NE(Network Embedding)论文小览
自从word2vec横空出世,似乎一切东西都在被embedding,今天我们要关注的这个领域是Network Embedding,也就是基于一个Graph,将节点或者边投影到低维向量空间中,再用于后续的机器学习或者数据挖掘任务,对于复杂网络来说这是比较新的尝试,而且取得了一些效果。
本文大概梳理了最近几年流行的一些方法和论文,paper主要是来自thunlp/NRLPapers 这个List,并掺杂了一些其他论文。大概看了一遍,简单总结一下,希望对大家有所帮助,如有不严谨的地方,还望指正。
抛开一些传统的流形学习方法不谈,下面大概以这个outline组织(区分并不严格):

DeepWalk(Online Learning of Social Representations.)
DeepWalk是KDD 2014的一篇文章,彼时word2vec在文本上的成功应用掀起来一波向量化的浪潮,word2vec是根据词的共现关系,将词映射到低维向量,并保留了语料中丰富的信息。DeepWalk算法思路其实很简单,对图从一个节点开始使用random
walk来生成类似文本的序列数据,然后将节点id作为一个个「词」使用skip gram训练得到「词向量」。
思路虽然简单,背后是有一定道理的,后面一些工作有证明这样做其实等价于特殊矩阵分解(Matrix Factorization)。而DeepWalk本身也启发了后续的一系列工作。
node2vec(Scalable Feature Learning for Networks)
node2vec在DW的基础上,定义了一个bias random walk的策略生成序列,仍然用skip gram去训练。
论文分析了BFS和DFS两种游走方式,保留的网络结构信息是不一样的。
DeepWalk中根据边的权重进行随机游走,而node2vec加了一个权重调整参数α:t是上一个节点,v是最新节点,x是候选下一个节点。d(t,x)是t到候选节点的最小跳数。
通过不同的p和q参数设置,来达到保留不同信息的目的。当p和q都是1.0的时候,它等价于DeepWalk。

MMDW(Max-Margin DeepWalk Discriminative Learning of Network Representation)
DW本身是无监督的,如果能够引入label数据,生成的向量对于分类任务会有更好的作用。
之前提到过有证明DW实际上是对于一个特殊矩阵M的分解,
这篇文章将DeepWalk和Max-Margin(SVM)结合起来,从损失函数看是这两部分组成:
1.训练的时候是分开优化,固定X
,Y
优化W
和ξ
,其实就是multi class 的 SVM。
2.固定W
和ξ
优化X
,Y
的时候稍微特殊一点,算了一个biased Gradient,因为损失函数里有x和w的组合。
这样在训练中同时优化discrimination和representation两部分,达到一个好的效果。

TADW(Network Representation Learning with Rich Text Information.)
文章里有DeepWark等同于M的矩阵分解的简单证明,而在实际中,一些节点上旺旺会有文本信息,所以在矩阵分解这个框架中,将文本直接以一个子矩阵的方式加入,会使学到的向量包含更丰富的信息。
文本矩阵是对TFIDF矩阵的SVD降维结果。

GraRep(Learning Graph Representations with Global Structural Information.)
沿用矩阵分解的思路,分析了不同k-step(random walk中的步数)所刻画的信息是不一样的:
所以可以对每一个step的矩阵作分解,最后将每个步骤得到的向量表示拼接起来最为最后的结果。论文中有完整的推导过程,这里就不赘述了。
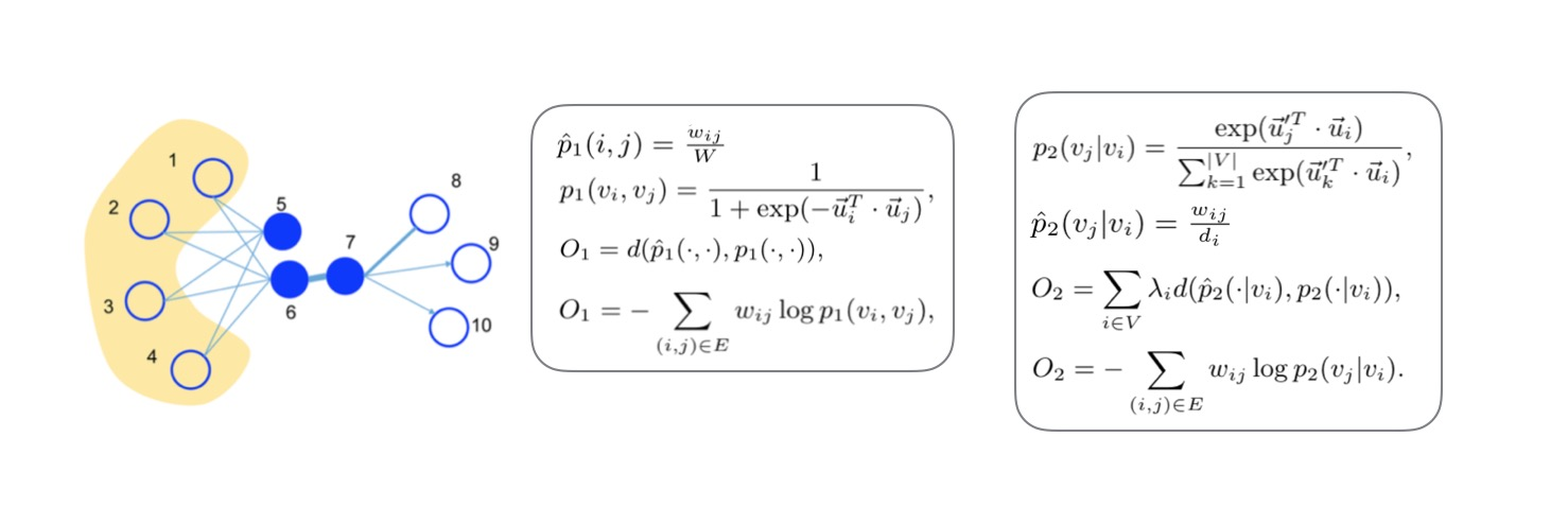
LINE(Large scale information network embedding)
LINE分析了1st order proximity和2nd order proximity,其中一度相似性就是两个点直接相连,且边权重越大说明两个点越相似,如下图中的6和7;而二度相似性则是两个点之间共享了很多邻居,则它们的相似性就很高,如下图的5和6。
文章中非常简单的方式构造了一个目标函数,能同时保留二者的信息。以一度相似性为例,节点i和j相连的经验概率就是和归一化后的权重,即
p
̂
1
(i,j
)=w i j
/
W
,而通过向量计算这个概率值是p 1
(i,j
)=1 1 +e
x p
(− u T
i
u j
)
,目标函数就是让这两个分布距离最小,选择KL散度作为距离衡量函数就得到了最后的损失函数O 1
。
其中还有个优化的trick,edge-sampling algorithm:因为边的weight差异很大,直接用SGD效果不好,所以有个edge的采样,按照边的weight采样,然后每条边当做binary的算。

NEU(Fast Network Embedding Enhancement via High Order Proximity Approximation)
这一篇是最近发表在IJCAI上的文章,说实话是一个很取巧的方式,文章分析了一些可以视为矩阵分解的embedding方法:
得到一个结论,如果矩阵分解f
(A)
=RC
能更精确地包括高阶信息,效果是会更好的,但带来的结果是算法的计算复杂度更高。
所以文章采用一种很巧妙的方式,在(低阶low-order)矩阵分解的结果上更新,以获得更高阶(higher order)的分解结果,使最后的向量效果更好,这个方法是可以适用在多个算法中的。
论文中证明了一个bound来支持这样的更新方式。

Extra Info
前面我们看的绝大多数只考虑了网络结构,但真实世界中的节点和边往往都会含有丰富的信息。如上图,在Quora场景中,每个用户自身会有一些label和文本,在一些场景里甚至边也会带上一些label,这些信息对于网络的构建其实是至关重要的,前面我们也看到了TADW将节点的文本信息纳入训练,下面罗列一些这个方向相关的论文。
CANE(Context-Aware Network Embedding for Relation Modeling)
首先考虑了节点上的Context,主要是文本,学习对每个节点产出Vt(文本向量)和Vs(结构向量)
Context-Free的话Vt是固定的,采用一个CNN的流程产出,如下图左边部分:对于一个文本,每个词的向量组成一个矩阵,然后以l
为窗口在d个kernel上进行CNN的卷积操作,得到的结果按行取max来获得最后的文本向量。
Context-Aware的话引入了Attention机制,会考虑边e=(u,v)的tu和tv,通过下右图的流程产出Attention权重,再进行类似Pooling的操作(最后一步),这样节点在和不同的点连接的时候其作用是不一样的。
A是引入的待训练参数,物理意义可能为目标维的空间变换。

CENE(A General Framework for Content-enhanced Network Representation Learning)
这篇文章将文本转化为特殊的节点,这样就有两种连边,(节点-文档)以及(节点-节点),对两种边一起建模,损失函数包括L
n n
和L
n c
,其中文本拆分为更细的句子,而句子有三种方式去embedding,下面有列举。
和很多方法一样,Loss的减数部分是负采样出来的。

Trans-Net(Translation-Based Network Representation Learning for Social Relation Extraction)
这篇paper也是最新2017在IJCAI上发表的,引入了机器翻译的思想,将Translation机制应用到中间,通过一个Autoencode对边上的labels(构成一个向量)进行编码,然后将节点和edge映射到同一个空间作加减。认为在这个空间里u+l=v’(每个节点有两个向量表示,分别指示在边的「起点」和「终点」时,用’进行区分)
这样预测的时候,简单用v’-u 就可以得到l,再用AE的解码器部分还原为element-binary的label set,就得到预测结果。

Deep Learning
最近几年深度学习如火如荼,严格来说,类似word2vec其实属于浅层模型,但你也可以用一些复杂的深度模型去获得embedding结果,这个思路是将网络序列化,借用NLP的方法去训练。
我们知道在图像上做CNN就是对临接的像素进行卷积操作,那么如果直接对图作CNN呢?这就是GCN的思路,但这里并不详细介绍GCN,看上图应该能明白它是怎么去做的。
还有一些工作将深度学习应用到了Network Embedding上面,之前罗列的比如CANE和Trans-Net都有这样的结构,特别是Trans-Net使用的Autoencoder就是一个神经网络。
深度学习有很多工作都是基于一整个Graph去做的,比如判断一个Graph的某些属性,本文主要是列举对节点进行embedding的方法。
SSC-GCN(Semi-Supervised Classification with Graph Convolutional Networks)
和DW完全不同的思路,引入了一个spectral convolutions操作,不过目前看起来卷积是在整个图上做的,还没有支持mini-batch,最后目标是单个节点的分类和表示学习。
在之前的一些工作中,NN for graph都是对图级别做的,做分类等等,针对整个sub-graph,但这里本质上还是对单个节点。
这里的操作是这个意思:比如说下图X中每一行是一个图节点的input feature表示,那么通过A和W可以一次次改变这个矩阵的列数,其实就是在做「全连接」操作,只是A可能是稀疏的(转移矩阵),所以可以看成是某种卷积操作,每一步将与之相连的节点的权重信息汇合到输出的这一行中。
最后定义了一个semi-supervised的东西,可以将部分节点的label也作为loss的一部分,所以整体的损失函数是:
其中L0是有监督的部分,后面的
L
r
eg
实际上包含了边的信息,其中A
是描述了所有边信息的adjacency matrix(or some function thereof).
比较有意思的是,这个网络甚至随机初始化,不训练,得到的结果分布都比较清晰(不同community的点最后会映射得比较接近),论文解释这个计算本身的逻辑有点像Weisfeiler-Lehman算法。
SDNE(Structural Deep Network Embedding)
中间有一部分逻辑和TransNet有点类似,它是对节点的描述特征向量(比如点的「邻接向量」)使用autoencoder编码,同时也对非0项加重惩罚了(没有连接并不代表一定没有,可能只是还没发生,所以这里对此进行了协调):取autoencoder中间层作为向量表示,以此来让获得2nd
proximity(相似邻居的点相似度较高,因为两个节点的「邻接向量」相似,说明它们共享了很多邻居,最后映射成的向量y也会更接近)。
对于1st proximity,通过评估有连边的点的vector距离来纳入考虑。
这两部分都纳入最后的损失函数,这里的L
r
eg
是正则。
不然过这个计算要传入「邻接向量」进去的话,对于节点特别多的情况是个负担。
Heterogeneous
真实世界中的网络毫无疑问是异构的(Heterogenous),比如交易中,涉及到的节点有人、商品、店铺等等;更一般的比如知识图谱中有不同类型的节点和边,而前面描述的绝大部分工作都是在同构网络(Homogenous)的基础上进行的,所以了解异构网络的embedding对真正在实际中的应用会有帮助。
PTE(Predictive Text Embedding through Large-scale Heterogeneous Text Networks.)
这篇文章的主要意图是将predictive的信息在最后的embedding提现出来,但不要像CNN/RNN模型那样直接嵌套一个复杂的预测模型。所以他分别定义了三种network,word-word,word-document,word-label。都搞成类似二部图的样子,然后将各自的损失函数汇总到一起(形式都是类似的,定义经验概率和目标概率求KL距离),就是这么简单粗暴。
HINES(Heterogeneous Information Network Embedding for Meta Path based Proximity)
这篇文章对多元异构网络(知识图谱)进行了embedding,图中有不同类型的点,不同类型的连边。引入了meta path的概念,就是不同点之间的连边是按照一定的元信息连起来的,比如A1(Author)-P1(Paper)-A2(Author)这样一个meta
path表示的信息可能就是A1和A2之间合作了一篇paper,这个概念可以很好地推广到很多场景。
一般在计算proximity的时候都是按照1st order这样的思路来的,但引入了meta path概念的时候,如果A和B在一条meta path的两端,那么它们的proximity应该更大,当然这也取决于这条元路径本身的信息量。
文章中选择了所有长度小于l的元路径,因为一般来说路径越长其信息量越少。
最后的损失函数同样是刻画分布的距离。
总结
Network Embedding是最近几年还是有蛮多工作的,这里只列举了一些。虽然NE从NLP里借鉴了很多的思想,但二者还是有一些不同的,a.如果以节点id作为「词」,那么对于一些真实的网络来说,可能会非常稀疏,而且节点的数量会非常大,上亿是很正常的,这对上面一些方法的应用有一些限制,你可以想象存这样大的一张此表需要多大的内存。b.异构网络如何能够更好地被训练,是一个很有挑战的事情;同时节点和边上往往有着各种丰富的信息,如何能够将这些信息都学到结果向量中,也是很有意思的。
本文并没有非常详细地去讲每篇论文,只是记录了主要思路,有兴趣可以去读原始论文。
Reference
【0】上面每一个子标题括号中的内容就是对应的论文题目。
【1】THUNLP_NRLpapers
【2】《Representation Learning with Networks》by Jure Leskovec.slide_01
