年前就承诺自己将所了解的数据结构动手实现一遍,但由于时间原因一直拖到了今天才踏出这一步。至于为什么要自己动手去实现基本数据结构,因为我一直很认同
尼古拉斯·沃斯提出的观点程序 = 数据结构 + 算法。如今编程语言越来越多每种语言都有自己的特点,但是我始终认为语言只是表达自己方法的工具而已,而决定你能在这条路上还能走多远的是
数据结构,算法,计算机组成原理,计算网络等这些基础理论。
名词解释
线性表定义:
- 是数据结构中最常用且最简单的一种数据结构。简而言之,就是一个线性表是
n个数据元素的有限序列。至于每个数据元素的具体含义,在不同情况下各不相同。
线性顺序表定义
- 用一组地址连续的存储单元依次存储线性表的数据元素
基本操作
Status InitList(SqList *list);Status InsertElemIntoList(SqList *list, ElemType elem, int index);Status DeleteElemFromList(SqList *list, int index);Status ModifyElem(SqList *list, int index, ElemType newElem)ElemType GetElemfromList(SqList list, int index);int IsLocalElem(SqList list, ElemType elem);int GetElemIndex(SqList list, ElemType elem);int GetElemIndexFromList(SqList list, ElemType elem);Status ClearList(SqList *list);Status DestroyList(SqList *list);Status TraverseList(SqList list);
在对基本操作的组合就能完成,一些相对比较复杂的操作,比如:两个顺序表的合并等操作。
线性表的顺序表示和实现
线性表的动态分配顺序表存储结构
#define kListInitSize 100 //线性表存储空间的初始化分配量
#define kListIncrement 10 //线性表存储空间的分配增量
typedef int ElemType;
typedef struct {
ElemType *elem; //存储空间基地址
int length; //当前长度
int listSize; //当前分配存储容量,以sizeof(ElemType)为单位
}SqList;
线性表初始化
Status InitList(SqList *list) {
list->elem = (ElemType *)malloc(kListInitSize * sizeof(ElemType));
if (!list->elem) {
return OVERFLOW;
}
list->length = 0;
list->listSize = 0;
return OK;
}
线性表插入元素
Status InsertElemIntoList(SqList *list, ElemType elem, int index) {
if (index < 1 || index > list->length+1) {
return ERROR;
}
if (list->length >= list->listSize) {
ElemType *newBase = (ElemType *)realloc(list->elem, (list->listSize+kListIncrement)*sizeof(ElemType));
if (!list->elem) {
return OVERFLOW;
}
list->elem = newBase;
list->listSize += kListIncrement;
}
ElemType *insertP = &list->elem[index-1];
for (ElemType *moveP = &(list->elem[list->length-1]); moveP >= insertP; moveP--) {
*(moveP+1) = *moveP;
}
*insertP = elem;
list->length ++;
return OK;
}
当我们一旦因插入元素而空间不足时,就为顺序表在增加一个大小为kListIncrement个数据元素的空间
更具下标删除元素
Status DeleteElemFromList(SqList *list, int index) {
if (index < 1 || index > list->length) {
return ERROR;
}
for (int i = index; i < list->length; i++) {
list->elem[i-1] = list->elem[i];
}
list->length --;
return OK;
}
修改元素
Status ModifyElem(SqList *list, int index, ElemType newElem) {
if (index < 1 || index > list->length) {
return ERROR;
} else {
list->elem[index-1] = newElem;
return OK;
}
}
更具下标获取元素
ElemType GetElemfromList(SqList list, int index) {
if (index < 1 || index > list.length) {
exit(OVERFLOW);
}
return list.elem[index-1];
}
判断是否为线性表中的元素
int IsLocalElem(SqList list, ElemType elem) {
for (int i = 0; i < list.length; i++) {
if (list.elem[i] == elem) {
return 1;
}
}
return 0;
}
获取元素在线性表中的位置
int GetElemIndex(SqList list, ElemType elem) {
for (int i = 0; i < list.length; i++) {
if (list.elem[i] == elem) {
return i+1;
}
}
return 0;
}
清空线性表
Status ClearList(SqList *list) {
for (int i = 0; i < list->length; i++) {
list->elem[i] = 0;
}
list->length = 0;
return OK;
}
销毁线性表
Status DestroyList(SqList *list) {
free(list->elem);
list->length = 0;
list->listSize = 0;
list->elem = NULL;
return OK;
}
遍历线性表
Status TraverseList(SqList list) {
for (int i = 0; i < list.length; i++) {
printf("The %dth elem is %d \n", i+1, list.elem[i]);
}
return OK;
}
线性表的特点
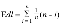
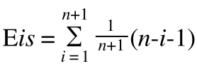
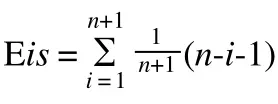
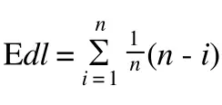
根据上面的基本操作,我们不难发现,线性表在进行删除元素和插入元素操作时,都需要移动删除和插入元素之后的元素。换句话说,移动元素的操作为预估算法时间复杂度的基本操作,而移动元素的个数取决于插入或删除的位置。因此从平均时间复杂度来看(假设插入每个位置都是等概率)


因此在顺序存储结构表的线性表中插入和删除一个元素,平均移动一般的元素,如果表长为n这插入和删除的时间复杂度为O(n),可以看出顺序存储结构的线性表并不适合做插入和删除
上面基本操作算法中,我们也可以发现,根据下标查找元素和修改元素值等操作的时间复杂度时O(1)
举例
顺序表的合并
在这里我们只讨论listA,listB都是非递减排序,如果没有排序先排序在合并,具体排序算法请参考之前写的一篇排序算法的博客www.jianshu.com/p/7b4be4483…。
Status MergeSqList(SqList listA, SqList listB, SqList *newSqList) {
int currentIndexA = 0;
int currentIndexB = 0;
while (newSqList->length <= listA.length && newSqList->length <= listB.length) {
if (listA.elem[currentIndexA] > listB.elem[currentIndexB]) {
InsertElemIntoList(newSqList, listB.elem[currentIndexB], newSqList->length+1);
currentIndexB++;
} else {
InsertElemIntoList(newSqList, listA.elem[currentIndexA], newSqList->length+1);
currentIndexA++;
}
}
while (listA.length > currentIndexA+1) {
InsertElemIntoList(newSqList, listA.elem[currentIndexA], newSqList->length+1);
currentIndexA++;
}
while (listB.length > currentIndexB+1) {
InsertElemIntoList(newSqList, listB.elem[currentIndexB], newSqList->length+1);
currentIndexB++;
}
return OK;
}
显然在上述算法中基本操作为元素赋值,虽然每次赋值我们都屌用了InsertElemIntoList(SqList *list, ElemType elem, int index)函数,但是有一个特点,我们每次插入都是在表尾进行插入,即不需要西东任何元素。可见两个已经排好序的顺序表合并操作的时间复杂度为O(listA.length + listB.length)
欢迎讨论
Email huliuworld@yahoo.com
Github github.com/LHCoder2016…