前言
接上一篇关系数据库SQL之基本数据查询:子查询、分组查询、模糊查询,主要是关系型数据库基本数据查询。包括子查询、分组查询、聚合函数查询、模糊查询,本文是介绍一下关系型数据库几种高级数据查询SQL语法,包括虚拟表、去重复查询、组合查询、连接查询。

关系数据库SQL之高级数据查询
去重复(DISTINCT)
DISTINCT:用于返回唯一不同的值,主要是用于某一字段。
-
语法
SELECT DISTINCT <列名>|* FROM <表名> -
示例
--查询所有班级名称 SELECT DISTINCT Class FROM Students

字段去重复-DISTINCT
组合查询
SQL组合查询可以使用以下关键字进行操作:
- UNION(并集):比较两个查询的结果,返回两个集合所有非重复行。
- INTERSECT(交集):比较两个查询的结果,返回由左右双侧输入查询输出的非重复行。
- EXCEPT(差集):比较两个查询的结果,返回左侧查询集合中不包含左右集合交集部分的非重复行。
- 注意:
使用 EXCEPT 或 INTERSECT 的两个查询的结果集组合起来的基本规则:
所有查询中的列数和列的顺序必须相同;数据类型必须兼容。
语法
[SQL查询表达式1]
UNION | INTERSECT | EXCEPT
[SQL查询表达式2];
基础数据
--创建数据表T1
CREATE TABLE T1(
A int NULL,
B int NULL,
C int NULL
);
--创建数据表T2
CREATE TABLE T2(
A int NULL,
B int NULL,
C int NULL
);
--插入基础数据
INSERT INTO T1 VALUES(1,2,3);
INSERT INTO T1 VALUES(2,3,4);
INSERT INTO T1 VALUES(3,4,5);
INSERT INTO T1 VALUES(4,5,6);
INSERT INTO T1 VALUES(5,6,7);
INSERT INTO T2 VALUES(3,4,5);
INSERT INTO T2 VALUES(5,6,7);
INSERT INTO T2 VALUES(6,7,8);
INSERT INTO T2 VALUES(7,8,9);
UNION(并集)
- 示例1(去重复)
--查询T1和T2的所有数据,去重复 SELECT * FROM T1 UNION SELECT * FROM T2;

组合查询-UNION(并集)-去重复
- 示例2(不去重复)
--查询T1和T2的所有数据,不去重复,在UNION关键字后面加上ALL SELECT * FROM T1 UNION ALL SELECT * FROM T2;
组合查询-UNION(并集)-不去重复
INTERSECT(交集)
--查询T1和T2的交集
SELECT * FROM T1 INTERSECT SELECT * FROM T2;

组合查询-INTERSECT(交集)
EXCEPT(差集)
--查询T1和T2的差集
SELECT * FROM T1 EXCEPT SELECT * FROM T2;

组合查询-EXCEPT(差集)
连接查询
常用的连接查询有如下几种:
内连接(INNER JOIN):返回连接的对象都满足条件的行。
左连接(LEFT JOIN):返回左边数据所有数据,即使右边没有数据
(没有对应数据显示为NULL)。
右连接(RIGHT JOIN):返回右边数据所有数据,即使左边没有数据
(没有对应数据显示为NULL)。
全连接(FULL JOIN):返回左右交叉数据。
提示:INNER JOIN 与 JOIN 是相同的。
语法
SELECT 字段列表 FROM <数据表|视图> INNER JOIN <数据表|视图> ON 条件表达式;
数据
在上一篇关系数据库SQL之基本数据查询:子查询、分组查询、模糊查询基础数据基础上,再增加一些数据。
INSERT INTO Students (Id,Name,Class,Gender,Age,Phone,[Address])
VALUES(2016010,'小夏','一班','男',19,'18817716689','沈阳');
INSERT INTO Students (Id,Name,Class,Gender,Age,Phone,[Address])
VALUES(2016011,'倪妮','二班','女',20,'18817716698','北京');
INSERT INTO Scores(SId,CId,Grades,IsPassed) VALUES(2016012,1,90,1);
INSERT INTO Scores(SId,CId,Grades,IsPassed) VALUES(2016012,2,86,1);
INSERT INTO Scores(SId,CId,Grades,IsPassed) VALUES(2016012,3,79,1);
内连接(INNER JOIN)
--查询成绩表并显示课程名称
SELECT S.Id,S.SId,C.Name,S.Grades,S.IsPassed
FROM Scores S INNER JOIN Courses C ON S.CId=C.Id;

连接查询-内连接(INNER JOIN)
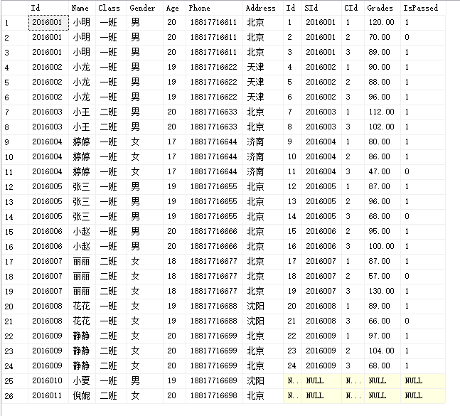
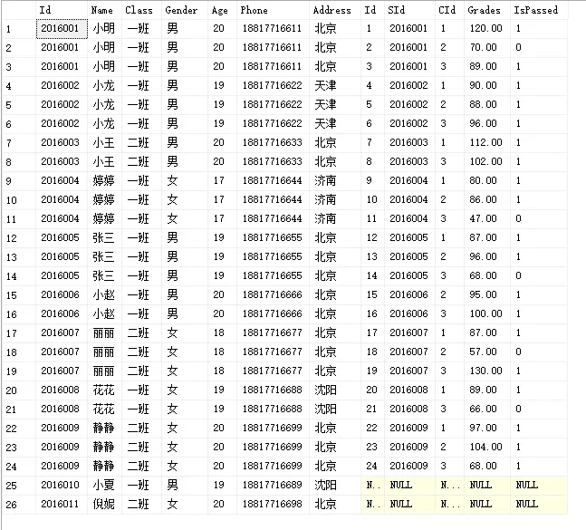
左连接(LEFT JOIN)
--查询学生信息成绩表
SELECT * FROM Students ST LEFT JOIN Scores S ON ST.Id=S.SId;

连接查询-左连接(LEFT JOIN)
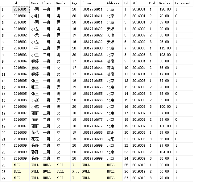
右连接(RIGHT JOIN)
--查询学生信息成绩表
SELECT * FROM Students ST RIGHT JOIN Scores S ON ST.Id=S.SId;

连接查询-右连接(RIGHT JOIN)
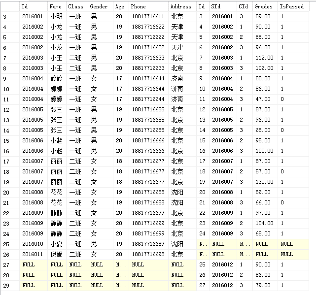
全连接(FULL JOIN)
--查询学生信息成绩表
SELECT * FROM Students ST FULL JOIN Scores S ON ST.Id=S.SId;

连接查询-全连接(FULL JOIN)
虚拟表
SQL
虚拟表是通过SELECT查询语句返回的一个结果集。
当虚拟表构建出来后,可以直接当作实际数据表一样查询操作,在实际使用中会经常使用到。
-
语法
SELECT 字段列表1 FROM (SELECT 字段列表2 FROM <表名> [WHERE子句]) <虚拟表名称> [WHERE子句] -
示例
SELECT * FROM ( SELECT S.Id,S.Name CName,S.Grades,S.IsPassed,S.SId,ST.Name,ST.Class FROM Students ST LEFT JOIN (SELECT Scores.*,C.Name FROM Scores LEFT JOIN Courses C ON Scores.CId=C.Id) S ON ST.Id=S.SId ) T示例中的
SELECT Scores.*,C.Name FROMScores LEFT JOIN Courses C ON Scores.CId=C.Id中 C 和最后面 T 就是虚拟表名称。

虚拟表查询
本文到这里先告一段落,后面会接着更新。
欢迎大家多多指正不足之处。
本文采用知识共享署名-相同方式共享 4.0 国际许可协议进行许可。
基于简书上的作品创作。 可转载、引用,但需经本人同意后署名作者且注明文章出处,并以相同方式共享。
知识共享许可协议
