朴素贝叶斯理论推导与三种常见模型

1,141 阅读11分钟
原文链接: blog.csdn.net

朴素贝叶斯(Naive Bayes)是一种简单的分类算法,它的经典应用案例为人所熟知:文本分类(如垃圾邮件过滤)。很多教材都从这些案例出发,本文就不重复这些内容了,而把重点放在理论推导(其实很浅显,别被“理论”吓到),三种常用模型及其编码实现(Python)。

如果你对理论推导过程不感兴趣,可以直接逃到三种常用模型及编码实现部分,但我建议你还是看看理论基础部分。

另外,本文的所有代码都可以从我的github获取


1. 朴素贝叶斯的理论基础

朴素贝叶斯算法是基于贝叶斯定理与特征条件独立假设的分类方法。

这里提到的贝叶斯定理特征条件独立假设就是朴素贝叶斯的两个重要的理论基础。

1.1 贝叶斯定理

先看什么是条件概率

P(A|B)表示事件B已经发生的前提下,事件A发生的概率,叫做事件B发生下事件A的条件概率。其基本求解公式为: P (A| B)=P (AB ) P (B)

贝叶斯定理便是基于条件概率,通过P(A|B)来求P(B|A):

P (B| A)=P (A| B) P(B) P (A)

顺便提一下,上式中的分母P(A),可以根据全概率公式分解为:

P (A)=∑ n i =1 P (B i )P (A| B i )


1.2 特征条件独立假设

这一部分开始朴素贝叶斯的理论推导,从中你会深刻地理解什么是特征条件独立假设。

给定训练数据集(X,Y),其中每个样本x都包括n维特征,即 x =(x 1 ,x 2 ,x 3 ,...,x n ) ,类标记集合含有k种类别,即 y =(y 1 ,y 2 ,. .., y k ) 。

如果现在来了一个新样本x,我们要怎么判断它的类别?从概率的角度来看,这个问题就是给定x,它属于哪个类别的概率最大。那么问题就转化为求解 P (y 1 | x),P (y 2 | x),.. .,P (y k | x) 中最大的那个,即求后验概率最大的输出: a rg max y k P (y k | x)

那 P (y k | x) 怎么求解?答案就是贝叶斯定理:

P (y k | x)=P (x| y k )P (y k )P (x)

根据全概率公式,可以进一步地分解上式中的分母:

P (y k | x)=P (x| y k )P (y k )∑ k P (x| y k )P (y k ) 【公式1】

这里休息两分钟

先不管分母,分子中的 P (y k ) 是先验概率,根据训练集就可以简单地计算出来。

而条件概率 P (x| y k )=P(x 1 ,x 2 ,...,x n | y k ) ,它的参数规模是指数数量级别的,假设第i维特征 x i 可取值的个数有 S i 个,类别取值个数为k个,那么参数个数为: k ∏ n i =1 S i

这显然不可行。针对这个问题,朴素贝叶斯算法对条件概率分布作出了独立性的假设,通俗地讲就是说假设各个维度的特征 x 1 ,x 2 ,..., x n 互相独立,在这个假设的前提上,条件概率可以转化为:

P (x| y k )=P(x 1 ,x 2 ,...,x n | y k )=∏ n i =1 P (x i | y k ) 【公式2】

这样,参数规模就降到 ∑ n i =1 S i k

以上就是针对条件概率所作出的特征条件独立性假设,至此,先验概率 P (y k ) 和条件概率 P (x| y k ) 的求解问题就都解决了,那么我们是不是可以求解我们所要的后验概率 P (y k | x) 了?

这里思考两分钟

答案是肯定的。我们继续上面关于 P (y k | x) 的推导,将【公式2】代入【公式1】得到:

P (y k | x)=P (y k )∏ n i =1 P (x i | y k ) ∑ k P (y k )∏ n i =1 P (x i | y k )

于是朴素贝叶斯分类器可表示为:

f (x)=arg max y k P(y k | x)=a rg max y k P (y k )∏ n i =1 P (x i | y k ) ∑ k P (y k )∏ n i =1 P (x i | y k )

因为对所有的 y k ,上式中的分母的值都是一样的(为什么?注意到全加符号就容易理解了),所以可以忽略分母部分,朴素贝叶斯分类器最终表示为:

f (x)=arg max P(y k )∏ n i =1 P (x i | y k )

关于 P (y k ) , P (x i | y k ) 的求解,有以下三种常见的模型.


2. 三种常见的模型及编程实现

2.1 多项式模型

当特征是离散的时候,使用多项式模型。多项式模型在计算先验概率 P (y k ) 和条件概率 P (x i | y k ) 时,会做一些平滑处理,具体公式为:

P (y k )=N y k +α N +kα

N是总的样本个数,k是总的类别个数, N y k 是类别为 y k 的样本个数, α 是平滑值。

P (x i | y k )=N y k ,x i +α N y k +n α

是类别为的样本个数,n是特征的维数,是类别为 的样本中,第i维特征的值是的样本个数,是平滑值。

当时,称作Laplace平滑,当时,称作Lidstone平滑,时不做平滑。

如果不做平滑,当某一维特征的值没在训练样本中出现过时,会导致 ,从而导致后验概率为0。加上平滑就可以克服这个问题。


2.1.1 举例

有如下训练数据,15个样本,2维特征,2种类别-1,1。给定测试样本 ,判断其类别。

这里写图片描述

解答如下:

运用多项式模型,令

  • 计算先验概率

这里写图片描述

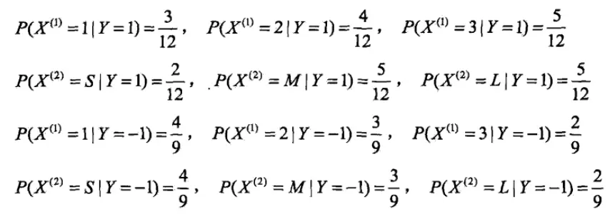
  • 计算各种条件概率

这里写图片描述

  • 对于给定的,计算:

这里写图片描述

由此可以判定y=-1。


2.1.2 编程实现(基于Python,Numpy)

从上面的实例可以看到,当给定训练集时,我们无非就是先计算出所有的先验概率和条件概率,然后把它们存起来(当成一个查找表)。当来一个测试样本时,我们就计算它所有可能的后验概率,最大的那个对应的就是测试样本的类别,而后验概率的计算无非就是在查找表里查找需要的值。

我的代码就是根据这个思想来写的。定义一个MultinomialNB类,它有两个主要的方法:fit(X,y)和predict(X)。fit方法其实就是训练,调用fit方法时,做的工作就是构建查找表。predict方法就是预测,调用predict方法时,做的工作就是求解所有后验概率并找出最大的那个。此外,类的构造函数__init__()中,允许设定的值,以及设定先验概率的值。具体代码及如下:

"""
Created on 2015/09/06

@author: wepon (http://2hwp.com)

API Reference: http://scikit-learn.org/stable/modules/naive_bayes.html#naive-bayes
"""
import numpy as np

class MultinomialNB(object):
        """
        Naive Bayes classifier for multinomial models
        The multinomial Naive Bayes classifier is suitable for classification with
        discrete features

        Parameters
        ----------
        alpha : float, optional (default=1.0)
                Setting alpha = 0 for no smoothing
        Setting 0 < alpha < 1 is called Lidstone smoothing
        Setting alpha = 1 is called Laplace smoothing 
        fit_prior : boolean
                Whether to learn class prior probabilities or not.
                If false, a uniform prior will be used.
        class_prior : array-like, size (n_classes,)
                Prior probabilities of the classes. If specified the priors are not
                adjusted according to the data.

        Attributes
        ----------
        fit(X,y):
                X and y are array-like, represent features and labels.
                call fit() method to train Naive Bayes classifier.

        predict(X):


    """

    def __init__(self,alpha=1.0,fit_prior=True,class_prior=None):
        self.alpha = alpha
        self.fit_prior = fit_prior
        self.class_prior = class_prior
        self.classes = None
        self.conditional_prob = None


    def _calculate_feature_prob(self,feature):
        values = np.unique(feature)
        total_num = float(len(feature))
        value_prob = {}
        for v in values:
            value_prob[v] = (( np.sum(np.equal(feature,v)) + self.alpha ) /( total_num + len(values)*self.alpha))
        return value_prob


    def fit(self,X,y):
        #TODO: check X,y

        self.classes = np.unique(y)
        #calculate class prior probabilities: P(y=ck)
        if self.class_prior == None:
            class_num = len(self.classes)
            if not self.fit_prior:
                self.class_prior = [1.0/class_num for _ in range(class_num)]  #uniform prior
            else:
                self.class_prior = []
                sample_num = float(len(y))
                for c in self.classes:
                    c_num = np.sum(np.equal(y,c))
                    self.class_prior.append((c_num+self.alpha)/(sample_num+class_num*self.alpha))

        #calculate Conditional Probability: P( xj | y=ck )
        self.conditional_prob = {}  # like { c0:{ x0:{ value0:0.2, value1:0.8 }, x1:{} }, c1:{...} }
        for c in self.classes:
            self.conditional_prob[c] = {}
            for i in range(len(X[0])):  #for each feature
                feature = X[np.equal(y,c)][:,i]
                self.conditional_prob[c][i] = self._calculate_feature_prob(feature)
        return self


    #given values_prob {value0:0.2,value1:0.1,value3:0.3,.. } and target_value
    #return the probability of target_value
    def _get_xj_prob(self,values_prob,target_value):
        return values_prob[target_value]

    #predict a single sample based on (class_prior,conditional_prob)
    def _predict_single_sample(self,x):
        label = -1
        max_posterior_prob = 0

        #for each category, calculate its posterior probability: class_prior * conditional_prob
        for c_index in range(len(self.classes)):
            current_class_prior = self.class_prior[c_index]
            current_conditional_prob = 1.0
            feature_prob = self.conditional_prob[self.classes[c_index]]
            j = 0
            for feature_i in feature_prob.keys():
                current_conditional_prob *= self._get_xj_prob(feature_prob[feature_i],x[j])
                j += 1

            #compare posterior probability and update max_posterior_prob, label
            if current_class_prior * current_conditional_prob > max_posterior_prob:
                max_posterior_prob = current_class_prior * current_conditional_prob
                label = self.classes[c_index]
        return label

    #predict samples (also single sample)           
    def predict(self,X):
        #TODO1:check and raise NoFitError 
        #ToDO2:check X
        if X.ndim == 1:
                return self._predict_single_sample(X)
        else:
                #classify each sample   
                labels = []
                for i in range(X.shape[0]):
                        label = self._predict_single_sample(X[i])
                        labels.append(label)
                return labels

我们用上面举的例子来检验一下,注意S,M,L我这里用4,5,6替换:

import numpy as np
X = np.array([
                      [1,1,1,1,1,2,2,2,2,2,3,3,3,3,3],
                      [4,5,5,4,4,4,5,5,6,6,6,5,5,6,6]
             ])
X = X.T
y = np.array([-1,-1,1,1,-1,-1,-1,1,1,1,1,1,1,1,-1])

nb = MultinomialNB(alpha=1.0,fit_prior=True)
nb.fit(X,y)
print nb.predict(np.array([2,4]))#输出-1

2.2 高斯模型

当特征是连续变量的时候,运用多项式模型就会导致很多(不做平滑的情况下),此时即使做平滑,所得到的条件概率也难以描述真实情况。所以处理连续的特征变量,应该采用高斯模型。


2.2.1 通过一个例子来说明:

性别分类的例子
来自维基

下面是一组人类身体特征的统计资料。

性别 身高(英尺) 体重(磅) 脚掌(英寸)
6 180 12
5.92 190 11
5.58 170 12
5.92 165 10
5 100 6
5.5 150 8
5.42 130 7
5.75 150 9

已知某人身高6英尺、体重130磅,脚掌8英寸,请问该人是男是女? 根据朴素贝叶斯分类器,计算下面这个式子的值。

P(身高|性别) x P(体重|性别) x P(脚掌|性别) x P(性别)

这里的困难在于,由于身高、体重、脚掌都是连续变量,不能采用离散变量的方法计算概率。而且由于样本太少,所以也无法分成区间计算。怎么办?
这时,可以假设男性和女性的身高、体重、脚掌都是正态分布,通过样本计算出均值和方差,也就是得到正态分布的密度函数。有了密度函数,就可以把值代入,算出某一点的密度函数的值。
比如,男性的身高是均值5.855、方差0.035的正态分布。所以,男性的身高为6英尺的概率的相对值等于1.5789(大于1并没有关系,因为这里是密度函数的值,只用来反映各个值的相对可能性)。

这里写图片描述

对于脚掌和体重同样可以计算其均值与方差。有了这些数据以后,就可以计算性别的分类了。

   P(身高=6|男) x P(体重=130|男) x P(脚掌=8|男) x P(男) 
    = 6.1984 x e-9
  P(身高=6|女) x P(体重=130|女) x P(脚掌=8|女) x P(女) 
    = 5.3778 x e-4

可以看到,女性的概率比男性要高出将近10000倍,所以判断该人为女性。

  • 总结

高斯模型假设每一维特征都服从高斯分布(正态分布):

表示类别为的样本中,第i维特征的均值。
表示类别为 的样本中,第i维特征的方差。


2.2.2 编程实现

高斯模型与多项式模型唯一不同的地方就在于计算 ,高斯模型假设各维特征服从正态分布,需要计算的是各维特征的均值与方差。所以我们定义GaussianNB类,继承自MultinomialNB并且重载相应的方法即可。代码如下:

#GaussianNB differ from MultinomialNB in these two method:
# _calculate_feature_prob, _get_xj_prob
class GaussianNB(MultinomialNB):
        """
        GaussianNB inherit from MultinomialNB,so it has self.alpha
        and self.fit() use alpha to calculate class_prior
        However,GaussianNB should calculate class_prior without alpha.
        Anyway,it make no big different

        """
        #calculate mean(mu) and standard deviation(sigma) of the given feature
        def _calculate_feature_prob(self,feature):
                mu = np.mean(feature)
                sigma = np.std(feature)
                return (mu,sigma)

        #the probability density for the Gaussian distribution 
        def _prob_gaussian(self,mu,sigma,x):
                return ( 1.0/(sigma * np.sqrt(2 * np.pi)) *
                        np.exp( - (x - mu)**2 / (2 * sigma**2)) )

        #given mu and sigma , return Gaussian distribution probability for target_value
        def _get_xj_prob(self,mu_sigma,target_value):
                return self._prob_gaussian(mu_sigma[0],mu_sigma[1],target_value)


2.3 伯努利模型

与多项式模型一样,伯努利模型适用于离散特征的情况,所不同的是,伯努利模型中每个特征的取值只能是1和0(以文本分类为例,某个单词在文档中出现过,则其特征值为1,否则为0).

伯努利模型中,条件概率的计算方式是:

当特征值为1时,;

当特征值为0时,;


2.3.1 编程实现

伯努利模型和多项式模型是一致的,BernoulliNB需要比MultinomialNB多定义一个二值化的方法,该方法会接受一个阈值并将输入的特征二值化(1,0)。当然也可以直接采用MultinomialNB,但需要预先将输入的特征二值化。写到这里不想写了,编程实现留给读者吧。


3 参考文献


转载请注明出处,多谢:blog.csdn.net/u012162613/…