机器学习之朴素贝叶斯分类

1,527 阅读4分钟

朴素贝叶斯分类

所有贝叶斯分类都是基于贝叶斯定理,朴素贝叶斯分类是贝叶斯分类中运用广泛简单的一种,另外,它还基于特征条件独立假设。

贝叶斯定理

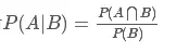
贝叶斯定理是计算条件概率的公式,条件概率即是事件B发生的前提下事件A发生的概率,记作P(A|B),叫做事件B发生的情况下A的条件概率。

公式为:

公式大致推导:

这里写图片描述

如图,有


同样,也有

于是,

得到,

另外,根据全概率公式还有

所以公式还可以写成:

特征条件独立假设

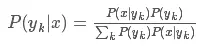
样本集(X,Y),每个样本x有n维特征,即x=(x1,x2,...,xn),类标记集合y=(y1,y2,...,yn)。

此时为求最大的后验概率,根据贝叶斯定理和全概率公式有,


对于P(x|yk)=P(x1,x2,...,xn|yk),假如xi可取的值个数为Si个,则参数个数为k∏ni=1Si
为降低参数规模,提出特征条件独立假设,它假设了n维特征(x1,x2,...,xn)互相独立,于是
,这时参数个数为

核心思想

基于特征条件独立假设,对给定的训练样本集来学习输入输出的联合概率分布,得到一个模型,然后给定一个输入x,利用贝叶斯定理求出后验概率最大的输出y。

即对于一个输入x,根据概率角度就是求x属于哪个类别的概率最大,也就是说P(y1|x)、P(y2|x)、…P(yk|x)中哪个后验概率最大就属于哪个类。

在特征条件独立假设下,有


其中分母对于所有分类yk都是相同的,所以其实就是求分子最大值对应的分类。即
值最大对应的分类。

期望风险

反应到期望风险上就是:将输入实例分配到后验概率最大的类中就是期望风险最小化。

极大似然估计&贝叶斯估计

对于训练样本,朴素贝叶斯法的学习其实就是估计先验概率和条件概率。极大似然估计是一种参数估计的方法,根据训练样本推算出参数的大概值,因为在极大似然估计的思想看来,某个参数能使样本出现的概率最大,那就把这个参数作为真实值。

由于极大似然估计可能会出现概率值为0的情况,这会影响到后验概率的计算结果,为解决这个问题引入贝叶斯估计,即在计算先验概率时在分子加一个λ,分母加一个λ 类别数,而计算条件概率时在分子加一个λ,分母加一个λ Si(其中Si为xi可取的值个数)。当λ取1时称为拉普拉斯平滑。而当λ为0时即是极大似然估计。

大概流程

待分类项x=(x1,x2,...,xn)。
类别集合y=(y1,y2,...,yn)。
分别求P(y1|x)、P(y2|x)、…P(yk|x),取最大的值对应的分类yk。
要求3就需要训练样本集(X,Y),再根据样本集完成下面5到7的操作。
根据极大似然估计或贝叶斯估计计算先验概率和条件概率,即P(xi|yk)和P(yk)。
由特征条件独立假设后对应公式

求得最大值。
得到最大值对应的分类。

实现代码

from numpy import *

dataSet = [[0,0],[0,0],[0,0],[0,0],[1,0],[0,0],[1,0],[0,0],[1,0],[1,0],[1,1],[1,0],[1,1],[1,1],[1,1],[1,1],[1,1],[1,1]]
ySet = [0,0,1,0,0,1,0,1,0,1,0,1,0,1,0,1,0,1]


def train():
    dataNum = len(dataSet)
    featureNum = len(dataSet[0])
    p0Num = ones(featureNum)
    p1Num = ones(featureNum)
    p0Denom = 2.0
    p1Denom = 2.0
    p0 = 0
    for i in range(dataNum):
        if ySet[i] == 1:
            p1Num += dataSet[i]
            p1Denom += sum(dataSet[i])
        else:
            p0 += 1
            p0Num += dataSet[i]
            p0Denom += sum(dataSet[i])
    p0Rate = p0 / dataNum
    p0Vec = log(p0Num / p0Denom)
    p1Vec = log(p1Num / p1Denom)
    return p0Rate, p0Vec, p1Vec

p0Rate, p0Vec, p1Vec = train()
test = [1,0]
p1 = sum(test * p1Vec) + log(1.0 - p0Rate)
p0 = sum(test * p0Vec) + log(p0Rate)
if p1 > p0:
    print(1)
else:
    print(0)

欢迎关注:

这里写图片描述