Java 实现高斯模糊和图像的空间卷积

3,302 阅读5分钟

#高斯模糊

高斯模糊(英语:Gaussian Blur),也叫高斯平滑,是在Adobe Photoshop、GIMP以及Paint.NET等图像处理软件中广泛使用的处理效果,通常用它来减少图像杂讯以及降低细节层次。这种模糊技术生成的图像,其视觉效果就像是经过一个半透明屏幕在观察图像,这与镜头焦外成像效果散景以及普通照明阴影中的效果都明显不同。高斯平滑也用于计算机视觉算法中的预先处理阶段,以增强图像在不同比例大小下的图像效果。 从数学的角度来看,图像的高斯模糊过程就是图像与正态分布做卷积。由于正态分布又叫作高斯分布,所以这项技术就叫作高斯模糊。图像与圆形方框模糊做卷积将会生成更加精确的焦外成像效果。由于高斯函数的傅立叶变换是另外一个高斯函数,所以高斯模糊对于图像来说就是一个低通滤波器。

高斯模糊运用了高斯的正态分布的密度函数,计算图像中每个像素的变换。

gaussian-function.png

根据一维高斯函数,可以推导得到二维高斯函数:

二维高斯函数.png

二维的正太分布.png

其中r是模糊半径,r^2 = x^2 + y^2,σ是正态分布的标准偏差。在二维空间中,这个公式生成的曲面的等高线是从中心开始呈正态分布的同心圆。分布不为零的像素组成的卷积矩阵与原始图像做变换。每个像素的值都是周围相邻像素值的加权平均。原始像素的值有最大的高斯分布值,所以有最大的权重,相邻像素随着距离原始像素越来越远,其权重也越来越小。这样进行模糊处理比其它的均衡模糊滤波器更高地保留了边缘效果。

其实,在iOS上实现高斯模糊是件很容易的事儿。早在iOS 5.0就有了Core Image的API,而且在CoreImage.framework库中,提供了大量的滤镜实现。

+(UIImage *)coreBlurImage:(UIImage *)image withBlurNumber:(CGFloat)blur 
{ 
    CIContext *context = [CIContext contextWithOptions:nil]; 
    CIImage *inputImage= [CIImage imageWithCGImage:image.CGImage]; 
    //设置filter
    CIFilter *filter = [CIFilter filterWithName:@"CIGaussianBlur"]; 
    [filter setValue:inputImage forKey:kCIInputImageKey]; [filter setValue:@(blur) forKey: @"inputRadius"]; 
    //模糊图片
    CIImage *result=[filter valueForKey:kCIOutputImageKey]; 
    CGImageRef outImage=[context createCGImage:result fromRect:[result extent]];       
    UIImage *blurImage=[UIImage imageWithCGImage:outImage];           
    CGImageRelease(outImage); 
    return blurImage;
}

在Android上实现高斯模糊也可以使用原生的API-----RenderScript,不过需要Android的API是17以上,也就是Android 4.2版本。

    /**
     * 使用RenderScript实现高斯模糊的算法
     * @param bitmap
     * @return
     */
    public Bitmap blur(Bitmap bitmap){
        //Let's create an empty bitmap with the same size of the bitmap we want to blur
        Bitmap outBitmap = Bitmap.createBitmap(bitmap.getWidth(), bitmap.getHeight(), Bitmap.Config.ARGB_8888);
        //Instantiate a new Renderscript
        RenderScript rs = RenderScript.create(getApplicationContext());
        //Create an Intrinsic Blur Script using the Renderscript
        ScriptIntrinsicBlur blurScript = ScriptIntrinsicBlur.create(rs, Element.U8_4(rs));
        //Create the Allocations (in/out) with the Renderscript and the in/out bitmaps
        Allocation allIn = Allocation.createFromBitmap(rs, bitmap);
        Allocation allOut = Allocation.createFromBitmap(rs, outBitmap);
        //Set the radius of the blur: 0 < radius <= 25
        blurScript.setRadius(20.0f);
        //Perform the Renderscript
        blurScript.setInput(allIn);
        blurScript.forEach(allOut);
        //Copy the final bitmap created by the out Allocation to the outBitmap
        allOut.copyTo(outBitmap);
        //recycle the original bitmap
        bitmap.recycle();
        //After finishing everything, we destroy the Renderscript.
        rs.destroy();

        return outBitmap;

    }

我们开发的图像框架cv4j也提供了一个滤镜来实现高斯模糊。

GaussianBlurFilter filter = new GaussianBlurFilter();
filter.setSigma(10);

RxImageData.bitmap(bitmap).addFilter(filter).into(image2);

使用RenderScript实现高斯模糊.png

使用cv4j实现高斯模糊.png

可以看出,cv4j实现的高斯模糊跟RenderScript实现的效果一致。

其中,GaussianBlurFilter的代码如下:

public class GaussianBlurFilter implements CommonFilter {
    private float[] kernel;
    private double sigma = 2;
    ExecutorService mExecutor;
    CompletionService<Void> service;

    public GaussianBlurFilter() {
        kernel = new float[0];
    }

    public void setSigma(double a) {
        this.sigma = a;
    }

    @Override
    public ImageProcessor filter(final ImageProcessor src){
        final int width = src.getWidth();
        final int height = src.getHeight();
        final int size = width*height;
        int dims = src.getChannels();
        makeGaussianKernel(sigma, 0.002, (int)Math.min(width, height));

        mExecutor = TaskUtils.newFixedThreadPool("cv4j",dims);
        service = new ExecutorCompletionService<>(mExecutor);

        // save result
        for(int i=0; i<dims; i++) {

            final int temp = i;
            service.submit(new Callable<Void>() {
                public Void call() throws Exception {
                    byte[] inPixels = src.toByte(temp);
                    byte[] temp = new byte[size];
                    blur(inPixels, temp, width, height); // H Gaussian
                    blur(temp, inPixels, height, width); // V Gaussain
                    return null;
                }
            });
        }

        for (int i = 0; i < dims; i++) {
            try {
                service.take();
            } catch (InterruptedException e) {
                e.printStackTrace();
            }
        }

        mExecutor.shutdown();
        return src;
    }

    /**
     * <p> here is 1D Gaussian        , </p>
     *
     * @param inPixels
     * @param outPixels
     * @param width
     * @param height
     */
    private void blur(byte[] inPixels, byte[] outPixels, int width, int height)
    {
        int subCol = 0;
        int index = 0, index2 = 0;
        float sum = 0;
        int k = kernel.length-1;
        for(int row=0; row<height; row++) {
            int c = 0;
            index = row;
            for(int col=0; col<width; col++) {
                sum = 0;
                for(int m = -k; m< kernel.length; m++) {
                    subCol = col + m;
                    if(subCol < 0 || subCol >= width) {
                        subCol = 0;
                    }
                    index2 = row * width + subCol;
                    c = inPixels[index2] & 0xff;
                    sum += c * kernel[Math.abs(m)];
                }
                outPixels[index] = (byte)Tools.clamp(sum);
                index += height;
            }
        }
    }

    public void makeGaussianKernel(final double sigma, final double accuracy, int maxRadius) {
        int kRadius = (int)Math.ceil(sigma*Math.sqrt(-2*Math.log(accuracy)))+1;
        if (maxRadius < 50) maxRadius = 50;         // too small maxRadius would result in inaccurate sum.
        if (kRadius > maxRadius) kRadius = maxRadius;
        kernel = new float[kRadius];
        for (int i=0; i<kRadius; i++)               // Gaussian function
            kernel[i] = (float)(Math.exp(-0.5*i*i/sigma/sigma));
        double sum;                                 // sum over all kernel elements for normalization
        if (kRadius < maxRadius) {
            sum = kernel[0];
            for (int i=1; i<kRadius; i++)
                sum += 2*kernel[i];
        } else
            sum = sigma * Math.sqrt(2*Math.PI);

        for (int i=0; i<kRadius; i++) {
            double v = (kernel[i]/sum);
            kernel[i] = (float)v;
        }
        return;
    }
}

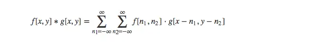
#空间卷积
二维卷积在图像处理中会经常遇到,图像处理中用到的大多是二维卷积的离散形式。

二维卷积的离散形式.png

以下是cv4j实现的各种卷积效果。

各种卷积效果1.png

各种卷积效果2.png

cv4j 目前支持如下的空间卷积滤镜

filter 名称 作用
ConvolutionHVFilter 卷积 模糊或者降噪
MinMaxFilter 最大最小值滤波 去噪声
SAPNoiseFilter 椒盐噪声 增加噪声
SharpFilter 锐化 增强
MedimaFilter 中值滤波 去噪声
LaplasFilter 拉普拉斯 提取边缘
FindEdgeFilter 寻找边缘 梯度提取
SobelFilter 梯度 获取x、y方向的梯度提取
VarianceFilter 方差滤波 高通滤波
MaerOperatorFilter 马尔操作 高通滤波
USMFilter USM 增强

#总结
cv4jgloomyfish和我一起开发的图像处理库,目前还处于早期的版本。

目前已经实现的功能:

cv4j.png

这周,我们对 cv4j 做了较大的调整,对整体架构进行了优化。还加上了空间卷积功能(图片增强、锐化、模糊等等)。接下来,我们会做二值图像的分析(腐蚀、膨胀、开闭操作、轮廓提取等等)