泰勒公式
首先看泰勒公式,对于函数,如果函数平滑且某点存在各阶导数,则可以用一个多项式来描述该点邻域的近似值。公式如下:

牛顿法
牛顿法一般用来求解方程的根和求解极值。
数值优化算法除了梯度下降法外还有比较常用的一种方法是牛顿法。对于非线性方程,可以用牛顿迭代法进行求解,它收敛速度快。
基本思想是:对于非线性函数f(x),根据泰勒公式得到x附近某个点$x_{k}$展开的多项式可用来近似函数f(x)的值,该多项式对应的函数为F(x),求得F(x)的极小值作为新的迭代点,然后继续在新的迭代点泰勒公式展开,直到求得的极小值满足一定的精度。
原理
假设函数f(x)二次可微,则二次泰勒展开,

g(x)多项式则为f(x)的近似,求函数f(x)极值则可以转化为求导函数为0,对g(x)求导并令其为0,

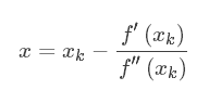
得到,

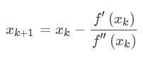
即得到迭代公式,

新的点$x_{k+1}$不断逼近极值,直到一次导数小于某误差。
迭代步骤

实现代码
def h(x):
return x*x*x + 2*x*x +3*x + 4
def h1(x):
return 3*x*x + 4*x + 3
def h2(x):
return 6*x + 4
xk = 0
k = 1
y = 0
e = 0.0001
times = 10000
while k < times:
y = h(xk)
a = h1(xk)
if abs(a) <= e:
break
b = h2(xk)
xk -= a/b
k += +1
print("k = ", k)
print("x = ", xk)
print("y = ", y)以下是广告
========广告时间========
鄙人的新书《Tomcat内核设计剖析》已经在京东销售了,有需要的朋友可以到 item.jd.com/12185360.ht… 进行预定。感谢各位朋友。
=========================
欢迎关注:

