线性回归之最小二乘法

1,024 阅读1分钟
原文链接: mp.weixin.qq.com

线性回归

线性回归是很常见的一种回归,线性回归可以用来预测或者分类,主要解决线性问题。

最小二乘法

线性回归过程主要解决的就是如何通过样本来获取最佳的拟合线。最常用的方法便是最小二乘法,它是一种数学优化技术,它通过最小化误差的平方和寻找数据的最佳函数匹配。

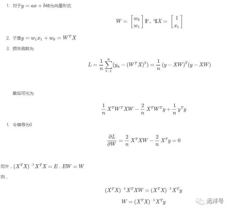
代数推导:


代码实现

import numpy as npimport matplotlib.pyplot as pltdef calcAB(x,y):
    n = len(x)
    sumX,sumY,sumXY,sumXX =0,0,0,0
    for i in range(0,n):
        sumX  += x[i]
        sumY  += y[i]
        sumXX += x[i]*x[i]
        sumXY += x[i]*y[i]
    a = (n*sumXY -sumX*sumY)/(n*sumXX -sumX*sumX)
    b = (sumXX*sumY - sumX*sumXY)/(n*sumXX-sumX*sumX)    return a,b,

xi = [1,2,3,4,5,6,7,8,9,10]
yi = [10,11.5,12,13,14.5,15.5,16.8,17.3,18,18.7]
a,b=calcAB(xi,yi)
print("y = %10.5fx + %10.5f" %(a,b))
x = np.linspace(0,10)
y = a * x + b
plt.plot(x,y)
plt.scatter(xi,yi)
plt.show()

运行结果

矩阵推导


代码实现

import numpy as np
import matplotlib.pyplot as pltx = [1,2,3,4,5,6,7,8,9,10]y = [10,11.5,12,13,14.5,15.5,16.8,17.3,18,18.7]

A = np.vstack([x,np.ones(len(x))]).T

a,b = np.linalg.lstsq(A,y)[0]print("y = %10.5fx + %10.5f" %(a,b))x = np.array(x)y = np.array(y)

plt.plot(x,y,'o',label='data',markersize=10)
plt.plot(x,a*x+b,'r',label='line')
plt.show()

运行结构