用 Python 分析《红楼梦》

1,471 阅读39分钟
原文链接: zhuanlan.zhihu.com

1 前言

两个月以来,我通过互联网自学了一些文本处理的知识,用自然语言处理和机器学习算法对《红楼梦》进行了一些分析。这个过程中我找到了一些有趣的发现,所以我想写一篇文章,既㲌与大家分享和讨论实验结果,也顺便做一个整理和总结。(其实虽说是两个月,但是中间停顿了一段时间,真正在做的时间大概是两周左右)

我开始做这件事情是因为之前看到了一篇挺好玩的文章,大概内容是,作者用“结巴分词”这个开源软件统计了红楼梦中各词汇的出现次数(也就是词频),然后用词频作为每个章回的特征,最终用“主成份分析”算法把每个章回映射到三维空间中,从而比较各个章回的用词有多么相似。(文章地址:用机器学习判定红楼梦后40回是否曹雪芹所写)作者的结论是后四十回的用词和前八十回有明显的差距。

看完文章之后,我觉得有两个小问题:首先,作者用的结巴分词里的词典是根据现代文的语料获得的(参见“结巴分词”开发者之前对网友的回复:模型的数据是如何生成的? · Issue #7 · fxsjy/jieba),而《红楼梦》的文字风格是半文半白的,这样的分词方法准确性存疑;其次,虽然作者用《三国演义》做了对比,但是依然没有有力地证明用词差异没有受到情节变化的影响。于是我决定自己做一遍实验,用无字典分词的方法来分词,并且尝试剔除情节对分析的影响,看看结果会不会有所不同。

本来开始写的时候觉得 5000 字就差不多了,结果最后成文的时候竟然达到了 1.3 万字。即使这样,我也只能解释一下算法的大致工作过程,至于详细的原理,如果感兴趣的话可以找其他资料去学习,我也会附上一些资料链接。不然如果我写的面面俱到的话感觉可以出书了……至于结果如何?先卖个关子。(诶,不要直接滑到底啊!)

程序已在 GitHub 上开源,使用方法参见 README 文件:LouYu2015/analysis_on_the_story_of_a_stone。考虑到版权问题,我决定不提供《红楼梦》原文。如果想复现实验结果的话,可以去找小说网站下载。(更新:根据网友提醒,《红楼梦》因为作者去世远远超过 100 年而进入公有领域,不受版权限制。因此我把原文也补充了上去,现在按照说明运行程序即可复现结果。也可在这里获取《红楼梦》全文:紅樓夢 - 维基文库,自由的图书馆。)

2 文本预处理

这一步很基础,就不赘述了。简单来说,就是要根据标点符号,把每一个分句都切开,然后用统一的符号(这里我用的是井号)来标记切分点。这样对于后面的程序来说就好处理一些了。

虽然目标很简单,然而,有些细节还是需要额外处理一下的。比如,我找到的文本里,所有“性”啊,“露”啊之类的字都被用 『』 框了起来(可能为了过滤少儿不宜的内容?我怎么觉得框起来以后更奇怪了……),所以这种标点需要被删掉,不能当作分割符号。另外,每章开头的回目编号也需要去掉,因为这不算小说的内容。最后,文本中出现了一些电脑中没有的罕见字,不过好在文本中这些罕见字都在括号内用拆分字型的方法标了出来(比如“(左王右扁)”),所以理论上我可以把这些内容替换成一些原文中没有的字符(比如特殊符号),最后再替换回去。不过我太懒了,所以没有做这样的替换。理论上罕见字对后面的分析也不会有很大,因为后面涉及到的都是出现频率比较高的单词。

处理后的效果是这个样子:

#甄士隐梦幻识通灵#贾雨村风尘怀闺秀#此开卷第一回也#作者自云#因曾历过一番梦幻之后#故将真事隐去#而借#通灵#之说#撰此石头记一书也#故曰#甄士隐#云云#但书中所记何事何人#自又云#今风尘碌碌一事无成#忽念及当日所有之女子#一一细考较去#觉其行止见识皆出于我之上#何我堂堂须眉诚不若彼裙钗哉#实愧则有馀#悔又无益之大无可如何之日也……

3 构建全文索引

得到处理后的文本之后,我需要建立一个全文索引。这样是为了快速地查找原文内容,加速后面的计算。我使用了后缀树这个结构作为索引。这个数据结构比较复杂,所以我们可以先谈谈更简单的字典树

3.1 字典树

首先,我们看看字典树的样子:

Free Image on Pixabay - Landscape, Tree, Flowers, Book

啊错了,这个才是字典树……

Trie - Wikipedia

上图中,每个圆圈是一个结点,代表着一个字符串(就是圆圈内的内容);结点之间的连线是,代表着一个字母。最上面的结点,也就是空着的那个结点,是根结点。如果我们从根结点不断向下走到某个结点,那么把经过的每一条边上的字母拼起来,就是这个结点代表的字符串了。这就是字典树的特点。

那么字典树是干什么用的呢?举个例子来说,假如我们想在这棵字典树里查找 “to” 这个单词,就可以先从根结点下面的边里找到第一个字母,也就是 “t” 这条边,从而找到 “t” 这个结点。然后我们再从 “t” 结点下面的边里找到第二个字母,也就是 “o” 这条边,就找到 “to” 这个结点了。假如 “to” 这个结点里储存了 “to” 的中文解释,那么我们只通过两次操作就找到了 to 的中文意思。这样比一个词一个词地找的方法快多了。这很像我们查字典的时候,先看第一个字母在字典中的位置,然后再看第二个字母……最终找到单词,因此被称为字典树。

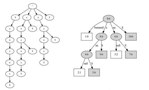
3.2 后缀树

说完字典树,我们再说说后缀树的前身:后缀字典树。后缀字典树其实就是字典树,只不过里面的内容不是单词,而是一个字符串的所有后缀:从第一个字母到最后一个字母的内容,从第二个字母到最后一个字母的内容……以此类推。比如说,"banana" 的所有后缀就是 banana, anana, nana, ana, na 和 a。把这些内容都加到字典树里,就构成了后缀字典树。下面左图就是 banana 的后缀字典树:

slideshare.net/farseerf

后缀树和后缀字典树的区别就是,在后缀树中,我们要把下面只有一条边的结点去掉,然后把这个结点连接的两条边压缩成一条。比如,左图后缀字典树中的 b-a-n-a-n-a,在右图的后缀树中被压缩成了 banana 这一条边。此外,后缀树还使用了一个技巧,就是不储存边的内容,而是储存这些内容在原文中的位置。因为后缀树中的很多内容都是重复的,所以这个小技巧可以大大减少索引的大小(用专业的语言描述,它的空间复杂度是 O(n))。

后缀树又有什么用呢?它最大的用途就是检索字符串中间的内容。比如,假如我想查找 an 在 banana 中哪里出现过,只需要查找代表 an 的结点,就找到了所有以 an 开头的结点: anana 和 ana。由于每次出现 an 的地方都一定会产生一个以 an 开头的后缀,而所有的后缀都在后缀树中,所以这样一定能够找到所有 an 出现的位置。后缀树的强大之处在于,即使我们把 banana 换成一篇很长很长的文章,我们也能很快地进行这样的检索。

最后,我使用了 Ukkonen 算法快速地创建了整篇《红楼梦》的后缀树(用专业的语言描述 Ukkonen 算法的速度:它的时间复杂度是 O(n))。Ukkonen 算法比较复杂,所以这里我不会讲解 Ukkonen 算法,感兴趣的同学可以看看这些资料:

Ukkonen's suffix tree algorithm in plain English

后缀树的构造方法-Ukkonen详解 - 懒人小何的日志 - 网易博客

Ukkonen's Suffix Tree Construction - Part 6 - GeeksforGeeks

有了全文索引以后,后面的程序就好做了。

4 制作字典

等等,我们不是要无字典分词吗,为什么还要制作字典?其实无字典分词并不是完全不用字典,只是说字典是根据原文生成的,而不是提前制作的。为了进行分词,我们还是需要先找出文章中哪些内容像是单词,才能确定如何进行切分。

那么怎么确定哪些内容像单词呢?最容易想到的方法就是:把所有出现次数高的片段都当成单词。听上去很有道理,所以我们可以试一试,用后缀树查询红楼梦中的所有重复的片段,然后按出现次数排个序:

宝玉(3983)、笑道(2458)、太太(1982)、什么(1836)、凤姐(1741)、了一(1697)、贾母(1675)、一个(1520)、也不(1448)、夫人(1437)、黛玉(1370)、我们(1233)、那里(1182)、袭人(1144)、姑娘(1142)、去了(1090)、宝钗(1079)、不知(1074)、王夫人(1061)、起来(1059)

上面是出现频率前 20 的片段,括号内是出现次数。可以看到效果还不错,很多片段都是单词。然而,排在第六名的“了一”明明不是个单词,出现次数却比贾母还要高。可见这样的筛选方法还是有一定问题的。而且,这样被误当成单词的片段还有很多,例如“了的”、“的一”之类的。究其原因,是因为出现次数 TOP 5 的单字由高到低分别是“了、的、不、一、来”,所以它们的组合也会经常出现。为了排除这样的组合,我们可以用“凝固度”来进行进一步地筛选。

4.1 凝固度

凝固度的定义是:一个片段出现的频率左右两部分分别出现的频率的乘积高出多少倍(注意,频率表示的是出现的比例,而频数表示的是出现的次数)。不过这句话太拗口了,还是用公式描述比较好。如果 P(AB) 是片段出现的频率,P(A) 是片段左边的字的出现的频率, P(B) 是右边的字出现的频率,那么凝固度 co 就是:

co = \frac{P(AB)}{P(A) \cdot P(B)}

公式中, P(A) \times P(B) 就是左右部分在完全随机组合的情况下被组合到一起的概率。凝固度的思想是:如果片段实际出现的概率比被随机组合出来的概率高出很多倍,就说明这样的组合应该不是意外产生的,而是有一些关联的。这个关联很可能就是因为这个片段是一个不可分割的整体,也就是单词。

对于超过两个字的片段,可以尝试每一种拆分方法(比如“贾宝玉”有“贾/宝玉”和“贾宝/玉”两种拆分方法),然后取各种方法的凝固度的最小值。

现在我选出《红楼梦》中出现次数大于 5 的片段,对它们的凝固度做个排序:

翡翠(171415.92)、茉莉(171415.92)、砒霜(171415.92)、逶迤(142846.60)、诽谤(142846.60)、徘徊(142846.60)、缱绻(142846.60)、乜斜(142846.60)、戥子(142846.60)、籰子(142846.60)、姽嫿(122439.94)、蝴蝶(122439.94)、囟门(122439.94)、槟榔(122439.94)、琵琶(122439.94)、娈童(119038.83)、筏子(119038.83)、牲口(119038.83)、踌躇(107134.95)、隄防(107134.95)

这是凝固度排名前 20 的组合,括号内是凝固度。可以看到效果还是不错的。

接着往下看,在 Top 20~100 里也基本没有不是单词的条目:

腼腆、隄防、甬路、趔趄、蚊子、狮子、璎珞、疗治、羔子、跛足、尧舜、嫦娥、陛见、簸箩、梆子、粳米、竭力、栗子、撺掇、葵官、芭蕉、玲珑、俞禄、妯娌、嘁嘁喳喳、玷辱、奚落、互相、譬如、腕上、祷告、攮的、钥匙、觑着、恣意、矶上、馒头、阎王、椒房、茯苓、琪官、牡丹、恒王、凹晶、翰林、畸角、淌眼、篮子、滋味、韶华、爆竹、涨了、芍药、估量、拷问、杌子、嗓子、搪塞、晦气、麒麟、玫瑰、葫芦、躬身、恳切、崽子、盹儿、皂白、谣言、凸碧、唯唯、赫赫、簌簌、荫堂、嗤的、唠叨、努嘴、吆喝、荳官、茯苓霜、艰难

然而凝固度也有一定的局限性。再往后看的话,会发现里面还有很多片段是半个词,而它们的凝固度也挺高的。例如:“香院”(完整的词应该是“梨香院”)、“太太太太”(完整的词应该是“老太太太太”)。想想也有道理,这些片段虽然是半个词,但是它们确实也跟完整的单词一样是“凝固”在一起的。所以,光看凝固度是不够的,还要通过上下文判断这个词是否完整。

4.2 自由度

为了排除掉不完整的单词,我们可以使用自由度这个概念来继续过滤。自由度的思想是这样的:如果一个组合是一个不完整的单词,那么它总是作为完整单词的一部分出现,所以相邻的字就会比较固定。比如说,“香院”在原文中出现了 23 次,而“梨香院”出现了 22 次,也就是说“梨”在“香院”的左边一起出现的频率高达 95.7%,所以我们有把握认为”香院”不是完整的单词。而自由度描述的就是一个片段的相邻字有多么的多样、不固定。如果片段的自由度比较高,就说明这个词应该是完整的。

因为相邻字分为左侧和右侧,所以自由度也分为左右两部分。以左侧的自由度为例,计算公式就是左侧相邻字的每一种字的频率的总信息熵。也就是说,如果 H_{left} 是左侧自由度, p_1p_i 是每种左侧相邻字出现的频率,那么:

H_{left} = -\sum_{i=1}^n{p_i \cdot \log_2{p_i}}

(对于没学过信息熵的同学来说这个公式可能很晦涩,反正记住左侧自由度体现了左侧相邻字的多样性就可以了。)

我们把左侧自由度最低的 20 个组合拿出来,可以看到确实过滤出来了很多不是单词的内容:

泪来(0.111)、在话(0.112)、慢的(0.116)、头们(0.117)、今我(0.121)、云笑(0.122)、以我(0.141)、王二(0.146)、里知道(0.146)、己也(0.151)、会子又(0.154)、太和(0.156)、用说(0.159)、嘻的(0.165)、今且(0.169)、么东西(0.187)、苦来(0.187)

(括号内为左侧自由度)

右侧也同理,有些片段明显是半个单词:

有什(0.034)、周瑞家(0.053)、老太(0.065)、薛姨(0.072)、也罢(0.085)、老祖(0.093)、哭起(0.100)、在话(0.112)、听下(0.113)、些东(0.118)、林之(0.121)、个婆(0.126)、我告(0.129)、老嬷(0.139)、二夫(0.144)、邢王二(0.149)、就罢(0.154)、到自(0.169)、这会(0.175)、大嫂(0.179)

(括号内为右侧自由度)

4.3 最终的单词表

有了这些明确的评判标准,我们就可以把单词筛选出来了。我最终选择的判断标准是:出现次数大于等于 5,且凝固度、左侧自由度、右侧自由度都大于 1。然而这个标准还是太宽松了。于是,我又设计了一个公式,把这些数据综合起来:

score = co \cdot (H_{left} + H_{right})

也就是说,我简单粗暴地把凝固度和自由度乘了起来,作为每个片段的分数。这样只要其中一个标准的值比较低,总分就会比较低。于是我的判断标准里又多了一条:总分还要大于等于 100。

经过层层遴选之后,单词表初步成型了。我从最终结果中随机抽取了 100 个条目,其中有 47 个是单词:

佩凤、寻常、歇下、王公、不提、仍往、亲热、之后、犯事、小戏子、现今、两三天、缝儿、弯着腰、魂飞、故典、海棠社、支使、发热、感激、压倒、一座、已到、洋漆、包勇、查抄、舅爷、石榴、报与、戥子、一匹、拐子、家里、林黛玉、法子、空门、值钱、抿嘴、未娶、秋爽斋、发誓、明日、相伴、舒服、小幺儿、李纨、仙长

这意味单词表的正确率只有一半左右。不过,在错误的条目里,很多条目的切分其实正确的,只是有好几个词粘到了一起:

赶不上、个字、料他、你快去、丫鬟婆子、无有不、抿着嘴笑、在外间睡、把我、一个小、叫我怎么、饭来、句好话、忙命人、恼的、答应了、提那、告辞了、庵里、和二奶奶、谢他、个女人、领着、急忙进、池子里、捶着、手里拿着一、五百两、之为人、和姑娘们、不知怎么样、骂一、是那里来的、家的小姐、十岁的、个眼睛、如今我、几个小、丫鬟名、省一、俗了、一一的、听了这话、撵出去、梳洗了、淡淡的、恨不能、可惜了、件大事、作诗的、与尤老、散与、究竟不

虽然正确率不高,但其实没有必要通过调高筛选标准的方法来进行更严格的过滤了。随后分词算法将会解决单词没有被切开的问题。如果继续调高标准,可能会导致很多确实是单词的条目被去除。

参考资料:

基于信息熵的无字典分词算法 - 成都笨笨 - 博客园

5 分词

之前在筛选单词的时候,思路就是用各种各样的数值标准进行判断。而对于“分词”这个看似更加困难的问题,思路也是类似的:制定一个评价切分方案的评分标准,然后找出评分最高的切分方案。评分标准是什么呢?最简单的标准就是,把切分之后每个片段是单词的概率都乘起来,作为这个切分方案正确的概率,也就是评分标准。我们假设,一个片段是单词的概率,就是这个片段在原文中的出现频率。

有了评分标准之后,还有一个问题:如何找出分数最高的切分方案呢?肯定不能一个一个地尝试每一种方案,不然速度实在是太慢了。我们可以用一个数学方法来简化计算:维特比算法

5.1 维特比算法

维特比算法本质上就是一个动态规划算法。它的想法是这样的:对于句子的某个局部来说,这一部分的最佳切分方案是固定的,不随上下文的变化而变化;如果把这个最佳切分方案保存起来,就能减少很多重复的计算。我们可以从第一个字开始,计算前两个字,前三个字,前四个字……的最佳切分方案,并且把这些方案保存起来。因为我们是依次计算的,所以每当增加一个字的时候,我们只要尝试切分最后一个单词的位置就可以了。这个位置前面的内容一定是已经计算过的,所以通过查询之前的切分方案即可计算出分数。这就是维特比算法的工作原理。

举个例子,这是计算“宝玉黛玉”每种切分方式的得分的过程:

宝: p = 0.0079487991(最佳切分)

宝玉: p = 0.0079427436(最佳切分)
宝/玉: p = 0.00795 * 0.00827 = 0.0000657630

宝玉黛: p = 0.0000077623
宝/玉黛: p = 0.00795 * 0.00001 = 0.0000000511
宝玉/黛: p = 0.00794 * 0.00189 = 0.0000149872(最佳切分)

宝玉黛玉: p = 0.0000096861
宝/玉黛玉: p = 0.00795 * 0.00001 = 0.0000000617
宝玉/黛玉: p = 0.00794 * 0.00273 = 0.0000216996(最佳切分)
宝玉黛/玉: p = 0.00001 * 0.00827 = 0.0000001240(注意,这里计算时使用的是“宝玉黛”的最佳切分的分数,而不是“宝玉黛”这个片段本身的分数)

这样得到每种切分方式的得分之后,程序先根据最后一步的结果,把“黛玉”切分出去,剩下“宝玉”。然后程序再看“宝玉”的各种切分结果,发现不切分的得分最高,于是把“宝玉”也切分了出去。最后,程序发现没有剩下的内容了,于是切分完成了。

5.2 一些的调整

在构造单词表的时候,我计算了每个片段有多么像单词,也就是分数。然而,后面的分词算法只考虑了片段出现的频率,而没有用到片段的分数。于是,我简单粗暴地把片段的分数加入到了算法中:把片段的频率乘上片段的分数,作为加权了的频率。这样那些更像单词的片段具有更高的权重,就更容易被切分出来了。

此外,还有一个问题:如果一个片段不在字典中,怎样计算它的频率?在需要外界提供字典的分词算法中,这是一个比较棘手的问题。不过在无字典(准确的说是自动构造字典)的算法中,这反而是一个比较容易解决的问题:任何要切分的片段一定会出现在后缀树中,因为这个片段是原文的一部分!所以,我们只需要通过后缀树查询这个片段的频数,就可以计算它在原文中的频率了。

最后还有一个小优化。我们知道,一般中文单词的长度不会超过四个字,因此在程序枚举切分方法的时候,只需要尝试最后四个切分位置就可以了。这样就把最长的切分片段限制在了四个字以内,而且对于长句子来说也减少了很多不必要的尝试。

5.3 分词算法的测试

我选择了两段原文内容来测试算法的准确性。

这是第二回开头的一段叙事性片段的机器分词结果:

只见/封肃/方/回来,欢天喜地,众人/忙问/端的,他/乃说道,原来/本府/新/升的/太爷,姓贾名化,本/湖州人氏,曾与/女婿/旧日/相交,方才/在/咱们/前/过去,因/看见/娇杏/那/丫头/买线,所以/他/只当/女婿/移/住/于此,我一/一/将原故/回明,那/太爷倒/伤感/叹息/了一回,又问/外孙女儿,我说/看灯/丢了,太/爷说,不妨,我自/使/番役/务必/探/访/回来,说/了一回/话,临走/倒/送了/我/二两银子,甄家/娘子/听了,不免/心中/伤感,一宿无话,至/次日/早有/雨村/遣人/送了/两封/银子,四匹/锦缎,答/谢甄家娘/子,又/寄/一封/密/书与/封肃,托他/向/甄家/娘子/要/那/娇杏/作二房,封肃/喜的/屁滚尿流,巴不得/去/奉承,便在/女儿/前一/力/撺掇/成了,乘/夜/只/用一/乘小轿,便把/娇杏/送/进去/了,雨村/欢喜/自不必说,乃/封/百金/赠/封肃,外/又谢/甄家/娘子/许多/物/事,令其/好生养/赡,以待/寻访/女儿/下落,封肃/回家/无话,却说/娇杏/这/丫鬟,便是/那年/回顾/雨村/者,因/偶然/一/顾,便/弄出/这段事来,亦是/自己/意/料不/到之/奇缘,谁想/他/命运/两/济,不/承望/自/到/雨村/身边,只/一年/便/生了一子,又/半载,雨村/嫡妻/忽染疾/下世,雨村/便将他/扶/侧/作/正室/夫人/了,正是,偶因/一/着/错,便/为人/上/人

这是人工分词的结果:

只见/封肃/方/回来,欢天喜地,众人/忙问/端的,他/乃/说道,原来/本府/新升/的/太爷,姓/贾/名/化,本/湖州/人氏,曾/与/女婿/旧日/相交,方才/在/咱们/前/过去,因/看见/娇杏/那/丫头/买线,所以/他/只当/女婿/移住/于/此,我/一一/将/原故/回明,那/太爷/倒/伤感/叹息/了/一回,又/问/外孙女儿,我/说/看灯/丢了,太爷/说,不妨,我/自/使/番役/务必/探访/回来,说/了/一回话,临走/倒/送了/我/二两/银子,甄家/娘子/听了,不免/心中/伤感,一宿/无话,至/次日/早有/雨村/遣人/送了/两封/银子,四匹/锦缎,答谢/甄家/娘子,又/寄/一封/密书/与/封肃,托/他/向/甄家/娘子/要/那/娇杏/作/二房,封肃/喜的/屁滚尿流,巴不得/去/奉承,便/在/女儿/前/一力/撺掇/成了,乘夜/只用/一乘/小轿,便/把/娇杏/送/进去/了,雨村/欢喜/自/不必/说,乃/封/百金/赠/封肃,外/又/谢/甄家/娘子/许多/物事,令/其/好生/养赡,以/待/寻访/女儿/下落,封肃/回家/无话,却说/娇杏/这/丫鬟,便是/那年/回顾/雨村/者,因/偶然/一顾,便/弄出/这段/事/来,亦是/自己/意料/不到/之/奇缘,谁想/他/命运/两济,不/承望/自/到/雨村/身边,只/一年/便/生了/一/子,又/半载,雨村/嫡妻/忽/染疾/下世,雨村/便/将/他/扶侧/作/正室/夫人/了,正是,偶/因/一着/错,便/为/人上人

经过统计,程序的准确率是 85.71%(意义是程序切开的位置有多少是应该切开的),召回率是 75.00%(意义是应该切开的位置有多少被程序切开了)。这个结果看上去不是很高,因为大部分开源的分词软件准确率都能达到 90% 以上,甚至能达到 97% 以上。不过,毕竟我用的是无字典的分词,而且算法也比较简单,所以我还是比较满意的。

下面再看看诗词类片段的分词效果。这是《葬花吟》的机器分词结果:

花谢/花飞/花满/天,红/消/香/断有/谁怜,游丝/软/系飘春榭,落/絮轻沾扑/绣帘,闺中/女儿/惜春/暮,愁绪/满怀/无/释/处,手/把花锄/出/绣帘,忍/踏/落花/来/复去,柳丝榆荚/自/芳菲,不管/桃/飘/与李/飞,桃李/明年/能再/发,明年/闺中/知/有谁,三月/香/巢已垒成,梁间/燕子/太/无情,明年/花/发/虽可/啄,却不/道/人去/梁空巢/也/倾,一年/三百六十/日,风/刀霜剑严/相/逼,明/媚/鲜妍/能/几时,一朝/飘泊/难/寻觅,花开/易见/落/难寻,阶前/闷/杀/葬花/人,独/把花锄/泪/暗洒,洒/上/空/枝/见/血/痕,杜/鹃/无语/正/黄昏,荷锄归/去掩/重门,青灯/照壁/人初/睡,冷/雨敲窗被/未/温,怪/奴/底/事/倍伤/神,半/为/怜春/半/恼/春,怜春/忽至/恼/忽/去,至/又/无言/去/不闻,昨宵/庭外悲歌/发,知是/花魂/与/鸟魂,花魂/鸟魂/总难/留,鸟/自/无言/花自/羞,愿/奴/胁下/生/双翼,随/花/飞到/天尽头,天尽头,何处/有/香/丘,未/若锦/囊收艳骨,一堆/净/土掩/风流,质本洁/来/还/洁/去,强/于/污/淖陷渠沟,尔今/死去/侬收葬,未卜/侬/身/何日/丧,侬今葬/花人笑痴,他年葬侬/知是谁,试看/春/残花/渐/落,便是/红颜老/死时,一朝春尽/红颜老,花落人亡/两/不知

这是人工分词结果:

花谢/花飞/花满天,红消/香断/有/谁/怜,游丝/软系/飘/春榭,落絮/轻沾/扑/绣帘,闺中/女儿/惜/春暮,愁绪/满怀/无/释处,手/把/花/锄/出/绣帘,忍/踏/落花/来/复/去,柳丝/榆荚/自/芳菲,不管/桃飘/与/李飞,桃李/明年/能/再发,明年/闺中/知/有/谁,三月/香巢/已/垒成,梁间/燕子/太/无情,明年/花发/虽/可啄,却/不道/人去/梁空/巢/也/倾,一年/三百/六十/日,风刀/霜剑/严/相逼,明媚/鲜妍/能/几时,一朝/飘泊/难/寻觅,花开/易见/落/难寻,阶前/闷杀/葬花人,独/把/花/锄/泪/暗洒,洒上/空枝/见/血痕,杜鹃/无语/正/黄昏,荷锄/归去/掩/重门,青灯/照壁/人/初睡,冷雨/敲窗/被/未温,怪/奴/底事/倍/伤神,半为/怜春/半/恼春,怜春/忽至/恼/忽去,至/又/无言/去/不闻,昨宵/庭外/悲歌/发,知是/花魂/与/鸟魂,花魂/鸟魂/总/难留,鸟/自/无言/花/自/羞,愿/奴/胁下/生/双翼,随花/飞到/天/尽头,天/尽头,何处/有/香丘,未/若/锦囊/收/艳骨,一堆/净土/掩/风流,质/本/洁/来/还/洁/去,强/于/污淖/陷/渠沟,尔/今/死去/侬/收葬,未卜/侬身/何日/丧,侬/今/葬花/人/笑痴,他年/葬/侬/知/是/谁,试看/春残/花/渐/落,便是/红颜/老/死/时,一朝/春尽/红颜/老,花落/人亡/两/不知

这下程序的准确率下降到了 74.07%,召回率也下降到了 67.04%,分别下降了将近 10%,可见诗歌的分词更难一些。这也在情理之中,因为诗词中有很多不常用词,有些词甚至只出现过一次,所以电脑很难从统计数据中发掘信息。

6 词频统计

完成分词以后,词频统计就非常简单了。我们只需要根据分词结果把片段切分开,去掉长度为一的片段(也就是单字),然后数一下每一种片段的个数就可以了。

这是出现次数排名前 20 的单词:

宝玉(3940)、笑道(2314)、凤姐(1521)、什么(1432)、贾母(1308)、袭人(1144)、一个(1111)、黛玉(1102)、我们(1068)、王夫人(1059)、如今(1016)、宝钗(1014)、听了(938)、出来(934)、老太太(908)、你们(890)、去了(879)、怎么(867)、太太(856)、姑娘(856)

(括号内为频数)

可以跟之前只统计出现次数,不考虑切分问题的排名做个对比:

宝玉(3983)、笑道(2458)、太太(1982)、什么(1836)、凤姐(1741)、了一(1697)、贾母(1675)、一个(1520)、也不(1448)、夫人(1437)、黛玉(1370)、我们(1233)、那里(1182)、袭人(1144)、姑娘(1142)、去了(1090)、宝钗(1079)、不知(1074)、王夫人(1061)、起来(1059)

(括号内为频数)

通过分词后的词频,我们发现《红楼梦》中的人物戏份由多到少依次是宝玉、凤姐、贾母、袭人、黛玉、王夫人和宝钗。然而,这个排名是有问题的,因为”林黛玉”这个词的出现次数还有 267 次,需要加到黛玉的戏份里,所以其实黛玉的戏份比袭人多。同理,“老太太”一般是指贾母,所以贾母的戏份加起来应该比凤姐多。正确的排名应该是宝玉、贾母、凤姐、黛玉、袭人、王夫人和宝钗。

此外,我们还发现《红楼梦》中的人物很爱笑,因为除了人名以外出现次数最多的单词就是“笑道” : )

我把完整的词频表做成了一个网页,感兴趣的话可以去看一下:红楼词表 第二版

最后,我随机选择了词频表中的 200 项条目,用来估计其中有多少是真正的单词。其中有 82 条是单词:

暗地、老君、男人、匈奴、病在垂危、闻名不如、追索、气怔、神昏、照照、守着、档子、送去、下山、玉皇、菲材获谴、托他、本身、这番、大海、十载、记的、遵谕、芸哥儿、现买、专司其职、天上人间、法官、推就、阶上、所知、别物、朝阳、惧罪、入塾、前代、当地、神瑛、名利、哗喇、句句、辫梢、端上、驸马、按理、开金、以下、清官、香甜、猿背、避人、开眼、殊不知、笞杖、祭吊、药方、色红、铁锁、看见、逗蜂轩、不胜、上楼、正官禄马、国中、入会、转步、魄化、等等儿、公侯、代善、排律、只见、昼夜、外国、日月、莼噎满喉、夸奖、礼仪、自称、王妃、千秋、买棺盛殓

而 118 条不是单词:

上值日的、听我说、带的、到馆来、馀之、搛了、一两点、管这、谁先、料也、且喜、一两天、糯五十斛、命坐、杀了、在你、痛的、等都说、现吃、怔了、这金、个个是、我原、氏忙、也错不得、子本、毁僧谤、遮着、了手、眼泪直、菜已、己有、别理、凉着、遂不、仍复、的差役、们把、太爷的、你只怨、同你去、忙进去、腌脏话、在后面、又惊又、队队、名的、去睬他、与平、一个钱、没听、株枯木、正二刻、静了、已醒了、酽酽的沏、细说与、醉中、个年高有、松了、了两声、贾珍也、让至、早晚才、描鸾刺、那里肯、松的、秋闺怨、张花梨、荣宁两、待你、再多言、反吓、里调、如若、庶不、是颗、到书、当此、点上灯来、去托、又宽、又联道、你特、行一、却难、蔷大爷芸、其真、人情等、才吃了药、再拣、而诞、两手抱、便福、被劫、家大小、病就、各按、排穗褂、喝了几杯、再说、面皆、天气和暖、了对半、明日还、随往、听着、狭窄犹、没好、儿给、有说有、傍晚得、而智者忧、不留心、听着怪、不依我呢、而自、玉来

也就是说,单词的正确率只有 41 %。这比字典的准确率还低,并没有因为采用了分词算法而提高了正确率。不过这也可以理解,因为生成字典的时候我只考虑了出现次数大于 5 的片段,而分词的时候有些单词只出现了一次,所以难度确实应该更大一些。

词频表中总计有 3.99 万个条目。根据估算的词频表中正确单词的比例,我估计《红楼梦》的词汇量大约是 1.6 万。有人用其他程序估计《红楼梦》的词汇量是 0.45 万(bbs.creaders.net/politi),不过作者没有描述详细的统计方法,所以我对其结果非常怀疑,因为《红楼梦》中的单字就有 0.35 万种了。

7 筛选特征词

终于做完了分词,又离目标靠近了一大步。现在,我可以用之前看到的那篇文章里提到的 PCA 算法来分析章回之间的差异了。不过在此之前,我想先反思一下,到底应该用哪些词的词频来进行分析?

在很多用 PCA 分析《红楼梦》的博文里,大家都是用出现频率最高的词来分析的。然而问题是,万一频率最高的词是和情节变化相关的呢?为了剔除情节变化的影响,我决定选出词频随情节变化最小的单词来作为每一章的特征。而我衡量词频变化的方法就是统计单词在每一回的词频,然后计算标准方差。为了消除单词的常用程度对标准方差的影响,我把标准方差除以该单词在每一回的平均频数,得到修正后的方差,然后利用这个标准来筛选特征词。

按照这个标准,与情节最无关的 20 个词是:

下回分解(0.27)、也不(0.50)、不知(0.51)、一个(0.52)、起来(0.55)、如今(0.55)、自己(0.55)、听了(0.55)、那里(0.56)、什么(0.57)、出来(0.58)、说着(0.58)、话说(0.59)、这里(0.61)、来了(0.63)、只得(0.63)、我们(0.64)、只是(0.64)、怎么(0.65)、就是(0.66)

(括号内为修正后的方差)

有趣的是,处在排名末尾的词,也就是词频变化最大的词,大部分都是人名:

丫鬟、请安、平儿、家的、薛姨妈、家人、光景、二奶奶、贾琏、贾政、李纨、林姑娘、父亲、探春、邢夫人、奴才、哥儿、母亲、女儿、妈妈、麝月、惜春、晴雯、凤姐儿、贾珍、林黛玉、鸳鸯、湘云、尤氏、迎春、林之孝、紫鹃、薛蟠、宝琴、赵姨娘、香菱、周瑞、雨村、雪雁、妙玉、莺儿、刘姥姥、芳官、秦钟、金桂、宝蟾

可见这个筛选方法确实能去掉我们不想要的特征词。

最终,我选择了词频变化最小的 50 个词作为特征,每个词的修正后标准方差都小于 0.85。这 50 个词如下:

下回分解、也不、不知、一个、起来、如今、自己、听了、那里、什么、出来、说着、话说、这里、来了、只得、我们、只是、怎么、就是、去了、进来、知道、只见、这样、出去、一时、还有、不得、都是、你们、宝玉、见他、不能、听见、不是、两个、说道、一面、咱们、这个、不敢、的人、没有、还不、又不、笑道、所以、不过、叫他

8 主成份分析(PCA)

理论上,有了特征之后,我们就可以比较各个章节的相似性了。然而问题是,现在我们有 50 个特征,也就是说现在的数据空间是 50 维的,这对于想象四维空间都难的人类来说是很难可视化的。对于高维数据的可视化问题来说,PCA 是一个很好用的数学工具。

9.1 何谓是主成份分析

因为高维的数据空间很难想象,所以我们可以先想象一下低维的情况。比如说,假设下图中的每个点都是一个数据,横坐标和纵坐标分别代表两个特征的值:

zh.wikipedia.org/wiki/%

现在,如果我们让 PCA 程序把这两个特征压缩成一个特征的话,算法就会寻找一条直线,使得数据点都投影到这条直线上后损失的信息最少(如果投影不好理解的话,可以想象用两块平行于直线的板子把数据点都挤压到一条线上)。在这个例子中,这条线损失信息最少的线就是图中较长的那个箭头。这样,如果我们知道了一个数据点在直线上投影的位置,我们就能大致知道数据点在压缩之前的二维空间的位置了(比如是在左上角还是右下角)。

以上是把二维数据空间压缩到一维的情况。三维压缩到二维的情况也是类似的:寻找一个二维平面,使得数据点投影到平面后损失的信息最少,然后把所有数据点投影到这个平面上去。三维压缩到一维就是把寻找平面改成寻找直线。更高维度的情况以此类推,虽然难以想象,但是在数学上是一样的。

至于算法如何找到损失信息最少的二维平面(或者直线、三维平面等等),这会涉及到一些数学知识,感兴趣的同学可以去查找一下相关的数学公式和证明。这里只要把这个算法当成一个黑箱就可以了。

9.2 重大发现?

现在我们可以利用 PCA,把五十个词的词频所构成的五十个维度压缩到二维平面上了。我把压缩后的数据点画出来,发现是这个样子的:

(图中每个圆圈代表一个回目。圆圈内是回目编号,从 1 开始计数。红色圆圈是 1-40 回,绿色圆圈是 41-80回,蓝色圆圈是 81-120 回。)

80 回以后的内容(蓝色)大部分都集中在左下角的一条狭长的区域内,很明显地和其他章回区分开来了!莫非《红楼梦》的最后 40 回真的不是同一个作者写的?!

别着急,分析还没结束。PCA 的一个很重要的优点就是,它的分析结果具有很强的可解释性,因为我们可以知道每一个原始特征在压缩后的特征(或者说成分)中的权重。从上图中可以看到,后 40 回的主要区别在于成分二(component 2)的数值。因此我们可以看一看每一个词的词频在成分 2 中的权重排名:

笑道(0.883)、我们(0.141)、一个(0.133)、你们(0.128)、两个(0.113)、说着(0.079)、咱们(0.076)、这个(0.063)、听了(0.052)、还有(0.046)、一面(0.045)、来了(0.037)、都是(0.032)、不过(0.028)、去了(0.027)、又不(0.025)、出去(0.021)、这样(0.018)、如今(0.016)、这里(0.016)、还不(0.011)、见他(0.011)、出来(0.010)、就是(0.010)、一时(0.008)、起来(0.005)、只见(0.002)、不是(0.002)、下回分解(0.000)、不得(-0.001)、也不(-0.001)、话说(-0.002)、的人(-0.005)、不知(-0.007)、那里(-0.009)、叫他(-0.011)、不敢(-0.011)、自己(-0.011)、不能(-0.017)、什么(-0.019)、所以(-0.020)、只是(-0.023)、知道(-0.026)、进来(-0.036)、说道(-0.046)、怎么(-0.050)、只得(-0.056)、没有(-0.077)、听见(-0.092)、宝玉(-0.312)

(括号内为权重)

我发现,“笑道”这个词不仅是除了人名以外出现次数最多的单词,而且在 PCA 结果中的权重也异常地高(0.88),甚至超过了“宝玉”的权重的绝对值(0.31)!为了搞明白这个词为什么有这么大的权重,我把“笑道”的词频变化画了出来:

(图中横坐标是章回编号,纵坐标是“笑道”的词频)

可以发现,“笑道”的词频是先增加再减少的,这不禁让我联想到了贾府兴衰的过程。莫非“笑道”的词频和贾府的发展状况有关?有趣的是,“笑道”的词频顶峰出现在第 50 回左右,而有些人从剧情的角度分析认为贾府的鼎盛时期开始于第 48、49 回,恰好重合:

《红楼梦》之“钗黛合一”带来大观园鼎盛_风之子9881198198_新浪博客

[转载]白坤峰讲红楼梦(172)贾府鼎盛:该来的都来了_史鼎说红楼_新浪博客

也许“笑道”这一看似平常的词汇确实侧面反应了贾府的兴衰史呢。虽然因果关系有待考证,不过想想也有一点道理,毕竟只有日子过的好的时候人们才会爱笑。

9.3 再次分析

在之前的分析中我们发现,“笑道”这个词似乎和情节的关系比较大,并且严重影响到了我们的分析。此外,“宝玉”作为一个人名,它的权重的绝对值也比较大,也可能是受到了情节的影响。因此,我决定把这两个词“拉黑”,用剩下的 48 个词的词频做特征,再次进行 PCA 分析。这次结果如下:

这次我需要把特征压缩到三维空间而非二维空间了。这是因为之前我们得到的两个成分的方差贡献率(可以理解为成分提供的信息量)分别为 44.6% 和 19.0 %,总贡献率 63.6%,算是比较高了。而现在,即使是三个成分,方差贡献率也只有 23.9%,10.6% 和 6.9% 了,总贡献率才 41.4%。可见去掉“笑道”和“宝玉”以后,从词频中发掘信息的难度提高了很多。

从图中可以看到,现在后 40 回已经不像之前那么聚集了,不过还是可以看出一点聚集的趋势。特别地,前 80 回和后 40 回在成分二和成分三上的区别比较明显。和之前一样,我们可以把在这两个成分中权重的绝对值比较大的词都找出来,看看它们的词频变化。

在成分三中,权重最小的五个单词是:没有(-0.41)、听见(-0.25)、如今(-0.21)、所以(-0.18)、我们(-0.14)。(括号内为权重)

而权重最大的五个单词是:听了(0.22)、两个(0.26)、说着(0.30)、只见(0.37)、一面(0.39)

成分二中,权重最小的三个单词是:什么(-0.30)、怎么(-0.26)、听见(-0.22)

权重最大三个单词是:一个(0.28)、你们(0.37)、我们(0.43)

(“听见”在排名中出现了两次。不过不知道这个发现有什么用。)

可以发现,有些词的词频确实有一些异常的变化。然而,这些变化到底有没有受到剧情影响呢?感觉很难说。此外,在 PCA 结果中,似乎前 40 回和中间 40 回也分开了一些,只是没有后 40 回那么明显而已。那么这是不是说明 PCA 的结果也是受到了剧情的影响呢?

总之,我有点把握认为《红楼梦》前 80 回和后 40 回的用词是有一些差异的,不过因为难以排除剧情的影响,所以我对于作者是不是同一个人这个问题还不敢下定论。虽然没有完全解决这个问题,不过这个过程中误打误撞产生的发现也是挺有意思的,比如“笑道”的词频变化和贾府兴衰史的有趣重合。更重要的是,看似枯燥的数学公式可以做出这些好玩的分析,Math is fun!

=======================================================

如果觉得我的文章写的不错的话,打赏一块钱鼓励一下呗~

支付宝:

微信:

(手机上可以先保存到相册,然后扫码时选择从相册中识别二维码)

未经授权禁止转载!

(已授权名单:“Python 中文社区”微信公众号,”知乎日报”,“Helloworld少儿编程”)