算法:冒泡排序

239 阅读5分钟

本文内容:
1、什么是冒泡排序?
2、冒泡排序的 C/OC 实现与算法分析。

算法总目录:算法?


1、什么是冒泡排序?

冒泡排序:每次比较两个相邻的元素,如果它们的顺序错误就把它们交换过来。

核心点 :相邻元素、比较、交换

冒泡排序的过程【请放大图片,从下往上,从左往右,看】:

冒泡排序_ALL.png

伪代码:

/*
  功能:用冒泡排序对数组 A[0 .. n - 1] 进行排序
  输入:一个可排序的数组 A[0 .. n - 1],即能够对数据进行比较操作
  输出:升序排列的数组,即左小右大
  注:也可以用链表来代替数组;
*/
BoubbleSort( A[0 .. n - 1] )
for i <-- 0 to n - 2 do
  for j <-- 0 to n - 2 - i do
    if A[j + 1] < A[j] swap A[j] and A[j + 1] 

2、冒泡排序的 C/OC 实现与算法分析。

  • C 实现:
typedef enum _CompareResult {
	LESS = -1,
	SAME = 0,
	GRATER = 1,
} CompareResult;

typedef enum {
	FALSE = 0,
	TRUE = 1,
}BOOL;

typedef unsigned int uint;

typedef BOOL(*Compare)(void * array, uint idx1, uint idx2);
typedef void(*Swap)(void * array, uint idx1, uint idx2);

typedef size_t ArrayCount;

/*
	功能:利用冒泡排序原理,对数据进行重新排序
	参数 array : 要排序的数组
	参数 count : 数组的长度
	参数 compare : 数据的具体比较函数
	参数 swap : 数据的具体交换函数
*/
void BubbleSort(void * array, ArrayCount count, Compare compare, Swap swap) {
	if (array == NULL || compare == NULL || swap == NULL) { return; }
	for (unsigned int i = 0; i < (count - 1); i++) {
		for (unsigned int j = 0; j < (count - 1 - i); j++) {
			if (compare(array, j + 1, j)) {
				swap(array, j, j + 1);
			}
		}
	}
}
// MARK: 低配版 [ 升序 ]
void BubbleSort(int *array, unsigned int count) {

	if (array == NULL || count <= 0) { return; }

    int temp = 0;
	for (unsigned int i = 0; i < (count - 1); i++) {
		for (unsigned int j = 0; j < (count - 1 - i); j++) {
			if (array[j + 1] < array[j]) {
                temp         = array[j];
                array[j]     = array[j + 1];
                array[j + 1] = temp;
			}
		}
	}

}

Main 中的测试代码:

// 声明
void BubbleSort(void * array, ArrayCount count, Compare compare, Swap swap);

BOOL CompareData(void * array, uint idx1, uint idx2);
void SwapData(void * array, uint idx1, uint idx2);

typedef float ElementType;
#define ARRAY_COUNT 5

int main() {
	
	ElementType array[ARRAY_COUNT] = {2, 3, 33, -2, 7};

	uint idx = 0;
	do {
		printf("Before: Array[%d] = %f\n", idx, array[idx]);
		idx++;
	} while (idx < ARRAY_COUNT);

	BubbleSort(array, ARRAY_COUNT, CompareData, SwapData);

	printf("\n");

	idx = 0;
	do {
		printf("After: Array[%d] = %f\n", idx, array[idx]);
		idx++;
	} while (idx < ARRAY_COUNT);

	// Pause
	getchar(); getchar();

	return 0;
}

// MARK: Compare & Swap

#if 0
	#define Reverse
#endif

BOOL CompareData(void * array, uint idx1, uint idx2) {

	ElementType *arr = (ElementType *)array;
	
#ifdef Reverse
	return ( (arr[idx1] > arr[idx2]) ? TRUE : FALSE );
#else
	return ((arr[idx1] < arr[idx2]) ? TRUE : FALSE);
#endif

}

void SwapData(void * array, uint idx1, uint idx2) {
	
	ElementType *arr = (ElementType *)array;

	ElementType temp = arr[idx1];
	arr[idx1] = arr[idx2];
	arr[idx2] = temp;

}

测试结果:

算法分析:

void BubbleSort(void * array, ArrayCount count, Compare compare, Swap swap) {
	if (array == NULL || compare == NULL || swap == NULL) { return; }
	for (unsigned int i = 0; i < (count - 1); i++) {
		for (unsigned int j = 0; j < (count - 1 - i); j++) {
			if (compare(array, j + 1, j)) {
				swap(array, j, j + 1);
			}
		}
	}
}

解析:从实现代码就可以直接看出来它不是递归的实现方式;

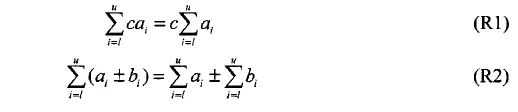
1、输入规模:count 【就是 n】 2、算法基本操作:if (compare(array, j + 1, j)) 【先有比较再有交换】 3、是否只依赖输入规模:compare(array, j + 1, j) 形参是 array 数组元素、j + 1j 都是属于 [0 ~ (count - i - 1)],而其中的 i 属于 [0 ~ (count - 1)],由此可知,compare 只依赖于输入规模这个条件;所以不用考虑最差、最优、平均效率; 【观察基本操作本身,以及基本操作的上层操作,如:那两个 for 循环】 4、建立表达式并求出增长次数: 从外向里看,第一个 for 循环,简化表示有,

    for (unsigned int i = 0; i < (count - 1); i++) {
        Opreatipons();
    }

那么 Opreatipons(); 被执行的次数就是:(n - 1),当且仅当,数组有序且第一个和第二个元素只要交换一次数组就完成排序时,冒泡排序的时间复杂度为:Θ (n) ;

展开 Operations 有:

    for (unsigned int i = 0; i < (count - 1); i++) {
        for (unsigned int j = 0; j < (count - 1 - i); j++) {
            Ops();
        }
    }

慢慢来: 当 i = 0 时,j 从 0 到 ( count - 1 - 0 ) --> ( count - 1 ) ;
当 i = 1 时,j 从 0 到 ( count - 1 - 1 ) --> ( count - 2 ) ;
... 当 i = count - 2 时,j 从 0 到 ( count - 1 - ( count - 2 ) ) --> 1;
当 i = count - 1 时,j 从 0 到 ( count - 1 - ( count - 1 ) ) --> 0;

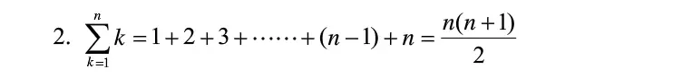
即两个循环结束后, j 的值就是从 0 一直加到 count - 1 ;就是一个等差数列:

百度搜索
代入公式有[ d = 1 ]: C(n) = (count - 1) * 0 + 0.5 * ((count - 1) * (count - 1 - 1)) * 1 ; C(n) = 0.5 * (count2 - 3 * count + 2); 则可有冒泡排序的时间复杂度为:Θ (n2)

还有第二种分析方式:

同理的: 从外向里看,第一个 for 循环,简化表示有,

    for (unsigned int i = 0; i < (count - 1); i++) {
        Opreatipons();
    }

这里就可以有【同样是累加】:

展开 Operations 有:

    for (unsigned int i = 0; i < (count - 1); i++) {
        for (unsigned int j = 0; j < (count - 1 - i); j++) {
            Ops();
        }
    }

累加 Operations :

又因为 Ops() 里面我们只关心核心基本操作 if (compare(array, j + 1, j)),而这个比较的次数是一次;

即可有:

则综上有:

现在就简化它: 1、由【c 是指常量】

有:

2、再由

有:

3、再由

有:

4、最终简化为:

则有冒泡排序的时间复杂度为:Θ (n2)

  • Objective-C (OC) 实现: 【OC 这里因为看不到源代码,所以是不是冒泡算法,就很难说,但它符合错误就交换这种思想】
// OC 中的 NSComparisonResult 定义:
/* typedef NS_ENUM(NSInteger, NSComparisonResult) {
  NSOrderedAscending = -1L, 
  NSOrderedSame, 
  NSOrderedDescending
};*/

typedef NSComparisonResult (*CompareObject)(id obj1, id obj2);

/*
    功能:利用冒泡排序对数组进行重新排序
    参数 array:需要重新排序的数组
    参数 compare:数组元素的比较方法
    返回值:已经排好序的数组
 */
NSArray * BubbleSort(NSArray *array, CompareObject compare) {

    if (compare == NULL) { return array; }
    
    NSArray *sorted = [array sortedArrayUsingComparator:^NSComparisonResult(id  _Nonnull obj1, id  _Nonnull obj2) {
        
        return compare(obj1, obj2);
        
    }];
    
    return sorted;
    
}

// MARK: 低配版(升序)
NSArray * BubbleSort(NSArray *array, CompareObject compare) {

    if (compare == NULL) { return array; }
    
    NSMutableArray *sorted = [array mutableCopy];
    NSUInteger count = sorted.count;

    for (NSUInteger i = 0; i < ( count - 1); i++) {

        for (NSUInteger j = 0; j < ( count - 1 - i ); j++) {

            id obj1 = [sorted objectAtIndex:j];
            id obj2 = [sorted objectAtIndex:(j + 1)];

            if (compare(obj1, obj2) == NSOrderedAscending ) {
                [sorted exchangeObjectAtIndex:j withObjectAtIndex:(j + 1)];
            }

        }

    }

    return sorted.copy;
    
}

Main 中的测试代码:

NSArray * BubbleSort(NSArray *array, CompareObject compare);

NSComparisonResult CompareData(id obj1, id obj2);

// MARK: Main

int main(int argc, const char * argv[]) {
    @autoreleasepool {
        
        
        NSArray *willSortedArr = @[@(23), @(3), @(55), @(-3), @(88)];
        
        NSArray *sortedArr = BubbleSort(willSortedArr, CompareData);
        
        NSLog(@"\n\r WillSortedArr : %@; \n\r SortedArray : %@", willSortedArr, sortedArr);
        
    }
    return 0;
}

// MARK: Compare Function

// 默认是升序,开启 Reverse 就直接变成降序
#if 1
    #define Reverse
#endif

NSComparisonResult CompareData(id obj1, id obj2) {
    
    NSNumber *n1 = (NSNumber *)obj1;
    NSNumber *n2 = (NSNumber *)obj2;
    
#ifdef Reverse
    if ([n1 integerValue] < [n2 integerValue]) { return NSOrderedAscending; }
    
    return NSOrderedDescending;
#else
    if ([n1 integerValue] < [n2 integerValue]) { return NSOrderedDescending; }
    
    return NSOrderedAscending;
#endif
    
}

运行结果:


参考书籍/文章:
书籍:《算法设计与分析基础 美 莱维汀 第3版》
书籍:《啊哈!算法》

文章:常用的累加∑公式


如有错漏,还望指出,不胜感激!