机器学习之数据清洗与特征提取

2,215 阅读9分钟

欢迎大家前往腾讯云社区,获取更多腾讯海量技术实践干货哦~

作者:汪毅雄

导语:本文详细的解释了机器学习中,经常会用到数据清洗与特征提取的方法PCA,从理论、数据、代码三个层次予以分析。


机器学习,这个名词大家都耳熟能详。虽然这个概念很早就被人提出来了,但是鉴于科技水平的落后,一直发展的比较缓慢。但是,近些年随着计算机硬件能力的大幅度提升,这一概念慢慢地回到我们的视野,而且发展速度之快令很多人刮目相看。尤其这两年,阿法狗在围棋届的神勇表现,给人在此领域有了巨大的遐想空间。

所谓机器学习,一般专业一点的描述其是:机器学习(Machine Learning, ML)是一门多领域交叉学科,涉及概率论、统计学、逼近论、凸分析、算法复杂度理论等多门学科。专门研究计算机怎样模拟或实现人类的学习行为,以获取新的知识或技能,重新组织已有的知识结构使之不断改善自身的性能。

机器学习这门技术是多种技术的结合。而在这个结合体中,如何进行数据分析处理是个人认为最核心的内容。通常在机器学习中,我们指的数据分析是,从一大堆数据中,筛选出一些有意义的数据,推断出一个潜在的可能结论。得出这个不知道正确与否的结论,其经过的步骤通常是:

1、预处理:把数据处理成一些有意义的特征,这一步的目的主要是为了降维。

2、建模:这部分主要是建立模型(通常是曲线的拟合),为分类器搭建一个可能的边界。

3、分类器处理:根据模型把数据分类,并进行数据结论的预测。

本文讲的主要是数据的预处理(降维),而这里采用的方式是PCA。

PCA的个人理论分析:

假设有一个学生信息管理系统,里面需要存储人性别的字段,我们在数据库里可以有M、F两个字段,用1、0分别代表是、否。当是男学生的时候其中M列为1,F列为0,为女生时M列为0,F列为1。我们发现,对任意一条记录,当M为1,F必然为0,反之也是如此。因此实际过程,我们把M列或F列去掉也不会丢失任何信息,因为我们可以反推出结论。这种情况下的M、F列的关联比是最高的,是100%。

再举另外一个例子,小明开了家店铺,他每天在统计其店铺的访问量V和成交量D。可以发现,往往V多的时候,D通常也多。D少的时候,V通常也很少。可以猜到V和D是有种必然的联系,但又没有绝对的联系。此时小明如果想根据V、D来衡量这一天的价值,往往可以根据一些历史数据来计算出V、D的关联比。拍脑门说一个,如果关联比大于80%,那么可以取VD其中任意一个即可衡量当天价值。这样就达到了降维的效果。

当然降维并非只能在比如说2维数据[V,D]中选取其中的1维[V]作为特征值,它有可能是在V+D的情况下,使得对[V, D]的关联比最大。

但是PCA思想就是如此。简单点说:假设有x1、x2、x3…xn维数据,我们想把数据降到m维,我们可以根据这n维的历史数据,算出一个与x1…xn相关m维数据,使得这个m维数据对历史数据的关联比达到最大。

数学分析

假设我们有一组二维数据

如果我们必须使用一维来表示这些数据,又希望尽量保留原始的信息,你要如何选择?

这个问题实际上是要在二维平面中选择一个方向,将所有数据都投影到这个方向所在直线上,用投影值表示原始记录。这是一个实际的二维降到一维的问题。

那么如何选择这个方向才能尽量保留最多的原始信息呢?一种直观的看法是:希望投影后的投影值尽可能分散,这样投影的范围越大,在做分类的时候也就更容易做分类器。

以上图为例,可以看出如果向x轴投影,那么最左边的两个点会重叠在一起,中间的两个点也会重叠在一起,于是本身四个各不相同的二维点投影后只剩下两个不同的值了,这是一种严重的信息丢失。同理,如果向y轴投影中间的三个点都会重叠,效果更糟。所以看来x和y轴都不是最好的投影选择。直观来看,如果向通过第一象限和第三象限的斜线投影,则五个点在投影后还是可以区分的。

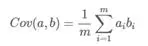
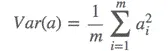
我们希望投影后投影值尽可能分散,那什么是衡量分散程度的统计量呢,显然可以用数学上的方差来表述。

通常,为了方便计算,我们会把每个点都减去均值,这样得到的点的均值就会为0.这个过程叫做均一化。均一化后:

于是上面的问题被形式化表述为:寻找一个基,使得所有数据变换为这个基上的坐标表示后,方差值最大。

我们跳出刚才的例子,因为很容易把刚才的结论推广到任意纬度。要求投影点的方差最大值所对应的基u,这时有两种方法来求解:

方法一:

假设有个投影A:

显然刚才说的方差V可以用来表示:

而投影A = 原始数据X . U;

这样方差可以表示为:

求这个方差的最大值,我们可以用拉格朗日插值法来做

L(u,λ)为:

求导L’:

令导数为0:

这样问题就转换成求X.XT的特征值和特征向量,问题就迎刃而解了。

同时我们可以知道,特征值和特征向量有很多个,当λ最大的时候所对应的特征向量,我们把它叫作主成份向量。如果需要将m降维为n,只需要去前n大的特征值所对应的特征向量即可。

方法二:

对于上面二维降成一维的问题来说,找到那个使得方差最大的方向就可以了。不过对于更高维,首先我们希望找到一个方向(基)使得投影后方差最大,当我们找第二个方向(基)的时候,为了最大可能还原多的信息,我们显然不希望第二个方向与第一个方向有重复的信息。这个从向量的角度看,意味这一个向量在另一个向量的投影必须为0.

这就有:

这时候我们思路就很明了:将一组N维向量降为K维(K大于0,小于N),其目标是选择K个单位(模为1)正交基,使得原始数据变换到这组基上后,各字段两两间协方差为0,而字段本身的方差则尽可能大。

还是假设我们原始数据为A

我们做一个处理A.AT得到:

我们发现要是能找到一个基使得这个矩阵变成一个,除了斜对角外,其余全是0的话,那这个基就是我们需要的基。那么问题就转换成矩阵的对角化了。

先说一个先验知识:

在线性代数上,我们可以知道实对称矩阵不同特征值对应的特征向量必然正交。对一个n行n列的实对称矩阵一定可以找到n个单位正交特征向量,设这n个特征向量为e1,e2,⋯,en。

组合成矩阵的形式如图:

由上结论又有一个新的结论就是,对于实对称矩阵A,它的特征向量矩阵为E,必然满足:

有了这个先验知识,我们假设原始数据A,基为U,投影后的数据为Y。则有Y=UA。根据上面所说的要是投影后的矩阵Y的Y.YT为一个对角阵,那么就有:

要是Y.YT为对角阵,那么只需要U是A.AT的特征向量即可,那么问题最终还是转换为求AAT的特征向量。

代码实现:

刚才说了两种PCA的计算思路,我们简单看下代码的实现吧,由于matlab自带了求特征向量的函数,这边使用matlab进行模拟。

我们用测试数据试试:

当我们只保留0.5的成分时,newA从3维降到1维,当进行还原时,准确性也会稍微差些

当我们保留0.9的成分时,newA从3维降到2维,当进行还原时,还原度会稍微好些。

当我们保留0.97的成分时,就无法降维了。这时候就可以100%还原了。

总结一下:

我们在做机器学习的数据分析的时候,由于数据集的维度可能很高,这时候我们需要对数据进行降维。本文从各个方向介绍了一下降维的经典方法PCA,也从代码的角度告诉了怎么降维的过程。实际操作可能会比较简单,但是原理个人觉得还是有学习的地方的。

相关阅读

此文已由作者授权腾讯云技术社区发布,转载请注明原文出处