机器学习之神经网络

1,446 阅读4分钟

(这里不支持letex,排版很差)

多层神经网络

前面说到的感知器是一种最基础的神经网络,他只有输入层和输出层,感知器只能处理线性可分问题,而对于非线性问题就需要多层神经网络。一般如下图所示,有多个层,比如左边的包含输入层、隐层和输出层,而右边的则包含了两个隐层。每层的神经元与下一神经元全互连,同层之间的神经元不会相连,输入层用于接收输入,经过隐层加工后再到输出层加工并输出。

如何训练多层网络

对于多层网络我们常用误差逆传播算法来训练,而我们最常见的BP神经网络指的是使用误差逆传播来训练的多层前馈神经网络。除此之外其他类型的神经网络也可能会用误差逆传播算法来训练。

总的来说,误差逆传播是使用梯度下降法,通过反向传播不断调整神经网络中各个权重从而使输出层的误差平方和最小。

BP神经网络

BP神经网络好的地方就是我们完全不必事先考虑怎么用数学方程来描述输入和输出之间的关系,转而考虑的是设计一个N层神经网络,而要多少层、每层要多少个节点就可以我们根据经验来设计,可通过不同的网络模型来看哪个模型能更好地拟合。

BP神经网络其实很直观很好理解,整个过程如下。

下面是一个三层(不算输入层)神经网络,两个输入经过几层网络后得到一个输出。




这么一来就得到第一层隐层的所有信号输出,接下去往下一层传播,这时对于第二层隐层来说,第一层隐层的所有节点的输出就是它的输入,这时输入节点变为3个,分别为

,对应权重为
,则



于是又得到第二层隐层的两个输出,继续往下一层(输出层)传播,对于输出层,第二层隐层的两个节点的输出即为它的输入,此时输入节点为2个,分别为

,假设权重分别为
,则

误差逆传播

往下看看误差逆传播是怎么一回事。通过上面的过程我们获取到了一个最终的输出,而这个输出与目标值可能存在误差,表示为

。则对于样本的目标函数为

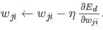
使用梯度下降法更新每一个权重,即

。解决了上面的式子就可以完成迭代优化了。
如下图,对于每个节点输入
有,


根据链式求导法则有,

于是只要求得
即知道梯度权重更新。

对于输出层,其中

,则有

,则


有了上面的更新公式后就可以对输出层进行迭代更新了。

对于隐层,设节点j的所有输出为A,则下一层网络有多少个节点,则它的集合大小为多少,比如上图中,对于节点1,它的输出集合A大小为2,分别输出到节点4和节点5。隐层节点的输入

通过影响所有输出A再往下影响
,再设
为下一层的输入,则
的函数,且
的函数。对于节点输入
,由于其输出A包含多个元素,有多个影响分量,所以,

正则化

为了抑制过拟合,对于整个训练样本集目标函数进行正则化。

全局最小

神经网络的训练可能陷入局部最小中,有时需要一些策略跳出局部最小,以便有一定几率得到全局最小。

  1. 模拟退火
  2. 随机梯度下降
  3. 多个不同的初始点

实现3-5-1网络

import numpy as np
def nonlin(x,deriv=False):
    if(deriv==True):
        return x*(1-x)
    return 1/(1+np.exp(-x))
X = np.array([[0,0,1],
            [0,1,1],
            [1,0,1],
            [1,1,1]])
y = np.array([[0],
            [1],
            [1],
            [0]])
np.random.seed(1)
syn0 = 2*np.random.random((3,5)) - 1
syn1 = 2*np.random.random((5,1)) - 1
for j in range(60000):
    l0 = X
    l1 = nonlin(np.dot(l0,syn0))
    l2 = nonlin(np.dot(l1,syn1))
    l2_error = y - l2
    if (j% 10000) == 0:
        print("Error:" + str(np.mean(np.abs(l2_error))))
    l2_delta = l2_error*nonlin(l2,deriv=True)
    l1_error = l2_delta.dot(syn1.T)
    l1_delta = l1_error * nonlin(l1,deriv=True)
    g = 0.01
    syn1 += g * l1.T.dot(l2_delta)
    syn0 += g * l0.T.dot(l1_delta)
print(l2)

====广告时间,可直接跳过====

鄙人的新书《Tomcat内核设计剖析》已经在京东预售了,有需要的朋友可以到 item.jd.com/12185360.ht… 进行预定。感谢各位朋友。

=========================

欢迎关注: