TensorFlow训练Logistic回归

1,934 阅读2分钟

Logistic回归

        在用线性模型进行回归训练时,有时需要根据这个线性模型进行分类,则要找到一个单调可微的用于分类的函数将线性回归模型的预测值关联起来。这时就要用到逻辑回归,之前看吴军博士的《数学之美》中说腾讯和谷歌广告都有使用logistics回归算法

        如下图,可以清晰看到线性回归和逻辑回归的关系,一个线性方程被逻辑方程归一化后就成了逻辑回归。.


Logistic模型

对于二分类,输出假如线性回归模型为,则要将z转成y,即y=g(z)。于是最直接的方式是用单位阶跃函数来表示,即


如图,

但阶跃函数不连续,于是用sigmoid函数替代之,为


如图,

则有,


即logistics函数,可化为,


此即为对数几率回归模型,其中y看成是样本x正例的概率,1-y则为样本x负例的概率,则


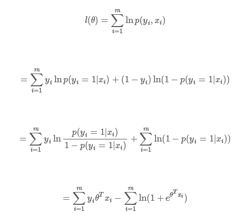
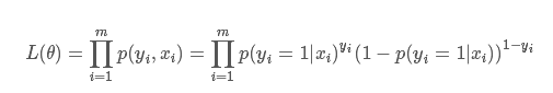
现在要解决的问题是如何求得。对于给定样本集,每个样本出现的概率为,


其中为1或0。则样本集出现的似然函数为


对数似然为:


求对数似然最大化的。其中通过求导没办法求得解,所以肯定要用迭代去逼近最优解,可以用梯度下降法或者牛顿法求的解。

实现代码

import tensorflow as tf
from numpy import *

x_train = [[1.0, 2.0], [2.0, 1.0], [2.0, 3.0], [3.0, 5.0], [1.0, 3.0], [4.0, 2.0], [7.0, 3.0], [4.0, 5.0], [11.0, 3.0],
           [8.0, 7.0]]
y_train = [1, 1, 0, 1, 0, 1, 0, 1, 0, 1]
y_train = mat(y_train)

theta = tf.Variable(tf.zeros([2, 1]))
theta0 = tf.Variable(tf.zeros([1, 1]))y = 1 / (1 + tf.exp(-tf.matmul(x_train, theta) + theta0))

loss = tf.reduce_mean(- y_train.reshape(-1, 1) * tf.log(y) - (1 - y_train.reshape(-1, 1)) * tf.log(1 - y))
train = tf.train.GradientDescentOptimizer(0.01).minimize(loss)

init = tf.initialize_all_variables()

sess = tf.Session()
sess.run(init)
for step in range(1000):
    sess.run(train)
print(step, sess.run(theta).flatten(), sess.run(theta0).flatten())

相关阅读:

TensorFlow训练单特征和多特征的线性回归

机器学习之梯度下降法

机器学习的监督学习在研究什么

线性回归之最小二乘法

欢迎关注: