本文是YouTube上视频How to Do Linear Regression the Right Way笔记
假设我们有一堆数据,并且他们是线性相关的,那我们怎么找出最合适的那条直线呢?
此处关键是定义什么是最合适?可以通过每个点到直线的距离来定义整个合适,如图:

在上面的过程中,直线y=mx+b中m和b不管变化,从而找到最合适的直线,这个判断的依据就是:

上面公式的含义是:假设点是(x,y),那相同x的直线上的点就是:(x,mx+b),而这两者之间的距离就是(y-(mx+b)),为了防止出现负数,因此我们就计算了平方,有了这个衡量的标准后,我们就可以画出上面公式的一个图了:

此处画出来是一个立体图,我们要找的一个最佳的直线,对应到图中其实就是一个最低点,更形象的例子是:

如果我们此时放一个弹珠到碗里,最终弹珠停下来的点就是我们要找的最佳点,现在我们没有弹珠,我们要怎么找到这个最佳点呢?这就要讲到偏导数(partial derivatives)的概念了,以前大学里学偏导数的是时候一直不明白为什么叫偏导,直到最近看到英文:partial derivatives才明白,我们来看图:

图中的函数f是一个表面,如果我们固定住y,则是一个曲线,如图中绿色的线,此时我们在计算点(a,b,f(a,b))在绿色线上的斜率,就可以得到沿着x方向的斜率了,同样的我们固定x,就可以得到y方向的斜率,这样子解释,英文partial derivatives就很形象了,即计算的部分的斜率,合在一起才是曲面上这个点相切的一个平面。
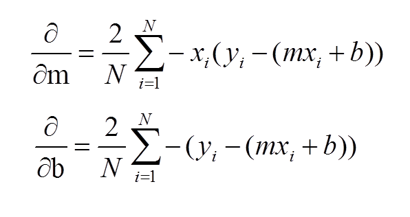
由此我们就有了偏导数:

根据上面的这些我们就有了最后的代码:github.com/llSourcell/…
一些视频的中的词汇记录:
back of your hand:了如指掌
gradient descent:梯度下降
partial derivatives:偏导数
calculus:微积分
correlation:相关性
intercept:截断
slope:斜率
Convergence:收敛
slope formula:斜率公式
magnitude:大小
with respect to:关于
tangent:切线
好书推荐:Machine Learning and Probabilistic Approach
推荐资源
More learning resources:
mathinsight.org/image/parti…
www.dummies.com/education/m…
spin.atomicobject.com/2014/06...
www.quora.com/What-is-an-…
machinelearningmastery.com/gra...