转自博客:www.infosec-wiki.com/?p=140760
一、关于异常检测
异常检测(outlier detection)在以下场景:
- 数据预处理
- 病毒木马检测
- 工业制造产品检测
- 网络流量检测
等,有着重要的作用。由于在以上场景中,异常的数据量都是很少的一部分,因此诸如:SVM、逻辑回归等分类算法,都不适用,因为:
监督学习算法适用于有大量的正向样本,也有大量的负向样本,有足够的样本让算法去学习其特征,且未来新出现的样本与训练样本分布一致。
以下是异常检测和监督学习相关算法的适用范围:
异常检测:信用卡诈骗、制造业产品异常检测、数据中心机器异常检测、入侵检测
监督学习:垃圾邮件识别、新闻分类
二、异常检测算法
1. 基于统计与数据分布
假设数据集应满足正态分布(Normal Distribution),即:
<img src="https://pic1.zhimg.com/v2-cd3326500b81f72b94e89d64f5d24230_b.jpg" data-rawwidth="504" data-rawheight="68" class="origin_image zh-lightbox-thumb" width="504" data-original="https://pic1.zhimg.com/v2-cd3326500b81f72b94e89d64f5d24230_r.jpg">
分布的平均值为μ和方差为σ² 。
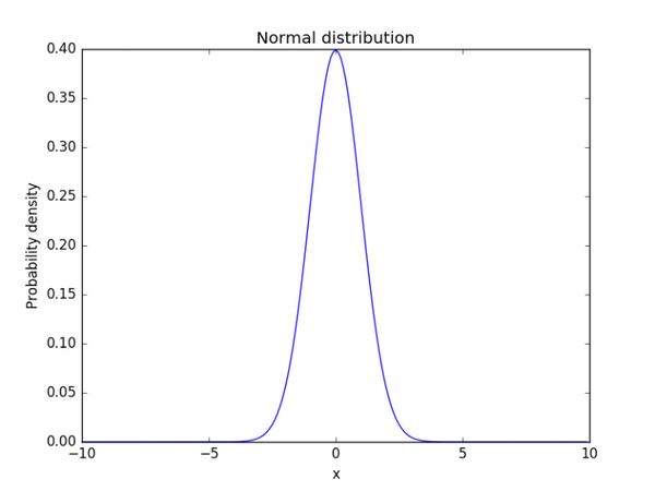
<img src="https://pic3.zhimg.com/v2-a3dd94eab8a6ef93009abfab9c636762_b.png" data-rawwidth="768" data-rawheight="576" class="origin_image zh-lightbox-thumb" width="768" data-original="https://pic3.zhimg.com/v2-a3dd94eab8a6ef93009abfab9c636762_r.png">
当满足上图训练数据的正态分布,如果x的值大于4或者小于-4,都可以认为是异常值。
以下以“600680”股票成交量为例:
import tushare
from matplotlib import pyplot as plt
df = tushare.get_hist_data("600680")
v = df[-90: ].volume
v.plot("kde")
plt.show()
近三个月,成交量大于200000就可以认为发生了异常(天量,嗯,要注意风险了……)
<img src="https://pic3.zhimg.com/v2-95ffede51f26311e09012645b9c758d6_b.png" data-rawwidth="768" data-rawheight="576" class="origin_image zh-lightbox-thumb" width="768" data-original="https://pic3.zhimg.com/v2-95ffede51f26311e09012645b9c758d6_r.png">
算法示例:
<img src="https://pic3.zhimg.com/v2-7fcdf0a5f768cc209f01ff2ff78e2a5e_b.png" data-rawwidth="650" data-rawheight="394" class="origin_image zh-lightbox-thumb" width="650" data-original="https://pic3.zhimg.com/v2-7fcdf0a5f768cc209f01ff2ff78e2a5e_r.png">
2. 箱线图分析
箱线图,不做过多说明了:
import tushare
from matplotlib import pyplot as plt
df = tushare.get_hist_data("600680")
v = df[-90: ].volume
v.plot("kde")
plt.show()
图:
import tushare
from matplotlib import pyplot as plt
df = tushare.get_hist_data("600680")
v = df[-90: ].volume
v.plot("kde")
plt.show()
<img src="https://pic2.zhimg.com/v2-07a5be7b7ab31d8ca4e6fccbc9e7f5d5_b.png" data-rawwidth="768" data-rawheight="576" class="origin_image zh-lightbox-thumb" width="768" data-original="https://pic2.zhimg.com/v2-07a5be7b7ab31d8ca4e6fccbc9e7f5d5_r.png">
大体可以知道,该股票在成交量少于20000,或者成交量大于80000,就应该提高警惕啦!
3. 基于距离/密度
典型的算法是:“局部异常因子算法-Local Outlier Factor”,该算法通过引入“k-distance,第k距离”、“k-distance neighborhood,第k距离邻域”、“reach-distance,可达距离”、以及“local reachability density,局部可达密度 ”和“local outlier factor,局部离群因子”,来发现异常点,详情可参考:异常点/离群点检测算法--LOF - wangyibo0201的博客 - 博客频道 - CSDN.NET
4. 基于划分思想
典型的算法是 “孤立森林,Isolation Forest”,其思想是:
假设我们用一个随机超平面来切割(split)数据空间(data space), 切一次可以生成两个子空间(想象拿刀切蛋糕一分为二)。之后我们再继续用一个随机超平面来切割每个子空间,循环下去,直到每子空间里面只有一个数据点为止。直观上来讲,我们可以发现那些密度很高的簇是可以被切很多次才会停止切割,但是那些密度很低的点很容易很早的就停到一个子空间了。
这个的算法流程即是使用超平面分割子空间,然后建立类似的二叉树的过程:
<img src="https://pic4.zhimg.com/v2-100833a0ef736e6f7ee15b4329a44507_b.png" data-rawwidth="499" data-rawheight="326" class="origin_image zh-lightbox-thumb" width="499" data-original="https://pic4.zhimg.com/v2-100833a0ef736e6f7ee15b4329a44507_r.png">
详情见:
iForest (Isolation Forest)孤立森林 异常检测 入门篇IsolationForest example示例代码:
import numpy as np
import matplotlib.pyplot as plt
from sklearn.ensemble import IsolationForest
rng = np.random.RandomState(42)
# Generate train data
X = 0.3 * rng.randn(100, 2)
X_train = np.r_[X + 1, X - 3, X - 5, X + 6]
# Generate some regular novel observations
X = 0.3 * rng.randn(20, 2)
X_test = np.r_[X + 1, X - 3, X - 5, X + 6]
# Generate some abnormal novel observations
X_outliers = rng.uniform(low=-8, high=8, size=(20, 2))
# fit the model
clf = IsolationForest(max_samples=100*2, random_state=rng)
clf.fit(X_train)
y_pred_train = clf.predict(X_train)
y_pred_test = clf.predict(X_test)
y_pred_outliers = clf.predict(X_outliers)
# plot the line, the samples, and the nearest vectors to the plane
xx, yy = np.meshgrid(np.linspace(-8, 8, 50), np.linspace(-8, 8, 50))
Z = clf.decision_function(np.c_[xx.ravel(), yy.ravel()])
Z = Z.reshape(xx.shape)
plt.title("IsolationForest")
plt.contourf(xx, yy, Z, cmap=plt.cm.Blues_r)
b1 = plt.scatter(X_train[:, 0], X_train[:, 1], c='white')
b2 = plt.scatter(X_test[:, 0], X_test[:, 1], c='green')
c = plt.scatter(X_outliers[:, 0], X_outliers[:, 1], c='red')
plt.axis('tight')
plt.xlim((-8, 8))
plt.ylim((-8, 8))
plt.legend([b1, b2, c],
["training observations",
"new regular observations", "new abnormal observations"],
loc="upper left")
plt.show()
结果如下,其中:红色即为异常点,白色是训练集,绿色是测试数据<img src="https://pic4.zhimg.com/v2-f6103ed48afc84232d7678392384102b_b.png" data-rawwidth="768" data-rawheight="576" class="origin_image zh-lightbox-thumb" width="768" data-original="https://pic4.zhimg.com/v2-f6103ed48afc84232d7678392384102b_r.png">

注意:孤立森林不适用于特别高维的数据。由于每次切数据空间都是随机选取一个维度,建完树后仍然有大量的维度信息没有被使用,导致算法可靠性降低。高维空间还可能存在大量噪音维度或无关维度(irrelevant attributes),影响树的构建。孤立森林算法具有线性时间复杂度。因为是ensemble的方法,所以可以用在含有海量数据的数据集上面。通常树的数量越多,算法越稳定。由于每棵树都是互相独立生成的,因此可以部署在大规模分布式系统上来加速运算。
5. 其他算法
包括:One-class SVM 以及 Elliptic Envelope 等。
参考:2.7. Novelty and Outlier Detection
6. 值得一提
这些算法里面,孤立森林和局部异常因子算法相比之下,效果是最好的。
文章参考资料:
Isolation Forest LOF – Identifying Density-Based Local Outlierskamidox.com 异常检测(anomaly detection) 如何在Python中实现这五类强大的概率分布 - Python - 伯乐在线 博客频道 - CSDN.NET 2.7. Novelty and Outlier Detection iForest (Isolation Forest)孤立森林 异常检测 入门篇 异常点检测算法(一)异常值检测算法(二)
异常点检测算法(三)
异常点检测算法综述
