今天,大家要学习的内容是 Webpack 大法中的 Code Splitting 。
Code Splitting 是什么以及为什么
在以前,为了减少 HTTP 请求,通常地,我们都会把所有的代码都打包成一个单独的 JS 文件。但是,如果这个 JS 文件体积很大的话,那就得不偿失了。
这时,我们不妨把所有代码分成一块一块,需要某块代码的时候再去加载它;还可以利用浏览器的缓存,下次用到它的话,直接从缓存中读取。很显然,这种做法可以加快我们网页的加载速度,美滋滋!
所以说,Code Splitting 其实就是把代码分成很多很多块( chunk )咯。
Code Splitting 怎么做
主要有 2 种方式:
- 分离业务代码和第三方库( vendor )
- 按需加载(利用 import() 语法)
之所以把业务代码和第三方库代码分离出来,是因为产品经理的需求是源源不断的,因此业务代码更新频率大,相反第三方库代码更新迭代相对较慢且可以锁版本,所以可以充分利用浏览器的缓存来加载这些第三方库。
而按需加载的适用场景,比如说「访问某个路由的时候再去加载对应的组件」,用户不一定会访问所有的路由,所以没必要把所有路由对应的组件都先在开始的加载完;更典型的例子是「某些用户他们的权限只能访问某些页面」,所以没必要把他们没权限访问的页面的代码也加载。
准备工作
我用 Vue.js 写了一个很简单的 demo :它调用了一个 api ,然后显示返回的 emoji 表情。( File Changes )。
<img src="https://pic2.zhimg.com/v2-6c42e5f2789cb76a4d4d88ec42d3087d_b.png" data-rawwidth="402" data-rawheight="384" class="content_image" width="402">
接下来,看看第一次打包的情况:
<img src="https://pic3.zhimg.com/v2-f2c0d0e3ea151c0582a8442f51175ace_b.png" data-rawwidth="1280" data-rawheight="734" class="origin_image zh-lightbox-thumb" width="1280" data-original="https://pic3.zhimg.com/v2-f2c0d0e3ea151c0582a8442f51175ace_r.png">
可以看到,当前只有一个 chunk 也就是 app.js ,他是一个 entry chunk 。因为我们的 webpack 配置是这样子的:
// webpack.config.js
module.exports = {
entry: {
app: './src/main.js', // entry chunk
},
}
app.js 包含了我们的第三方库 vue 和 axios ,以及我们的业务代码 src 。
接下来,我们要把他们分离开。
分离 Vendor
最简单方法就是:加一个 entry ( File Changes ):
// webpack.config.js
module.exports = {
entry: {
app: './src/main.js',
vendor: ['vue', 'axios'],
},
}
来,分析一下打包:
<img src="https://pic1.zhimg.com/v2-38bf000bb1e976654af621bdf9fc9758_b.png" data-rawwidth="1320" data-rawheight="736" class="origin_image zh-lightbox-thumb" width="1320" data-original="https://pic1.zhimg.com/v2-38bf000bb1e976654af621bdf9fc9758_r.png">
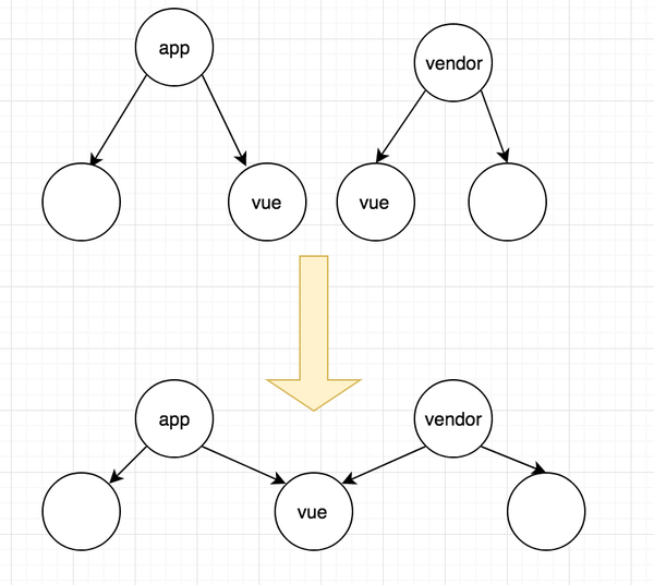
虽然 vendor.js 这个 entry chunk 包含了我们想要的 vue 和 axios ,但是细心的同学会发现, app.js 也包含了他们!为什么!?
其实这是很正常的事情:每个 entry 都包含了他自己的依赖,这样他才能作为一个入口,独立地跑起来。
很难受,事实上我们并不想 app.js 还包含了 vue 和 axios 。如果可以把他们俩相同的依赖提取出来就好了,就像这样:
<img src="https://pic4.zhimg.com/v2-12ac7011458a1e5de5e8316c29ad274f_b.png" data-rawwidth="844" data-rawheight="756" class="origin_image zh-lightbox-thumb" width="844" data-original="https://pic4.zhimg.com/v2-12ac7011458a1e5de5e8316c29ad274f_r.png">
如果想要提取公共模块的话,就需要用到 CommonsChunkPlugin 这个插件。
CommonsChunkPlugin
现在,修改我们的 webpack 配置文件( File Changes ):
new webpack.optimize.CommonsChunkPlugin({
name: 'vendor',
}),
Webpack 大佬,在所有的 chunk 中,帮我找到依赖2次及以上的模块,然后移到 vendor 这个 chunk 里面,感激不尽。
- 所有的 chunk( app.js 和 vendor.js )中,app.js 和 vendor.js 都引用了 vue 和 axios
- 加起来2次,那把他们都移动到 vendor.js 里面。
- 最后,app.js 原本包含的 vue 和 axios 都移动到了 vendor.js 。
来看看我们此时的打包:
<img src="https://pic2.zhimg.com/v2-1c4663763de6ffd4bf9fd1f15857f6b9_b.png" data-rawwidth="1318" data-rawheight="740" class="origin_image zh-lightbox-thumb" width="1318" data-original="https://pic2.zhimg.com/v2-1c4663763de6ffd4bf9fd1f15857f6b9_r.png">
哈~哈~哈~ 这个就是我们想要的:app.js 这个 chunk 再也没有包含第三方库了,只剩下业务代码。
但是!随着业务的增长,我们依赖的第三方库代码很可能会越来越多,这时候我们的 webpack.config.js 就变成这样了:
module.exports = {
entry: {
app: './src/main.js',
vendor: [
'vue',
'axio',
'vue-router',
'vuex',
'element-ui',
// 很长很长
],
},
}
vendor entry 会变成很长很长,更糟糕的是,我们每次引入了新的第三方库,都需要在 vendor 手动增加对应的包名。
自动化分离 vendor
如果我们想把所有 node_modules 目录下的所有 .js 都自动分离到 vendor.js ,则需要用到 minChunks:( File Changes )
entry: {
// vendor: ['vue', 'axios'] // 删掉!
},
new webpack.optimize.CommonsChunkPlugin({
name: 'vendor',
minChunks: ({ resource }) => (
resource &&
resource.indexOf('node_modules') >= 0 &&
resource.match(/\.js$/)
),
}),
Webpack 大佬,如果你看见某些模块是来自 node_modules 目录的,并且名字是 .js 结尾的话,麻烦把他们都移到 vendor chunk 里去,如果 vendor chunk 不存在的话,就创建一个新的。
- 找到了,vue 和 axios 都来自 node_modules 并且是 JS 文件
- vendor chunk 不存在,那我就创建一个
- 把他们俩移动到 vendor chunk
此时此刻,我们的打包是这样子的:
<img src="https://pic2.zhimg.com/v2-1c4663763de6ffd4bf9fd1f15857f6b9_b.png" data-rawwidth="1318" data-rawheight="740" class="origin_image zh-lightbox-thumb" width="1318" data-original="https://pic2.zhimg.com/v2-1c4663763de6ffd4bf9fd1f15857f6b9_r.png">
跟之前的打包一模一样。酷~
Dynamic Import
由于产品经理加了新的需求,我们的 demo 变成了这个样子,多加了路由:( File Changes )
<img src="https://pic4.zhimg.com/v2-15ba96e3725ba32502a5ca377613606f_b.png" data-rawwidth="498" data-rawheight="518" class="origin_image zh-lightbox-thumb" width="498" data-original="https://pic4.zhimg.com/v2-15ba96e3725ba32502a5ca377613606f_r.png">
同时我们的打包:
<img src="https://pic2.zhimg.com/v2-f6168264319278ceb1bde38c8f737fc5_b.png" data-rawwidth="1326" data-rawheight="746" class="origin_image zh-lightbox-thumb" width="1326" data-original="https://pic2.zhimg.com/v2-f6168264319278ceb1bde38c8f737fc5_r.png">
新增加的第三方库 vue-router 和 justified-layout 都自动移到了 vendor.js ,没毛病!
import()
如果我们想「按需加载」路由组件的话,只要改几行代码就好了:( File Changes )
// router.js
const Emoji = () => import(
/* webpackChunkName: "Emoji" */
'./pages/Emoji.vue')
const Photos = () => import(
/* webpackChunkName: "Photos" */
'./pages/Photos.vue')
注意到,我们使用了 webpack v2.4 的新功能,可以设置 chunk 的名字;同时别忘了还要改 webpack 配置:
output: {
chunkFilename: '[name].chunk.js',
}
如果你用了 Babel ,就需要装上这个插件:babel plugin syntax dynamic import 来解析 import() 语法。修改 .babelrc :
{
"plugins": ["syntax-dynamic-import"]
}
迫不及待地想看看这个时候的打包:
<img src="https://pic2.zhimg.com/v2-1bf6253be84dc5f976277105a414f091_b.png" data-rawwidth="1322" data-rawheight="748" class="origin_image zh-lightbox-thumb" width="1322" data-original="https://pic2.zhimg.com/v2-1bf6253be84dc5f976277105a414f091_r.png">
很容易发现,多了 2 个 async chunk ,分别对应着我们 2 个路由的组件。
但是!他们居然都包含了 axios 。
在这之前,我们不是设置了让所有的 node_modules 都移到 vendor.js 里面了吗?!怎么现在不起作用了?
我觉得,Photos.chunk.js 和 Emoji.chunk.js 这两个都是按需加载的,所以在页面初始化的时候,不需要去加载没有用到的模块( axios ),这样就可以减少首页体积的大小。
但是,这样的话会导致我访问 Photos 的时候,要加载 axios ,访问 Emoji 的时候,也需要去加载 axios ,这显然不是最佳方案,我们只想 axios 加载一次就够了。
async flag
要解决上面的问题,我们需要用到 CommonsChunkPlugin 的 async 。( File Changes )
// webpack.config.js
new webpack.optimize.CommonsChunkPlugin({
async: 'common-in-lazy',
minChunks: ({ resource } = {}) => (
resource &&
resource.includes('node_modules') &&
/axios/.test(resource)
),
}),
Webpack 大佬,帮我在所有的 async chunk 中,找到来自 node_modules ,并且名字带有 axios 的模块。
- 所有的 async chunk ,就是 import() 产生的 chunk ,也就是 Emoji.chunk.js 和 Photos.chunk.js
- Emoji.chunk.js 和 Photos.chunk.js 都包含了 axios ,所以把他移动到名叫 common-in-lazy 的 chunk 中
- common-in-lazy chunk 并不存在,那就新建一个吧。
是时候看一下我们的打包了:
<img src="https://pic3.zhimg.com/v2-995ed2d93926e62044e54dbb38320cf6_b.png" data-rawwidth="1494" data-rawheight="1394" class="origin_image zh-lightbox-thumb" width="1494" data-original="https://pic3.zhimg.com/v2-995ed2d93926e62044e54dbb38320cf6_r.png">
完美~ common-lazy-chunk 包含了原本在 Emoji.chunk.js 和 Photos.chunk.js 中的 axios 。
如果足够细心,你会发现:Emoji.chunk.js 和 Photos.chunk.js 都包含了我们自定义的一个组件 MagicBtn 。同理地我们可以用上面的方法把他提取出来,但是如果还有 MagicBtn2 ,MagicBtn3 等等的话,那我们就要写成 /MagicBtn1|MagicBtn2|.../.test(resource) ,很显然没人喜欢这样做。
所以呢,另一个方法是利用 count :( File Changes )
new webpack.optimize.CommonsChunkPlugin({
async: 'used-twice',
minChunks: (module, count) => (
count >= 2
),
})
在所有的 async chunk ( Emoji.chunk.js 和 Photos.chunk.js ) 中找到引用 2 次以上的模块,也就是 MagicBtn 咯,那把他挪到 used-twice chunk 中,如果 used-twice 不存在的话,那就创建一个。
最后,我们的打包:
<img src="https://pic3.zhimg.com/v2-8223cc7dd6ec555582036ebd1771ec62_b.png" data-rawwidth="1322" data-rawheight="730" class="origin_image zh-lightbox-thumb" width="1322" data-original="https://pic3.zhimg.com/v2-8223cc7dd6ec555582036ebd1771ec62_r.png">
原本 Emoji.chunk.js 和 Photos.chunk.js 中的 MagicBtn 都移动到了 used-twice.chunk.js 中。
大功已告成!查看所有代码吧。
Summary
冷静总结一下:
你的 Code Splitting = webpack bundle analyzer + CommonsChunkPlugin + 你的分析
别忘了,我们做 Code Splitting 的目的是为了利用浏览器的缓存,那怎样才能充分利用浏览器的缓存呢?让我们拭目以待。
今天大家学会了 webpack 的 Code Splitting 了吗?
爱你们 😗