最小二乘法拟合直线
生成样本点
首先,我们在直线 y = 3 + 5x 附近生成服从正态分布的随机点,作为拟合直线的样本点。
import numpy as np
import matplotlib.pyplot as plt
# 在直线 y = 3 + 5x 附近生成随机点
X = np.arange(0, 5, 0.1)
Z = [3 + 5 * x for x in X]
Y = [np.random.normal(z, 0.5) for z in Z]
plt.plot(X, Y, 'ro')
plt.show()样本点如图所示:

拟合直线
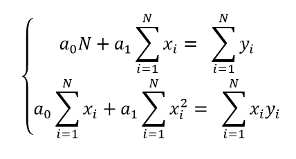
设 y = a0 + a1*x,我们利用最小二乘法的正则方程组来求解未知系数 a0 与 a1。

numpy 的 linalg 模块中有一个 solve 函数,它可以根据方程组的系数矩阵和方程右端构成的向量来求解未知量。
def linear_regression(x, y):
N = len(x)
sumx = sum(x)
sumy = sum(y)
sumx2 = sum(x**2)
sumxy = sum(x*y)
A = np.mat([[N, sumx], [sumx, sumx2]])
b = np.array([sumy, sumxy])
return np.linalg.solve(A, b)
a0, a1 = linear_regression(X, Y)绘制直线
此时,我们已经得到了拟合后的直线方程系数 a0 和 a1。接下来,我们绘制出这条直线,并与样本点做对比。
# 生成拟合直线的绘制点
_X = [0, 5]
_Y = [a0 + a1 * x for x in _X]
plt.plot(X, Y, 'ro', _X, _Y, 'b', linewidth=2)
plt.title("y = {} + {}x".format(a0, a1))
plt.show()拟合效果如下:

最小二乘法拟合曲线
生成样本点
与生成直线样本点相同,我们在曲线 y = 2 + 3x + 4x^2 附近生成服从正态分布的随机点,作为拟合曲线的样本点。
import numpy as np
import matplotlib.pyplot as plt
# y = 2 + 3x + 4x^2
X = np.arange(0, 5, 0.1)
Z = [2 + 3 * x + 4 * x ** 2 for x in X]
Y = np.array([np.random.normal(z,3) for z in Z])
plt.plot(X, Y, 'ro')
plt.show()样本点如图所示:

拟合曲线
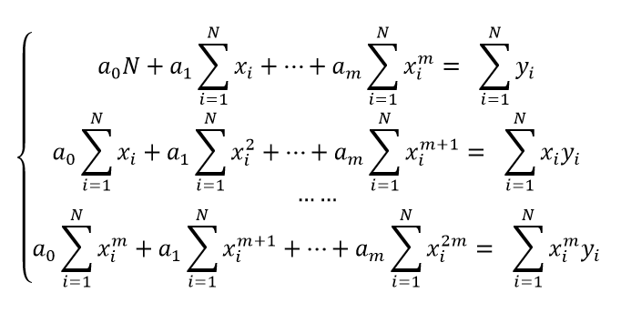
设该曲线的方程为 y = a0 + a1*x + a2*x^2,同样,我们通过正则方程组来求解未知量 a0、a1 和 a2。

# 生成系数矩阵A
def gen_coefficient_matrix(X, Y):
N = len(X)
m = 3
A = []
# 计算每一个方程的系数
for i in range(m):
a = []
# 计算当前方程中的每一个系数
for j in range(m):
a.append(sum(X ** (i+j)))
A.append(a)
return A
# 计算方程组的右端向量b
def gen_right_vector(X, Y):
N = len(X)
m = 3
b = []
for i in range(m):
b.append(sum(X**i * Y))
return b
A = gen_coefficient_matrix(X, Y)
b = gen_right_vector(X, Y)
a0, a1, a2 = np.linalg.solve(A, b)绘制曲线
我们根据求得的曲线方程,绘制出曲线的图像。
# 生成拟合曲线的绘制点
_X = np.arange(0, 5, 0.1)
_Y = np.array([a0 + a1*x + a2*x**2 for x in _X])
plt.plot(X, Y, 'ro', _X, _Y, 'b', linewidth=2)
plt.title("y = {} + {}x + {}$x^2$ ".format(a0, a1, a2))
plt.show()拟合效果如下:
