Elasticsearch 5.X(Lucene 6) 的 BM25 相关度算法 | XguoX

1,180 阅读1分钟
原文链接: xguox.me

上次写了关于 Elasticsearch 的分数(_score)是怎么计算得出, 不过那是在 Elasticsearch 5.0 以前的版本用的, Elasticsearch 前不久发布了 5.0 版本, 基于 Lucene 6, 默认使用了 BM25 评分算法.

BM25BM 是缩写自 Best Match, 25 貌似是经过 25 次迭代调整之后得出的算法. 它也是基于 TF/IDF 进化来的. Wikipedia 那个公式看起来很吓唬人, 尤其是那个求和符号, 不过分解开来也是比较好理解的.

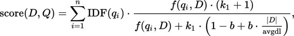
总体而言, 主要还是分三部分, TF - IDF - Document Length

IDF 还是和之前的一样. 公式 IDF(q) = 1 + ln(maxDocs/(docFreq + 1))

f(q, D) 是 tf(term frequency)

|d| 是文档的长度, avgdl 是平均文档长度.

先不看 IDF 和 Document Length 的部分, 变成 tf * (k + 1) / (tf + k),

相比传统的 TF/IDF (tf(q in d) = sqrt(termFreq)) 而言, BM25 抑制了 tf 对整体评分的影响程度, 虽然同样都是增函数, 但是, BM25 中, tf 越大, 带来的影响无限趋近于 (k + 1), 这里 k 值通常取 [1.2, 2], 而传统的 TF/IDF 则会没有临界点的无限增长.

文档长度的影响, 同样的, 可以看到, 命中搜索词的情况下, 文档越短, 相关性越高, 具体影响程度又可以由公式中的 b 来调整, 当设值为 0 的时候, 就跟之前 ‘TF/IDF’ 那篇提到的 "norms": { "enabled": false } 一样, 忽略文档长度的影响.

综合起来,

k = 1.2

b = 0.75

idf * (tf * (k + 1)) / (tf + k * (1 - b + b * (|d|/avgdl)))

最后再对所有 term 求和. 就是 Elasticsearch 5 中一般查询的得分了.

opensourceconnections.com/blog/2015/1…