机器学习算法之决策树

1,619 阅读10分钟
原文链接: mp.weixin.qq.com

什么是决策树

决策树(Decision Tree)是一种简单但是广泛使用的分类器。通过训练数据构建决策树,可以高效的对未知的数据进行分类。决策数有两大优点:1)决策树模型可以读性好,具有描述性,有助于人工分析;2)效率高,决策树只需要一次构建,反复使用,每一次预测的最大计算次数不超过决策树的深度。

决策树是一个树结构(可以是二叉树或者非二叉树),非叶节点表示一个特征属性上的测试,每个分支代表在某个值域上的输出,每个叶节点存放一个类别。

测试就是按照从根节点往下走,直到叶节点,得到决策结果。

 

构造

构造决策树的关键步骤是分裂属性,分裂属性分为三种不同的情况:

 

      1、属性是离散值且不要求生成二叉决策树。此时用属性的每一个划分作为一个分支。

 

      2、属性是离散值且要求生成二叉决策树。此时使用属性划分的一个子集进行测试,按照“属于此子集”和“不属于此子集”分成两个分支。

 

      3、属性是连续值。此时确定一个值作为分裂点split_point,按照 >split_point和<=split_point生成两个分支。

 

      构造决策树的关键性内容是进行属性选择度量,属性选择度量是一种选择分裂准则,是将给定的类标记的训练集合的数据划分 D “ 最好”地分成个体类的启发式方法,它决定了拓扑结构及分裂点split_point的选择。

 

 

分裂算法

ID3算法

      从信息论知识中我们直到,期望信息越小,信息增益越大,从而纯度越高。所以ID3算法的核心思想就是以信息增益度量属性选择,选择分裂后信息增益最大的属性进行分裂,实际上,能正确分类训练集的决策树不止一棵。Quinlan的ID3算法能得出结点最少的决策树。

下面先定义几个要用到的概念。

设D为用类别(Y)对训练元组进行的划分,则D的熵(entropy)表示为:


     其中pi表示第 i个类别在整个训练元组中出现的概率,可以用属于此类别元素的数量除以训练元组元素总数量作为估计。熵的实际意义表示是D中元组的类标号所需要的平均信息量。

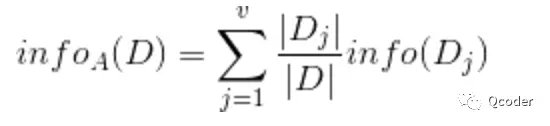
     现在我们假设将训练元组D 按属性A(X)进行划分,则A对D划分的期望信息为:


     而信息增益即为两者的差值:


 ID3算法就是在每次需要分裂时,计算每个属性的增益率,然后选择增益率最大的属性进行分裂。

对于特征属性为连续值,可以如此使用ID3 算法:

     先将D 中元素按照特征属性排序,则每两个相邻元素的中间点可以看做潜在分裂点,从第一个潜在分裂点开始,分裂D并计算两个集合的期望信息,具有最小期望信息的点称为这个属性的最佳分裂点,其信息期望作为此属性的信息期望。 (期望越小,增益越大)


停止条件

      在决策树构造过程中可能会出现这种情况:所有属性都作为分裂属性用光了,但有的子集还不是纯净集,即集合内的元素不属于同一类别。在这种情况下,由于没有更多信息可以使用了,一般对这些子集进行“多数表决”,即设定一个阀值,当当前子集记录数低于这个阀值时,停止分割,使用此子集中出现次数最多的类别作为此节点类别,然后将此节点作为叶子节点。

 

 

C4.5算法

ID3算法存在一个问题,就是偏向于多值属性,例如,如果存在唯一标识属性ID,则ID3会选择它作为分裂属性(info(Dj)部分会得到0,gain为info(D)),这样虽然使得划分充分纯净,但这种划分对分类几乎毫无用处(可认为是过拟合)。ID3的后继算法C4.5 使用增益率(gain ratio)的信息增益扩充,试图克服这个偏倚。

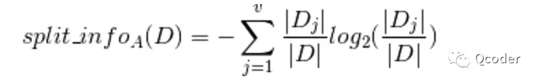
      C4.5算法首先定义了“分裂信息”,其定义可以表示成:      


(可以看出,像id这样的属性,会得到大的 spilit_info,受到惩罚)

     其中各符号意义与ID3算法相同,然后,增益率被定义为:

      C4.5选择具有最大增益率的属性作为分裂属性,其具体应用与ID3类似。

 

CART算法

 Classification And Regression Tree,即分类回归树算法,CART算法是一种二分递归分割技术,把当前样本划分为两个子样本,使得生成的每个非叶子结点都有两个分支,

   因此CART算法生成的决策树是结构简洁的二叉树。由于 CART算法构成的是一个二叉树,它在每一步的决策时只能是“是”或者“否”,即使一个feature有多个取值,也是把数据分为两部分 (离散的分割方法是“是某个值和不是某个值”,连续则大于某个值或者小于等于某个值)。在CART算法中主要分为两个步骤:

 

   (1)将样本递归划分进行 构建过程

  设X1, X2, X3…Xn代表单个样本的n个属性,y表示所属类别。CART算法通过递归的方式将n维的空间划分为不重叠的矩形。划分步骤大致如下:

(a)选一个自变量Xi,再选取Xi的一个值Vi, Vi把n维空间划分为两部分,一部分的所有点都满足Xi<=Vi,另一部分的所有点都满足Xi>Vi ,对非连续变量来说属性值的取值只有两个,即等于该值或不等于该值。

(b)递归处理,将上面得到的两部分按步骤(a)重新选取一个属性继续划分,直到把整个 n维空间都划分完。

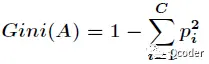
  在划分时候有一个问题,它是按照什么标准来划分的 ?对于一个变量属性来说,它的划分点是一对连续变量属性值的中点。假设个样本的集合一个属性有 m个连续的值,那么则会有m-1个分裂点,每个分裂点为相邻两个连续值的均值。每个属性的划分按照能减少的杂质的量来进行排序,而杂质的减少量定义为划分前的杂质减去划分后的每个节点的杂质量划分所占比率之和。而杂质度量方法常用 Gini指标,假设一个样本共有C类,那么一个属性中对应某个类 的Gini不纯度可定义为:

其中Pi表示属于i类的概率,当Gini(A)=0时,所有样本属于同类,所有类在节点中以等概率出现时,Gini(A)最大化(最不纯)。最后这个自变量的gini值为 ∑ p(v)*gini(v),按使该值最小的进行划分。

 

   (2)用验证数据进行剪枝 (使用代价复杂性剪枝法)

 

准确率估计

决策树T构建好后,需要估计预测准确率。直观说明,比如N条测试数据, X预测正确的记录数,那么可以估计acc = X/N 为T的准确率。但是,这样不是很科学。因为我们是通过样本估计的准确率,很有可能存在偏差。所以,比较科学的方法是估计一个准确率的区间,这里就要用到统计学中的置信区间( Confidence Interval)。

设T的准确率 p是一个客观存在的值,X的概率分布为 X ~ B(N,p),即X遵循概率为p,次数为N的二项分布(Binomial Distribution),期望E(X) = N*p,方差 Var(X) = N*p*(1-p)。由于当N很大时,二项分布可以近似有正太分布(Normal Distribution)计算,一般 N会很大,所以X ~ N(np,n*p*(1-p))。可以算出,acc = X/N的期望 E(acc) = E(X/N) = E(X)/N = p,方差Var(acc) = Var(X/N) = Var(X) / N 2 = p*(1-p) / N ,所以acc ~ N(p,p*(1-p)/N)。这样,就可以通过正太分布的置信区间的计算方式计算置信区间了。

 

 

优化方案

优化方案1:修剪枝叶

 

决策树过渡拟合往往是因为太过“茂盛”,也就是节点过多,所以需要裁剪(Prune Tree)枝叶。裁剪枝叶的策略对决策树正确率的影响很大,这是为了处理由于数据中的噪声和离群点导致的过分拟合问题, 考虑极端的情况,如果我们令所有的叶子节点都只含有一个数据点,那么我们能够保证所有的训练数据都能准确分类,但是很有可能得到高的预测误差,原因是将训练数据中所有的噪声数据都”准确划分”了,强化了噪声数据的作用。 主要有两种裁剪策略:

前置裁剪 在构建决策树的过程时,提前停止。那么,会将切分节点的条件设置的很苛刻,导致决策树很短小。结果就是决策树无法达到最优。实践证明这种策略无法得到较好的结果。

后置裁剪 决策树构建好后,然后才开始裁剪。采用两种方法:1)用单一叶节点代替整个子树,叶节点的分类采用子树中最主要的分类;2)将一个字数完全替代另外一颗子树。后置裁剪有个问题就是计算效率,有些节点计算后就被裁剪了,导致有点浪费。

后剪枝有三种算法:REP(错误率剪枝),PEP(悲观剪枝),CCP(代价复杂度)。

 

优化方案2:K-Fold Cross Validation

首先计算出整体的决策树T,叶节点个数记作 N,设i属于 [1,N]。对每个i,使用 K-Fold Validataion方法计算决策树,并裁剪到i个节点,计算错误率,最后求出平均错误率。这样可以用具有最小错误率对应的 i作为最终决策树的大小,对原始决策树进行裁剪,得到最优决策树。

 

优化方案3:Random Forest(下一次我将写一下)

Random Forest是用训练数据随机的计算出许多决策树,形成了一个森林。然后用这个森林对未知数据进行预测,选取投票最多的分类。实践证明,此算法的错误率得到了经一步的降低。这种方法背后的原理可以用“三个臭皮匠定一个诸葛亮”这句谚语来概括。一颗树预测正确的概率可能不高,但是集体预测正确的概率却很高。


参考文献:

熵:https://en.wikipedia.org/wiki/Entropy

信息增益率:https://en.wikipedia.org/wiki/Information_gain_ratio

置信区间:https://en.wikipedia.org/wiki/Confidence_interval