在说flux模式之前,我们先说说mvc和mvvm模式
MVC模式
通过关注数据界面分离,来鼓励改进应用程序结构。也就是MVC将业务数据(model)与用户界面(view)隔离,用控制器(controller)管理逻辑和用户输入。
MVC模式中的三种角色
-
Model
Model负责保存应用数组,和后端交互同步应用数据,或校验数据。Model主要与业务数据相关,与应用内交互状态无关
-
View
View是Model的可视化,表示当前状态的视图。前端View负责构建和维护DOM元素。更新Model的实际任务是在Controller上。用户可以与View交互,包括读取和编辑Model,在Model中获取或设置属性值。一个view通常对应一个model,所以在世实际开发过程中,会面临多个view对应多个model的状况
-
Controller
Controller负责连接view和model,model的任何变化会应用到view中,view的操作会痛殴controller应用到model中。
MVC的问题
MVC模式看上去没有什么问题,但是它存在一个十分麻烦的缺点,这个缺点随着你的项目越来越大,逻辑复杂的时候非常的明显,就是混乱的数据流动方式。
MVVM模式
MVVM的模式与MVC模式的最大区别在于数据绑定,也就是说view的数据状态的改变直接影响VM,反之依然。
MVC模式带来问题的解决方案
如果渲染函数只有一个,统一放在Controller中,每次更新渲染页面,这样的话,任何数据的更新都只用调用重渲染就行,并且数据和当前页面的状态是唯一确定的。但是重渲染会带来严重的性能问题于用户体验问题。
而Flux也是解决这类问题的一种方案
Flux模式
Flux的核心思想就是数据和逻辑永远单向流动
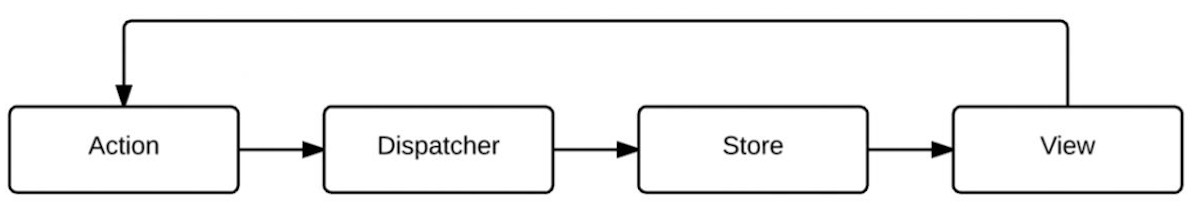
众所周知,React提倡的是一种单向数据流,指的是父子组件之间的单向数据流。而Flux中的单向数据流则是在整体架构上的延伸。在Flux应用中,数据从action到dispatcher,再到store,最终到view的路线是单向不可逆的,各个角色之间不会像MVC模式中那样存在交错的连线
因为要实现单向数据流,所以在Flux模式中的dispatcher中定义了严格的规则来限定我们对数据的修改操作。只能通过dispatcher来修改store中的state,所以同时,store中不能不暴露setter,强化数据修改的纯洁性。
上面谈到的如果渲染函数只有一个后,即每次数据的更新都会调用重渲染,会十分的影响性能。在React中,通过Virtual DOM这个技术来进行优化性能,因为每次重渲染的是内存上的Virtual DOM,并由于PureRender保障从重渲染到局部渲染的转换。
一个Flux应用由三大部分组成dispatcher,store和view
- dispatcher负责分发事件
- store负责保存数据,同时响应事件并更新数据
- view负责订阅store中的数据,并使用这些数据渲染相应的页面
Flux的不足
虽然Flux的中心化控制十分优雅。但是它最大的问题就是Flux的冗余代码太多。虽然Flux源码中几乎只有dispatcher的实现,但是在每个应用中东需要手动创建一个dispatcher的实例,而且在一个应用中含有多个store。
基于Flux思想的Redux
Redux是基于Flux架构思想的一个库的实现,它主要的核心运作流程为:
Redux与Flux的区别
- Redux中只有一个store,而Flux中有多个store来存储应用数据,并在store里面执行更新逻辑,当store变化的时候再通知controller-view更新自己的数据,Redux是将各个store整合成一个完整的store,并且可以根据这个store来得到完整的state,而且更新的逻辑也不再store中,而是在reducer中。
-
Redux没有Dispatcher这个概念。它使用的是reducer来进行事件的处理,reducer是一个纯函数
(preState, action) => newState,在Redux应用中,可能有多个reducer,每一reducer来负责维护应用整体state树中某一部分,多个reducer通过combineReducers方法合成一个根reducer,来维护整个state
Redux设计和使用的三大原则
-
单一的数据源
在Redux的思想里,一个应用永远只有唯一的数据源,使用单一数据源的好处在于整个应用状态都保存在一个对象中,我们随时可以提取出整个应用的状态进行持久化,这样的设计也为SSR提供了可能
-
状态是只读的
状态是只读的这个和Flux的思想相同,但是Redux中还限制了store的setter从而限制修改应用状态的能力。在Redux中,我们不会用代码来定义一个store,而是通过reducer,通过当前触发的action来对当前应用的state进行迭代,这里没有直接改变应用的状态,而是返回了一个全新的状态。
-
状态修改均由纯函数完成
在Flux中,是通过dispatcher的dispatch来触发action,不仅产生了冗余代码,而且直接修改了store中的数据,无法保存每次数据变化前后的状态,在Redux中,通过纯函数reducer来确定状态的改变,因为reducer是纯函数,所以形同的输入,一定会得到相同的输出,这样的话,返回的是一个全新的state,可以跟踪每一次触发action而改变状态的结果成为了可能,也就是可以达到炫酷的time travel 调试方法。
😄 That's all~~ (github,欢迎star、follow) 😄



