全文搜索怎么给查询语句与文档相关性打分

635 阅读2分钟

朴素想法

用户输入一个查询query,query由若干词(term)组成,文档也由若干词(term)组成。那么怎么评判查询和文档的相关性的高低。

很朴素简单的想法就是文档中包含的term与查询query中包含的term,两者越多相同的则说明越相关。比如query为"animal cat",文档一内容为"cat dog bird animal",文档二内容为"cat dog bird tiger",则认为query与文档二的相关性比文档一的高。

词权重

现在缺少词权重,比如一个文档中cat出现次数为2,而dog次数为1,那么cat的权重应该高一些。比如cat在10个文档出现和在1个文档出现也有不同的权重。

一般来说,可以由两方面来影响某文档某term的权重:

  1. 该文档词频(term frequency):该文档出现该term的次数,tf越大说明越重要。
  2. 文档词频(document frequency):包含该term的文档数,df越大说明越不重要,说明它更大众。

于是某个term的权重可定为:

VSM

向量空间模型(VSM)是一个计算俩文本相似性的经典算法。

  1. 将文档和query中term的并集看成是n维空间,每个term是一维。
  2. 将文档中term的权重看成一个n维向量,不存在的term看成权重为0。
  3. 同样将query看成是n维空间,每个term是一维。
  4. 同样将query的term的权重看成一个n维向量,不存在的term看成权重为0。

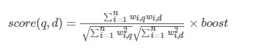
文档权重向量和query权重向量之间的夹角越小则认为相关性越大。于是,

干扰项

  • 表单符号,一般标点符号没有价值,去掉。
  • 停词,停词没有特别的意义,一般不能成为搜索的关键词,比如"the","that","this"等。

去掉这些干扰项可以让VSM降维,提升计算效率和准确度。

文档权重

对于某些文档可能相对重要点,有些文档没这么重要,这时需要额外的权重来表示。于是相关性得分,

比如文档一的权重设为1.1,文档二的权重设为1.0,则通过这个权重系数可以向整体分数表达出来。

标准化

前面计算词权重时存在一个问题,文档出现某term次数越多则说明它的权重越大,那么是不是可以说一个包含了1000个term的文档出现了2次cat,就比一个包含了10个term的文档出现了1次cat权重大?于是需要引入标准化来解决这个问题,

通过标准化后减少了文档长度的影响。

欢迎关注:

这里写图片描述