
在以前的一个项目中,需要实现类似QQ讨论组头像的控件,只是头像数量和布局有一小点不一样:一是最头像数是4个,二是头像数是2个时的布局是横着排的。其实当时GitHub上就有类似的开源控件,只是那个控件在每一次绘制View的时候都会新创建一些Bitmap对象,这肯定是不可取的,而且那个控件头像输入的是Bitmap对象,不满足需求。所以只能自己实现一个了。实现的时候也没有过多的考虑,传入头像Drawable对象,根据数量排列显示就算完成了,而且传入的图像还必需是圆形的,限制很大,根本不具备通用性。因此要实现和QQ讨论组头像一样的又具备一定通用性的控件,还得重新设计、实现。下面就让我们开始实现吧。
布局
首先需要解决的是头像的布局,在头像数量分别为1至5的情况下,定义头像的布局排列方式,并计算出图像的大小和位置。先把布局图画出来再说:

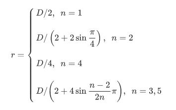
其中黑色正方形就是View的显示区,蓝色圆形就是头像了。已知的条件是View大小,姑且设为 D 吧,还有头像的数量 n ,求蓝色圆的半径 r 及圆心位置。这不就是一道几何题吗?翻开初中的数学课本——勾三股四弦五……好像不够用啊……
辅助线画了又画,头皮挠了又挠,α,θ,OMG......sin,cos,sh*t......终于算出了r与D和n的关系:

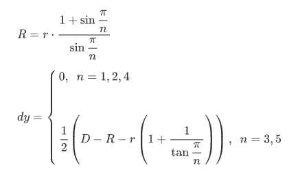
其实 n=3 的时候半径和 n=4 的时候是一样的,但是考虑到 n=3,5 时在Y轴上还有一个偏移量 dy ,而且 r 和 dy 在 n=3,5 时是有通式的,所以就合在一起了。求偏移量 dy 的公式:

式中 R 就是布局图中红色大圆的半径。
有了公式,那么代码就好写了,计算每个头像的大小和位置的代码如下:
// 头像信息类,记录大小、位置等信息
private static class DrawableInfo {
int mId = View.NO_ID;
Drawable mDrawable;
// 中心点位置
float mCenterX;
float mCenterY;
// 头像上缺口弧所在圆上的圆心位置,其实就是下一个相邻头像的中心点
float mGapCenterX;
float mGapCenterY;
boolean mHasGap;
// 头像边界
final RectF mBounds = new RectF();
// 圆形蒙板路径,把头像弄成圆形
final Path mMaskPath = new Path();
} private void layoutDrawables() {
mSteinerCircleRadius = 0;
mOffsetY = 0;
int width = getWidth() - getPaddingLeft() - getPaddingRight();
int height = getHeight() - getPaddingTop() - getPaddingBottom();
mContentSize = Math.min(width, height);
final List<DrawableInfo> drawables = mDrawables;
final int N = drawables.size();
float center = mContentSize * .5f;
if (mContentSize > 0 && N > 0) {
// 图像圆的半径。
final float r;
if (N == 1) {
r = mContentSize * .5f;
} else if (N == 2) {
r = (float) (mContentSize / (2 + 2 * Math.sin(Math.PI / 4)));
} else if (N == 4) {
r = mContentSize / 4.f;
} else {
r = (float) (mContentSize / (2 * (2 * Math.sin(((N - 2) * Math.PI) / (2 * N)) + 1)));
final double sinN = Math.sin(Math.PI / N);
// 以所有图像圆为内切圆的圆的半径
final float R = (float) (r * ((sinN + 1) / sinN));
mOffsetY = (float) ((mContentSize - R - r * (1 + 1 / Math.tan(Math.PI / N))) / 2f);
}
// 初始化第一个头像的中心位置
final float startX, startY;
if (N % 2 == 0) {
startX = startY = r;
} else {
startX = center;
startY = r;
}
// 变换矩阵
final Matrix matrix = mLayoutMatrix;
// 坐标点临时数组
final float[] pointsTemp = this.mPointsTemp;
matrix.reset();
for (int i = 0; i < drawables.size(); i++) {
DrawableInfo drawable = drawables.get(i);
drawable.reset();
drawable.mHasGap = i > 0;
// 缺口弧的中心
if (drawable.mHasGap) {
drawable.mGapCenterX = pointsTemp[0];
drawable.mGapCenterY = pointsTemp[1];
}
pointsTemp[0] = startX;
pointsTemp[1] = startY;
if (i > 0) {
// 以上一个圆的圆心旋转计算得出当前圆的圆位置
matrix.postRotate(360.f / N, center, center + mOffsetY);
matrix.mapPoints(pointsTemp);
}
// 取出中心点位置
drawable.mCenterX = pointsTemp[0];
drawable.mCenterY = pointsTemp[1];
// 设置边界
drawable.mBounds.inset(-r, -r);
drawable.mBounds.offset(drawable.mCenterX, drawable.mCenterY);
// 设置“蒙板”路径
drawable.mMaskPath.addCircle(drawable.mCenterX, drawable.mCenterY, r, Path.Direction.CW);
drawable.mMaskPath.setFillType(Path.FillType.INVERSE_WINDING);
}
// 设置第一个头像的缺口,头像数量少于3个的时候没有
if (N > 2) {
DrawableInfo first = drawables.get(0);
DrawableInfo last = drawables.get(N - 1);
first.mHasGap = true;
first.mGapCenterX = last.mCenterX;
first.mGapCenterY = last.mCenterY;
}
mSteinerCircleRadius = r;
}
invalidate();
}
绘制
计算好每个头像的大小和位置后,就可以把它们绘制出来了。但在此之前,还得先解决一个问题——如何使头像图像变圆?因为输入Drawable对象并没有任何限制。在上面的layoutDrawables方法中有这样两行代码:
drawable.mMaskPath.addCircle(drawable.mCenterX, drawable.mCenterY, r, Path.Direction.CW);
drawable.mMaskPath.setFillType(Path.FillType.INVERSE_WINDING);
其中第一行是添加一个圆形路径,这个路径就是布局图中蓝色圆的路径,而第二行是设置路径的填充模式,默认的填充模式是填充路径内部,而INVERSE_WINDING模式是填充路径外部,再配合Paint.setXfermode(new PorterDuffXfermode(PorterDuff.Mode.CLEAR))就可以绘制出圆形的图像了。头像上的缺口同理。(ps:关于Path.FillType和PorterDuff.Mode网上介绍挺多的,这里就不详细介绍了)
下面来看一下onDraw方法:
@Override
protected void onDraw(Canvas canvas) {
super.onDraw(canvas);
...
canvas.translate(0, mOffsetY);
final Paint paint = mPaint;
final float gapRadius = mSteinerCircleRadius * (mGap + 1f);
for (int i = 0; i < drawables.size(); i++) {
DrawableInfo drawable = drawables.get(i);
RectF bounds = drawable.mBounds;
final int savedLayer = canvas.saveLayer(0, 0, mContentSize, mContentSize, null, Canvas.ALL_SAVE_FLAG);
// 设置Drawable的边界
drawable.mDrawable.setBounds((int) bounds.left, (int) bounds.top,
Math.round(bounds.right), Math.round(bounds.bottom));
// 绘制Drawable
drawable.mDrawable.draw(canvas);
// 绘制“蒙板”路径,将Drawable绘制的图像“剪”成圆形
canvas.drawPath(drawable.mMaskPath, paint);
// “剪”出弧形的缺口
if (drawable.mHasGap && mGap > 0f) {
canvas.drawCircle(drawable.mGapCenterX, drawable.mGapCenterY, gapRadius, paint);
}
canvas.restoreToCount(savedLayer);
}
}
Drawable支持
既然输入的是Drawable对象,那就不能像Bitmap那样绘制出来就完事了的,除非你不打算支持Drawable的一些功能,如自更新、动画、状态等。
-
Drawable自更新和动画Drawable
Drawable的自更新和动画Drawable(如AnimationDrawable,AnimatedVectorDrawable等)都是依赖于Drawable.Callback接口。其定义如下:public interface Callback { /** * 当drawable需要重新绘制时调用。此时的view应该使其自身失效(至少drawable展示部分失效) * @param who 要求重新绘制的drawable */ void invalidateDrawable(@NonNull Drawable who); /** * drawable可以通过调用该方法来安排动画的下一帧。 * @param who 要预定的drawable * @param what 要执行的动作 * @param when 执行的时间(以毫秒为单位),基于android.os.SystemClock.uptimeMillis() */ void scheduleDrawable(@NonNull Drawable who, @NonNull Runnable what, long when); /** * drawable可以通过调用该方法来取消先前通过scheduleDrawable(Drawable, Runnable, long)调度的动作。 * @param who 要取消预定的drawable * @param what 要取消执行的动作 */ void unscheduleDrawable(@NonNull Drawable who, @NonNull Runnable what); }所以要支持Drawable自更新和动画Drawable,得通过 Drawable.setCallback(Drawable.Callback)方法设置 Drawable.Callback接口的实现对象才行。好在android.view.View已经实现了这个接口,在设置Drawable的时候调用一下
Drawable.setCallback(MyView.this)即可。但需要注意的是,android.view.View实现Drawable.Callback接口的时候都调用了View.verifyDrawable(Drawable)以验证需要显示更新的Drawable是不是自己的Drawable,且其实现只是验证了View自己的背景和前景:protected boolean verifyDrawable(@NonNull Drawable who) { // ... return who == mBackground || (mForegroundInfo != null && mForegroundInfo.mDrawable == who); }所以只是设置了Callback的话,当Drawable内容改变需要重新绘制时View还是不会更新重绘的,动画需要计划下一帧或者取消一个计划时也不会成功。因此我们也得验证自己的Drawable:
private boolean hasSameDrawable(Drawable drawable) { for (DrawableInfo d : mDrawables) { if (d.mDrawable == drawable) { return true; } } return false; } @Override protected boolean verifyDrawable(@NonNull Drawable drawable) { return hasSameDrawable(drawable) || super.verifyDrawable(drawable); }此时,Drawable自更新的支持和动画Drawable的支持基本上是完成了。当然,View不可见和
onDetachedFromWindow()时应该是要暂停或者停止动画的,这些在这里就不多说了,可以去看源码(在文章结尾处有链接),主要是调用Drawable.setVisible(boolean, boolean)方法。下面展示一下效果:
AnimationDrawable -
状态
一些Drawable是有状态的,它能根据View的状态(按下,选中,激活等)改变其显示内容,如StateListDrawable。要支持View状态的话,其实只要扩展 View.drawableStateChanged() 和 View.jumpDrawablesToCurrentState() 方法,当View的状态改变的时候更新Drawable的状态就行了:// 状态改变时被调用 @Override protected void drawableStateChanged() { super.drawableStateChanged(); boolean invalidate = false; for (DrawableInfo drawable : mDrawables) { Drawable d = drawable.mDrawable; // 判断Drawable是否支持状态并更新状态 if (d.isStateful() && d.setState(getDrawableState())) { invalidate = true; } } if (invalidate) { invalidate(); } } // 这个方法主要针对状态改变时有过渡动画的Drawable @Override public void jumpDrawablesToCurrentState() { super.jumpDrawablesToCurrentState(); for (DrawableInfo drawable : mDrawables) { drawable.mDrawable.jumpToCurrentState(); } }效果:

状态
好了,到这里控件算是完成了。
其他效果展示:


源代码:github.com/YiiGuxing/C…
我的GitHub:github.com/YiiGuxing
欢迎Star,谢谢!