Electrons -- 异步事件分发器 使用指南

441 阅读6分钟

Electrons使用指南

前言

Electrons是一个异步事件分发器,也是一个通道,结合了生产者消费者模型和SUB/PUB模式。传统的SUB/PUB模型,在publish事件的时候是直接同步执行所有的监听器,是同步阻塞的。现在结合RINGBUFFER的无锁的急速体验,设计了Electrons,意味电路,事件就相当于跑在电路中的电子,电子在电路中的传递速度非常之快,这也是这个插件的寓意。publish的事件会放到容器中等待消费者消费,消费者就是SUB方的listener,这里有个设计上的小缺陷,由于种种愿意,listener的注册是通过注解 + 接口的方式实现,后面会提到。下面进入主题

使用

废话不说直接上代码:


                                                            
EleCircuit eleCircuit = new EleCircuit();
eleCircuit.start();
boolean ok1 = eleCircuit.publish("tag1", new LongEvent(1));
boolean ok2 = eleCircuit.publish("tag1", new LongEvent(2));
System.out.println(ok1);
System.out.println(ok2);
eleCircuit.stop();

                                                        

具体的限流熔断以及电路相关配置放在Config类中,创建实例的时候也可以使用:


                                                            
Config config = new Config();
config.set...
config.set...
/*省略配置信息*/
EleCircuit eleCircuit = new EleCircuit(config);

                                                        

Event需要继承Electron抽象类,举个例子:


                                                            
public class LongEvent extends Electron {
    @Getter
    private String name;
    /**
     * Constructs a prototypical Event.
     *
     * @param source The object on which the Event initially occurred.
     * @throws IllegalArgumentException if source is null.
     */
    public LongEvent(Object source) {
        super(source);
        this.name = "LongEvent" + source;
    }
}

                                                        

其他例如事件的权重,可以在event中设置,方法是:


                                                            
setWeight(int weight) {
    this.weight = weight;
}

                                                        

这个属性仅仅在限流开启的时候有效,否则设置了也不生效,可以根据事件的大小来划定权重。

再看看监听器,这个比较重要,先举个例子:


                                                            
Listener(subscribe = "tag1")
public class LongEventListener implements ElectronsListener<LongEvent> {
    @Override
    public void onEvent(LongEvent electrons) throws Exception {
        System.out.println("ele name : " + electrons.getName() + "Source : " + electrons.getSource());
    }
}

                                                        

@Listener注解用来标注监听器,类需要实现ElectronsListener接口,并且切记加上泛型的限制,否则会出问题!在OnEvent方法中实现处理事件的方法即可。

再看一下@Listener注解,这个注解主要限定了一些Listener的属性值,先看一下@Listener


                                                            
@Documented
@Target(ElementType.TYPE)
@Retention(RetentionPolicy.RUNTIME)
public @interface Listener {
    /**
     * 标识一个唯一的listener
     *
     * @return 这个listener的id
     */
    String id() default "";
    /**
     * after标识这个listener在某个listener之后执行,返回一个string,是id的集合,用【,】分割
     *
     * @return 要在该listener之前执行的listener的id的集合
     */
    String after() default "";
    /**
     * 优先级
     *
     * @return listener的优先级
     */
    int priority() default Byte.MIN_VALUE;
    /**
     * 订阅的类型
     *
     * @return 订阅的事件类型
     */
    String subscribe() default "";
}

                                                        
  1. 先看一下subscribe属性,这个属性规定了订阅的事件的tag最好不好为默认值
  2. 再看一下priority属性,这个属性规定了监听器的优先级优先级高的监听器优先执行,但不保证优先完成!而且在after属性存在的情况下,priority可能会失效!
  3. 下面一起来说id属性和after属性,这两个属性大部分情况下要配合使用。我们来先看一种场景:事件A需要被监听器L1和L2订阅,但是L2的执行依赖L1的结果或者L2需要L1执行之后再执行。这是就需要使用我们的这两个属性类配合使用,我们先把L1的id设置为L1,再在L2的after属性中,写入L1,即规定L2监听器需要在id = “L1”的执行器执行之后执行。

注意:如果L2为尾节点,则L2不能存在id属性!

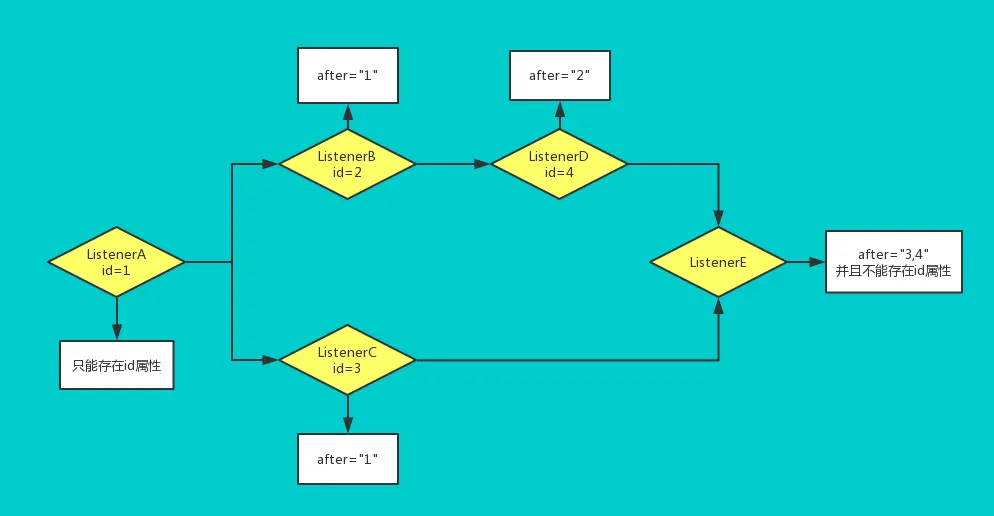
这里举一个复杂的例子:公有监听器A、B、C、D、E:

  • B、C必须在A之后执行
  • D必须在B之后执行
  • E必须在D、C之后执行
  • 执行之后的意思就是执行完了之后

这种情况下的idafter属性:

  • A的id -> 1,没有after属性
  • B的id -> 2,after属性为 -> “1”
  • C的id -> 3,after属性为 -> “1”
  • D的id -> 4,after属性为 -> “2”
  • E的id 不能存在!after属性为 -> “3,4”(如果在多个监听器执行之后执行,after中的id用 [ , ] 隔开)

模式图应该为下面这种情况:

Alt text

其他使用注意事项

  1. 代理类的使用:提供了两种代理发布器,生产者消费者模型也存在容器满了的情况,这种情况如果直接使用publish方法需要用户自己处理异常,比较麻烦,现在提供了:重发代理类丢弃代理类。作用:
  • 重发:先发布一次事件,如果容器满了,休息500ms再发一次,如果继续满,使用同步发送。
  • 丢弃:只发布一次事件,如果容器满了,直接记录日志并返回,事件丢弃(不推荐,只在小部分场景使用)。
  1. 同步发布事件的说明:提供了同步发送的传统方式,这种方式会循环所有的监听器,同步阻塞,直到所有的监听器执行完成。由于上述那种A监听器执行完再执行监听器B的逻辑依赖disruptor的实现,所以同步发布不支持存在after逻辑的监听器!

架构设计

Alt text

关于限流

令牌桶算法的实现,针对全部通道,每个通道都有一个限流器(包括NormalChannel)。在Config中配置之后即可开启,现在没有针对某一个通道的单独配置,后期考虑加入。

关于熔断

上文提到过,只有特殊通道支持熔断,这里阐述一下设计理念:

为什么对普通通道不设计熔断:普通通道存放的事件的监听器是没有关联的,即只要监听器链中存在after逻辑的监听器,就不会放到普通通道中。如果因为某个监听器持续出错,把整个通道熔断,其实是非常不合理的,因为其他监听器跟持续出错的监听器之间没有任何联系,不应该一起被熔断,其他监听器应该允许继续执行。

为什么对特殊通道设计熔断:原理类似,由于特殊通道是存在after逻辑的通道,即监听器之间存在关联,如果中间或前置监听器出问题,很可能导致后继监听器处理事件出错,或者无法处理事件,这时候熔断整个通道,提醒用户去解决问题。

特别鸣谢

释迦:帮我理顺思路以及链的遍历算法的完善。

排骨:第一版本的开发者,看了代码之后决定重写一个更加完善、立体的插件。提供了工具类,参考了相关概念,是在1.0版本基础上的2.0版本。

关于

源码地址

相关问题,二维火内部联系紫苑,非二维火同学联系我的邮箱:ziyuan@2dfire.com

blog.shiwuliang.com/2017/03/21/… (其他代码可以关注我的github)