通过特征提取,我们能得到未经处理的特征,这时的特征可能有以下问题:
- 不属于同一量纲:即特征的规格不一样,不能够放在一起比较。无量纲化可以解决这一问题。
- 信息冗余:对于某些定量特征,其包含的有效信息为区间划分,例如学习成绩,假若只关心“及格”或不“及格”,那么需要将定量的考分,转换成“1”和“0”表示及格和未及格。二值化可以解决这一问题。
- 定性特征不能直接使用:某些机器学习算法和模型只能接受定量特征的输入,那么需要将定性特征转换为定量特征。最简单的方式是为每一种定性值指定一个定量值,但是这种方式过于灵活,增加了调参的工作。通常使用哑编码的方式将定性特征转换为定量特征**:假设有N种定性值,则将这一个特征扩展为N种特征,当原始特征值为第i种定性值时,第i个扩展特征赋值为1,其他扩展特征赋值为0。哑编码的方式相比直接指定的方式,不用增加调参的工作,对于线性模型来说,使用哑编码后的特征可达到非线性的效果。
- 存在缺失值:因为各种各样的原因,真实世界中的许多数据集都包含缺失数据,这类数据经常被编码成空格、NaNs,或其他占位符。
- 信息利用率低:不同的机器学习算法和模型对数据中信息的利用是不同的,之前提到在线性模型中,使用对定性特征哑编码可以达到非线性的效果。类似地,对定量变量多项式化,或者进行其他的转换,都能达到非线性的效果。
无量纲化
标准化
数据的标准化是将数据按比例缩放,使之落入一个小的特定区间。在某些比较和评价的指标处理中经常会用到,去除数据的单位限制,将其转化为无量纲的纯数值,便于不同单位或量级的指标能够进行比较和加权。
公式为:(X-mean)/std 计算时对每个属性/每列分别进行。
将数据按属性(按列进行)减去其均值,并除以其方差。得到结果是,对于每个属性(每列)来说所有数据都聚集在0附近,方差为1。
from sklearn.datasets import load_iris
import numpy as np
X = np.array([[ 1., -1., 2.],
[ 2., 0., 0.],
[ 0., 1., -1.]])
from sklearn import preprocessing
X_scaled = preprocessing.scale(X)
print(X_scaled)
print(X_scaled.mean(axis=0))
print(X_scaled.std(axis=0))
out
[[ 0. -1.22474487 1.33630621]
[ 1.22474487 0. -0.26726124]
[-1.22474487 1.22474487 -1.06904497]]
[ 0. 0. 0.]
[ 1. 1. 1.]
sklearn 还提供了StandardScaler类,使用该类的好处在于可以保存训练集中的参数(均值、方差)直接使用其对象转换测试集数据。
scaler = preprocessing.StandardScaler().fit(X)
print(scaler)
print(scaler.mean_)
print(scaler.scale_)
print(scaler.transform(X))
scaler.transform([[-1., 1., 0.]])
out
StandardScaler(copy=True, with_mean=True, with_std=True)
[ 1. 0. 0.33333333]
[ 0.81649658 0.81649658 1.24721913]
[[ 0. -1.22474487 1.33630621]
[ 1.22474487 0. -0.26726124]
[-1.22474487 1.22474487 -1.06904497]]
Out[9]:
array([[-2.44948974, 1.22474487, -0.26726124]])
区间缩放
另一种常用的方法是将属性缩放到一个指定的最大和最小值(通常是1-0)之间,这可以通过preprocessing.MinMaxScaler类实现。
使用这种方法的目的包括:
1、对于方差非常小的属性可以增强其稳定性。
2、维持稀疏矩阵中为0的条目。

image.png
X_train = np.array([[ 1., -1., 2.],
[ 2., 0., 0.],
[ 0., 1., -1.]])
min_max_scaler = preprocessing.MinMaxScaler()
X_train_minmax = min_max_scaler.fit_transform(X_train)
print(X_train_minmax)
out
[[ 0.5 0. 1. ]
[ 1. 0.5 0.33333333]
[ 0. 1. 0. ]]
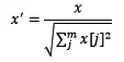
归一化
归一化是依照特征矩阵的行处理数据,其目的在于样本向量在点乘运算或其他核函数计算相似性时,拥有统一的标准,也就是说都转化为“单位向量”。规则为l2的归一化公式如下:

image.png
该方法主要应用于文本分类和聚类中。例如,对于两个TF-IDF向量的l2-norm进行点积,就可以得到这两个向量的余弦相似性。
X_normalized = preprocessing.normalize(X_train, norm='l2')
print(X_normalized)
normalizer = preprocessing.Normalizer().fit(X_train)
normalizer.transform(X_train)
out
[[ 0.40824829 -0.40824829 0.81649658]
[ 1. 0. 0. ]
[ 0. 0.70710678 -0.70710678]]
Out[16]:
array([[ 0.40824829, -0.40824829, 0.81649658],
[ 1. , 0. , 0. ],
[ 0. , 0.70710678, -0.70710678]])
后面接着介绍数据预处理
参考
关于使用sklearn进行数据预处理 —— 归一化/标准化/正则化
统计数据归一化与标准化
标准化和归一化什么区别?
特征工程到底是什么?
sklearn preprocess