 并将其习得的中间表示作为相关任务的特征表示, 再没有额外的机制. 它对于生成数据与真实数据的语义上有意义的特征并不十分清晰. 事实上, 当 G 生成了真实数据时, D 可逆会完全忽略生成数据而无条件地预测 p=1/2, 学不到任何有意义的中间表示. BiGAN 就是希望让 GAN 习得有意义的表示.