作者 | 张耀琦
编辑 | 顾乡
张耀琦,现腾讯即通应用部iOS工程师一枚;数学出身,CSDN博客专家(YoferZhang的专栏);目前爱好钻研机器学习。
讨论 error 的两个来源:偏差和方差。估测偏差和方差。对比说明偏差和方差对真正 error 的影响。不同的 error 原因有不同的处理方式。
先看这里,可能由于你正在查看这个平台行间公式不支持很多的渲染,所以最好在我的 CSDN 上查看,传送门:(无奈脸)
CSDN 博客文章地址:blog.csdn.net/zyq52237682…
回顾
第二篇中神奇宝贝的例子:

可以看出越复杂的model 再测试集上的性能并不是越好
这篇要讨论的就是 error 来自什么地方?
error 主要的来源有两个,bias(偏差) 和 variance(方差)
估测

假设上图为神奇宝贝cp值的真正方程,当然这只有 Niantic(制作《Pokemon Go》的游戏公司)知道。从训练集中可以找到真实方程$\hat{f}$ 的近似方程 $f^{*}$。
估测bias 和 variance
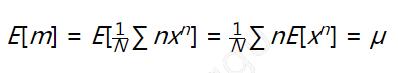
估测变量 $x$ 的平均值
假设$x$的平均值为 $\mu$,方差为 $\sigma^{2}$
估测平均值怎么做呢?首先拿到N个样品点:${x^{1}, x^{2}, \ldots, x^{N}}$
- 计算平均值得到$m$, $m = \frac{1}{N} \sum_{n} x^{n} \neq \mu$

但是如果计算很多组的 m ,然后求 m 的期望

这个估计呢是无偏估计(unbiased)。
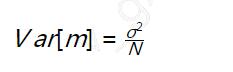
然后m分布对于 $\mu$ 的离散程度(方差):

这主要取决于N,下图可看出N越小越离散

估测变量 $x$ 的方差
首先用刚才的方法估测 m,

然后再做下面计算:

就可以用$s^{2}$来估测 $\sigma^{2}$

这个估计是有偏估计(biased),
求 $s^{2}$的期望值:

用靶心来说明一下 bias 和 variance 的影响

靶心为真正的方程 $\hat{f}$ ,深蓝色点为$f^{}$ ,是实验求得的方程。求$f^{}$的期望值$\bar{f} = E[f^{*}]$,即图中浅蓝色的点。
$\bar{f}$ 和 $\hat{f}$之间的距离就是误差 bias,而$\bar{f}$ 和 $f^{*}$ 之间的距离就是误差 variance。4幅图的对比观察两个误差的影响。
bias就是射击时瞄准的误差,本来应该是瞄准靶心,但bias就造成瞄准准心的误差;而variance就是虽然瞄准在 $\bar{f}$,但是射不准,总是射在 $\bar{f}$ 的周围。
为什么会有很多的 $f^{*}$?
讨论系列02中的案例:这里假设是在平行宇宙中,抓了不同的神奇宝贝

用同一个model,在不同的训练集中找到的 $f^{*}$就是不一样的

这就像在靶心上射击,进行了很多组(一组多次)。现在需要知道它的散布是怎样的,将100个宇宙中的model画出来

不同的数据集之前什么都有可能发生—||
考虑不同model的variance

一次 model 的 variance 就比较小的,也就是是比较集中,离散程度较小。而5次 model 的 variance 就比较大,同理散布比较广,离散程度较大。
所以用比较简单的 model,variance 是比较小的(就像射击的时候每次的时候,每次射击的设置都集中在一个比较小的区域内)。如果用了复杂的 model,variance 就很大,散布比较开。
这也是因为简单的model受到不同训练集的影响是比较小的。
考虑不同 model 的 bias

这里没办法知道真正的 $\hat{f}$,所以假设图中的那条黑色曲线为真正的 $\hat{f}$

结果可视化,一次平均的 $\bar{f}$没有5次的好,虽然5次的整体结果离散程度很高。

一次 model 的 bias 比较大,而复杂的5次 model,bias 就比较小。
直观的解释:简单的 model 函数集的 space 比较小,所以可能 space 里面就没有包含靶心,肯定射不中。而复杂的 model 函数集的 space 比较大,可能就包含的靶心,只是没有办法找到确切的靶心在哪,但足够多的,就可能得到真正的 $\bar{f}$。
bias v.s. variance

将系列02中的误差拆分为 bias 何 variance。简单 model(左边)是 bias 比较大造成的 error,这种情况叫做 Underfitting(欠拟合),而复杂 model(右边)是 variance 过大造成的 error,这种情况叫做Overfitting(过拟合)。
怎么判断?
分析

- 如果model没有很好的fit训练集,就是bias过大,也就是Underfitting
- 如果model很好的fit训练集,即再训练集上得到很小的error,但在测试集上得到大的error,这意味着model可能是variance比较大,就是Overfitting。
对于Underfitting和Overfitting,是用不同的方式来处理的
bias大,Underfitting
此时应该重新设计 model 。因为之前的函数集里面可能根本没有包含$\hat{f}$。可以:
将更多的 feature 加进去,比如考虑高度重量,或者 HP 值等等。
或者考虑更多次幂、更复杂的 model。
如果此时强行再收集更多的 data 去训练,这是没有什么帮助的,因为设计的函数集本身就不好,再找更多的训练集也不会更好。
variance大,Overfitting
简单粗暴的方法:More data

但是很多时候不一定能做到收集更多的data。可以针对对问题的理解对数据集做调整(Regularization)。比如识别手写数字的时候,偏转角度的数据集不够,那就将正常的数据集左转15度,右转15度,类似这样的处理。
选择model
- 现在在bias和variance之间就需要一个权衡
- 想选择的model,可以平衡bias和variance产生的error,使得总error最小
- 但是下面这件事最好不要做:

用训练集训练不同的model,然后在测试集上比较error,model3的error比较小,就认为model3好。但实际上这只是你手上的测试集,真正完整的测试集并没有。比如在已有的测试集上error是0.5,但有条件收集到更多的测试集后通常得到的error都是大于0.5的。
Cross Validation(交叉验证)

图中public的测试集是已有的,private是没有的,不知道的。Cross Validation 就是将训练集再分为两部分,一部分作为训练集,一部分作为验证集。用训练集训练model,然后再验证集上比较,确实出最好的model之后(比如model3),再用全部的训练集训练model3,然后再用public的测试集进行测试,此时一般得到的error都是大一些的。不过此时会比较想再回去调一下参数,调整model,让在public的测试集上更好,但不太推荐这样。(心里难受啊,大学数模的时候就回去调,来回痛苦折腾)
上述方法可能会担心将训练集拆分的时候分的效果比较差怎么办,可以用下面的方法。
N-fold Cross Validation(N-折交叉验证)
将训练集分成N份,比如分成3份。

比如在三份中训练结果Average Error是model1最好,再用全部训练集训练model1。(貌似数模也干过,当年都是莫名其妙的分,想想当年数模的时候都根本来不及看是为什么,就是一股脑上去做00oo00)

