关于多分类
我们常见的逻辑回归、SVM等常用于解决二分类问题,对于多分类问题,比如识别手写数字,它就需要10个分类,同样也可以用逻辑回归或SVM,只是需要多个二分类来组成多分类,但这里讨论另外一种方式来解决多分类——softmax。
关于softmax
softmax的函数为

可以看到它有多个值,所有值加起来刚好等于1,每个输出都映射到了0到1区间,可以看成是概率问题。


如何多分类
从下图看,神经网络中包含了输入层,然后通过两个特征层处理,最后通过softmax分析器就能得到不同条件下的概率,这里需要分成三个类别,最终会得到y=0、y=1、y=2的概率值。

继续看下面的图,三个输入通过softmax后得到一个数组[0.05 , 0.10 , 0.85],这就是soft的功能。

计算过程直接看下图,其中



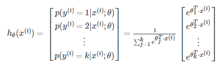
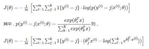
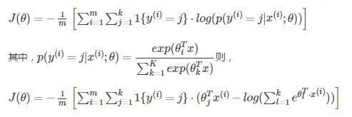
代价函数
对于训练集



softmax的代价函数定为如下,其中包含了示性函数



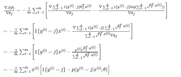
一般使用梯度下降优化算法来最小化代价函数,而其中会涉及到偏导数,即


得到代价函数对参数权重的梯度就可以优化了。
使用场景
在多分类场景中可以用softmax也可以用多个二分类器组合成多分类,比如多个逻辑分类器或SVM分类器等等。该使用softmax还是组合分类器,主要看分类的类别是否互斥,如果互斥则用softmax,如果不是互斥的则使用组合分类器。
========广告时间========
鄙人的新书《Tomcat内核设计剖析》已经在京东销售了,有需要的朋友可以到 item.jd.com/12185360.ht… 进行预定。感谢各位朋友。
=========================
欢迎关注:
