【机器学习】神经网络-激活函数-面面观(Activation Function)

765 阅读8分钟
原文链接: blog.csdn.net

神经网络之激活函数(Activation Function)


本博客仅为作者记录笔记之用,不免有很多细节不对之处。

还望各位看官能够见谅,欢迎批评指正。

更多相关博客请猛戳:blog.csdn.net/cyh_24

如需转载,请附上本文链接:blog.csdn.net/cyh_24/arti…

日常 coding 中,我们会很自然的使用一些激活函数,比如:sigmoid、ReLU等等。不过好像忘了问自己一( n )件事:

  1. 为什么需要激活函数?
  2. 激活函数都有哪些?都长什么样?有哪些优缺点?
  3. 怎么选用激活函数?

本文正是基于这些问题展开的,欢迎批评指正!

此处输入图片的描述
(此图并没有什么卵用,纯属为了装x …)

Why use activation functions?

激活函数通常有如下一些性质:

  • 非线性: 当激活函数是线性的时候,一个两层的神经网络就可以逼近基本上所有的函数了。但是,如果激活函数是恒等激活函数的时候(即 f (x)=x ),就不满足这个性质了,而且如果MLP使用的是恒等激活函数,那么其实整个网络跟单层神经网络是等价的。
  • 可微性: 当优化方法是基于梯度的时候,这个性质是必须的。
  • 单调性: 当激活函数是单调的时候,单层网络能够保证是凸函数。
  • f(x)≈x: 当激活函数满足这个性质的时候,如果参数的初始化是random的很小的值,那么神经网络的训练将会很高效;如果不满足这个性质,那么就需要很用心的去设置初始值。
  • 输出值的范围: 当激活函数输出值是 有限 的时候,基于梯度的优化方法会更加 稳定,因为特征的表示受有限权值的影响更显著;当激活函数的输出是 无限 的时候,模型的训练会更加高效,不过在这种情况小,一般需要更小的learning rate.

这些性质,也正是我们使用激活函数的原因!

Activation Functions.

Sigmoid

此处输入图片的描述

Sigmoid 是常用的非线性的激活函数,它的数学形式如下:

f (x)=1 1 +e − x

正如前一节提到的,它能够把输入的连续实值“压缩”到0和1之间。
特别的,如果是非常大的负数,那么输出就是0;如果是非常大的正数,输出就是1.
sigmoid 函数曾经被使用的很多,不过近年来,用它的人越来越少了。主要是因为它的一些 缺点

  • Sigmoids saturate and kill gradients. (saturate 这个词怎么翻译?饱和?)sigmoid 有一个非常致命的缺点,当输入非常大或者非常小的时候(saturation),这些神经元的梯度是接近于0的,从图中可以看出梯度的趋势。所以,你需要尤其注意参数的初始值来尽量避免saturation的情况。如果你的初始值很大的话,大部分神经元可能都会处在saturation的状态而把gradient kill掉,这会导致网络变的很难学习。
  • Sigmoid 的 output 不是0均值. 这是不可取的,因为这会导致后一层的神经元将得到上一层输出的非0均值的信号作为输入。
    产生的一个结果就是:如果数据进入神经元的时候是正的(e.g. x >0 elementwise in f =w T x+ b ),那么 w 计算出的梯度也会始终都是正的。
    当然了,如果你是按batch去训练,那么那个batch可能得到不同的信号,所以这个问题还是可以缓解一下的。因此,非0均值这个问题虽然会产生一些不好的影响,不过跟上面提到的 kill gradients 问题相比还是要好很多的。

tanh

tanh 是上图中的右图,可以看出,tanh 跟sigmoid还是很像的,实际上,tanh 是sigmoid的变形:

t anh(x) =2s igmoid (2x)−1

与 sigmoid 不同的是,tanh 是0均值的。因此,实际应用中,tanh 会比 sigmoid 更好(毕竟去粗取精了嘛)。

此处输入图片的描述

ReLU

近年来,ReLU 变的越来越受欢迎。它的数学表达式如下:

f (x)=max( 0,x )

很显然,从图左可以看出,输入信号 < 0 时,输出都是0, > 0 的情况下,输出等于输入。 w 是二维的情况下,使用ReLU之后的效果如下:

此处输入图片的描述

ReLU 的优点:

  • Krizhevsky et al. 发现使用 ReLU 得到的SGD的收敛速度会比 sigmoid/tanh 快很多(看右图)。有人说这是因为它是linear,而且 non-saturating
  • 相比于 sigmoid/tanh,ReLU 只需要一个阈值就可以得到激活值,而不用去算一大堆复杂的运算。

ReLU 的缺点: 当然 ReLU 也有缺点,就是训练的时候很”脆弱”,很容易就”die”了. 什么意思呢?

举个例子:一个非常大的梯度流过一个 ReLU 神经元,更新过参数之后,这个神经元再也不会对任何数据有激活现象了。

如果这个情况发生了,那么这个神经元的梯度就永远都会是0.

实际操作中,如果你的learning rate 很大,那么很有可能你网络中的40%的神经元都”dead”了。 当然,如果你设置了一个合适的较小的learning rate,这个问题发生的情况其实也不会太频繁。

Leaky-ReLU、P-ReLU、R-ReLU

Leaky ReLUs: 就是用来解决这个 “dying ReLU” 的问题的。与 ReLU 不同的是:

f (x)=αx, (x<0)

f (x)=x, (x>=0 )

这里的 α 是一个很小的常数。这样,即修正了数据分布,又保留了一些负轴的值,使得负轴信息不会全部丢失。

此处输入图片的描述

关于Leaky ReLU 的效果,众说纷纭,没有清晰的定论。有些人做了实验发现 Leaky ReLU 表现的很好;有些实验则证明并不是这样。

此处输入图片的描述

Parametric ReLU: 对于 Leaky ReLU 中的 α ,通常都是通过先验知识人工赋值的。
然而可以观察到,损失函数对 α 的导数我们是可以求得的,可不可以将它作为一个参数进行训练呢?
Kaiming He的论文《Delving Deep into Rectifiers: Surpassing Human-Level Performance on ImageNet Classification》指出,不仅可以训练,而且效果更好。

公式非常简单,反向传播至未激活前的神经元的公式就不写了,很容易就能得到。对 α 的导数如下:

δ y i δ α =0 , (if y i >0 ), el se =y i

原文说使用了Parametric ReLU后,最终效果比不用提高了1.03%.

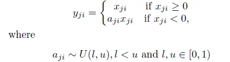
Randomized ReLU:
Randomized Leaky ReLU 是 leaky ReLU 的random 版本 ( α 是random的).
它首次试在 kaggle 的NDSB 比赛中被提出的。

核心思想就是,在训练过程中, α 是从一个高斯分布 U (l,u) 中 随机出来的,然后再测试过程中进行修正(有点像dropout的用法)。

数学表示如下:

此处输入图片的描述

在测试阶段,把训练过程中所有的 α i j 取个平均值。NDSB 冠军的 α 是从 U (3,8) 中随机出来的。那么,在测试阶段,激活函数就是就是:

y i j =x i j l +u 2

看看 cifar-100 中的实验结果:

此处输入图片的描述

Maxout

此处输入图片的描述

Maxout出现在ICML2013上,作者Goodfellow将maxout和dropout结合后,号称在MNIST, CIFAR-10, CIFAR-100, SVHN这4个数据上都取得了start-of-art的识别率。
Maxout 公式如下:

f i (x)=m ax j ∈[1 ,k] z i j

假设 w 是2维,那么有:

f (x)=max( w T 1 x+ b 1 ,w T 2 x+ b 2 )

可以注意到,ReLU 和 Leaky ReLU 都是它的一个变形(比如, w 1 ,b 1 =0 的时候,就是 ReLU).

Maxout的拟合能力是非常强的,它可以拟合任意的的凸函数。作者从数学的角度上也证明了这个结论,即只需2个maxout节点就可以拟合任意的凸函数了(相减),前提是”隐隐含层”节点的个数可以任意多.

此处输入图片的描述

所以,Maxout 具有 ReLU 的优点(如:计算简单,不会 saturation),同时又没有 ReLU 的一些缺点 (如:容易 go die)。不过呢,还是有一些缺点的嘛:就是把参数double了。

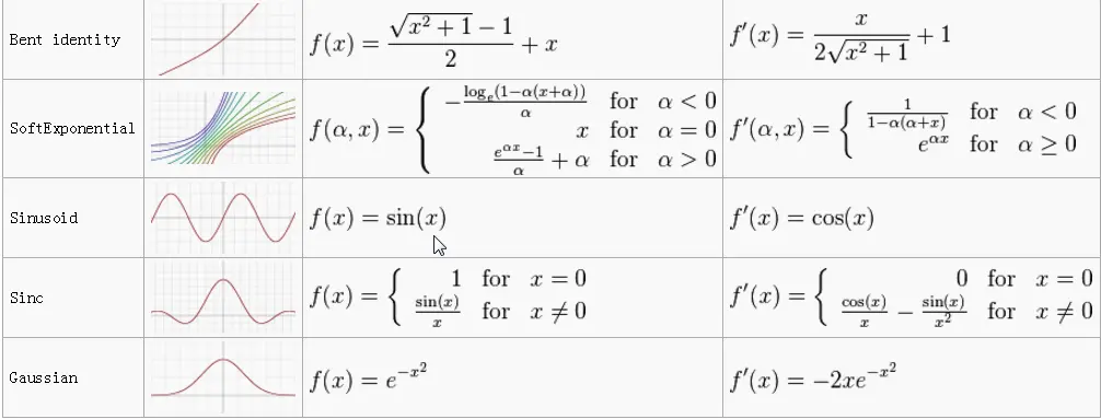
还有其他一些激活函数,请看下表:

此处输入图片的描述
此处输入图片的描述

How to choose a activation function?

怎么选择激活函数呢?

我觉得这种问题不可能有定论的吧,只能说是个人建议。

如果你使用 ReLU,那么一定要小心设置 learning rate,而且要注意不要让你的网络出现很多 “dead” 神经元,如果这个问题不好解决,那么可以试试 Leaky ReLU、PReLU 或者 Maxout.

友情提醒:最好不要用 sigmoid,你可以试试 tanh,不过可以预期它的效果会比不上 ReLU 和 Maxout.

还有,通常来说,很少会把各种激活函数串起来在一个网络中使用的。

Reference

[1]. www.faqs.org/faqs/ai-faq…
[2]. papers.nips.cc/paper/874-h…
[3]. en.wikipedia.org/wiki/Activa…
[4]. cs231n.github.io/neural-netw…

Please feel free to contract me if you have any questions.