No. 15【大数据算法】Bloom Filter 的原理和实现

402 阅读4分钟
原文链接: mp.weixin.qq.com

0x00 前言

Bloom Filter 是由 Burton H. Bloom 在 1970 年提出的二进制向量数据结构,它具有很好的空间和时间效率,被用来检测一个元素是不是集合中的一个成员。

Bloom Filter 最初的论文发表在ACM,名为《Space/Time Trade-offs in Hash Coding with Allowable Errors》,感兴趣可以下载阅读。本篇主要分享 Bloom Filter 的基本原理、代码实现以及误判率的计算,看过 BitMap 那篇文章的童鞋再看这一篇会十分简单。

Bloom Filter 也就是常说的布隆过滤器,后面就统一称为 BF

0x01 原理

BF 可以高效地表示集合数据,它使用长度为 m 的位数组来存储集合信息,同时使用 k 个相互独立的哈希函数将数据映射到位数组空间。

直接上图,根据图来大致梳理一下算法流程。

  1. 初始化一个长度为m的位数组,并将所有元素置为0;

  2. 对于集合 S={a1, a2,…,an} 中的任一元素a,分别使用k个哈希函数对其计算: ,并将位数组中的第  位置为1;

  3. 对S中所有的成员执行同样的操作。

基本的原理就是这么多,看一下图中的例子就能明白了。比如现在要 dantezhao 用 BF 表示,我们会用两个哈希函数分别对 dantezhao 计算,计算结果分别是5和19, 然后对位数组中的第5位和第19位分别置1即可。

当查询 dantezhao 是否在集合的时候,只需使用同样的哈希函数计算,如果对应位数组的位都为1,则说明存在。只要有任意一位为0, 则说明不存在。

0x02 实现

具体的实现可以直接看代码,用 Python 写的一个简单的版本,总共也就20行左右。代码和 BitMap 的代码实现很接近,不同的是,哈希函数变成了多个。

0x03 误判率

BF 的基本原理说起来也很简单的,但是还有一些知识点需要关注一下。比如在 BF 中,会出现误判,就是某个成员本来不在集合中,但是会被判断成在集合中。为了把误判率控制在一个可以接受的范围,我们就需要适当地调配能够影响误判率的几个因素:集合大小n、哈希函数个数k和位数组大小m。

这三个影响因素中,m和n对于误判率的影响比较直观。

集合大小n:当其它条件固定的时候,集合大小n越大,则位数组中就会更多比例的位置被置为1,因此误判率会更大。

位数组大小m:同理,当其它条件固定时,位数组大小m的值越大,那么数组中剩余为0的位就会更多,因此误判率就会更小。

哈希函数的个数k:比较难分析,比如将m和n固定,使用的哈希函数越多,则位数组中会有更多比例的位置会被置为1,即增大的误判率,但是在查询时,如果哈希函数个数越多,则被误判的可能就越小。

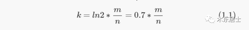
然后该怎么找到3个因素的最佳取值呢?这里省略推导过程,直接给出结论。

如果给定 m 和 n,当 k 取以下值时,误判率 p 的值最小:

此时误判率 p 等于:

在实际应用中,更常见的需求是,已知集合大小n,并设定好误判率p,需要计算出该给 BF 分配多大内存合适,也就是要确认m的大小,可使用如下公式解决问题:

有了这三个公式,可以在实际应用中灵活地设置各种参数来合理使用BF。

0xFF 总结

传统 BF 只能添加元素,不能对元素计数,也无法删除元素。如果把底层数组的 bit 换成 int,就可以支持计数和删除动作。每次插入元素时,将对应的 k 个 int 加一;查询时,返回 k 个 int 的最小值;删除时,将对应的 k 个 int 减一。这就是BF的改进版:Couting Bloom Filter,后面再来专门分享。