本文由北邮@爱可可-爱生活 老师推荐,阿里云云栖社区组织翻译。
以下为译文
机器学习理论——part I 前言 (第II部分内容点此;第III部分内容点此 )
动机
大多数人在小的时候被魔术师以及魔术技巧所迷住,并想弄明白其中的奥秘。有些人会带着这份迷恋研究到更深处并学习魔术技巧,有些人会接受专业的训练,而其他人会继续平庸下去。我在年幼时也尝试过魔术技巧并沉迷于其中,然而后来 学习 的是 另外一种魔术,称作计算机编程。
编程确实酷似魔法, 和魔术一样,自学的现象在计算机编程世界占了上风。在过去的两年计算机开发者调查显示,超过一半的 开发者是无师自通 。我 是在全职工作外学习这些计算机科学知识,当你已经工作后再尝试学习这些科目会是相当大的一个挑战 。
如今我们可以找到很多关于计算机科学的视频、文章、博客以及自定进度点播MOOC 课程,这几乎涉及每个方面。其中很多写的很详细并解释得很清楚,而且 可以自由访问。这些资源的存在使得自我学习过程更加全面,使工作/ 生活 / 学习的平衡更易于管理,不幸的是,这 并 不是学习编程的完全正确趋势。
机器学习
虽然在大二就开始自学机器学习,但当毕业后才意识到自己错过了许多基础知识。所以在同样情形下,我很高兴发现自己避免了这种情况的发生,但机器学习理论不像计算机科学世界那么容易驯服。 虽然互联网上充满了学习资源,但理论方面的内容是不一样的。即使你可以找到书籍、讲义、甚至是全部的讲座,但大多数不能像一系列博客、短视频或者MOOC 提供的灵活性。
本文根据作者本身学习计算机科学的经验,给出了学习机器学习理论的这一系列文章,能够填补自主学习机器学习的理论与实践之间的差距,从而在征途上少一些艰辛。
这个系列是为了谁?
该系列意图是为了给机器学习理论方面提供简单的介绍,这将会对你是有利的,如果你是:
l 机器学习的从业者,并想深入了解详细过程;
l 机器学习的学生,尝试深入钻研机器学习理论并会喜欢一些宽松政策;
如果你是机器学习的初学者,这可能不是你的最佳起点。使用实际教程开始会更好。当你掌握了机器学习实践的窍门后,如果你觉得有必要,可以回到这里。
先决条件
理论需要数学知识,机器学习的理论也不例外。但是由于这仅仅是为了简单的介绍,不会钻研太深的数学分析,将更加注重理论的直觉与足够的数学知识以为了保持严谨。
大多数所需要的知识是:概率和随机变量,和微积分的基本知识。
注意事项
我仍然不是这个领域的专家,所以当你在这个系列中发现一些错误,请让我知道;
这仅仅是一个简单介绍,如果你想真正理解该领域,在阅读该系列的同时也要努力工作;
现在将机器学习问题快速公式化,以便建立起数学模型和框架
形式化学习问题
在这个系列中,将主要侧重有监督学习问题,数据集
,其中
xi
是特征向量,yi
是标签,问题是给定xi
,怎么得到yi
的值。比如说
xi
是具体医学测量结果的特征向量, yi
是病人是否为糖尿病,我们希望从给定的医学测试结果中诊断是否患有糖尿病。
为了建立理论框架,重新梳理下已经知道的内容
1 知道从众多人口中随机采样的数据集中的值(xi,yi ),具体的例子中的数据集是从众多可能患者中随机采样得到
将该例子公式化,两个随机变量X 和 Y 表示 xi 与 yi ,且概率分布分别为 P(X) 和P(Y);
2 我们知道X 与 Y 之间有一些规则,并希望任意的 XY 对都能符合该规则, 定义该规则,正式将其称为空间,X 是从输入空间 X 中取值得到, Y 是从输出空间 Y 取值得到;
3 特征值与标签之间有一定的联系,在某种程度上,特征值决定标签值,或者说Y 的值是以 X 值为条件;
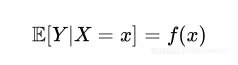
正式地,将其称作条件概率 P ( Y|X ),利用该概率可以得到其联合概率密度 P(X|Y) ;
根据这三点,可以定义统计模型,下图形式化的描述了模型的处理过程
目标函数
机器学习过程的根本任务是理解条件概率分布P ( Y|X )的性质,为了避免麻烦,下面介绍一些简单的工作。
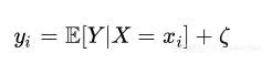
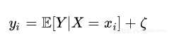
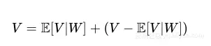
可以使用均值和方差分解一个随机变量,均值是随机变量的中心,方差是测量随机变量在均值周围是如何分布。假设给定随机变量V 和 W ,则
其中E[V|W] 是随机变量 V 给 W 的条件均值,该均值可以将 V 的值分解为两部分。 任意W 与 V 的相关联值( wi,vi )的关系可以定义如下
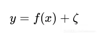
ζ 表示噪声变量ζ 的值 ,称为噪声分量,同样地定义统计模型( xi , yi )
其 f : X → Y的函数定义如下
即条件概率是输入空间X 映射到输出空间 Y 的函数,使用下列公式表示特征与标签的联系

目标函数为f=f(x) ,统计模型简化为
机器学习的任务简化为估计函数f 。
假设
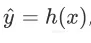
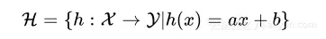
由于要对现存的每个函数进行评估,因此尝试对函数f 进行假设,定义函数可能的空间为假设空间 H 。
如果假设函数f 是来自 ax+b ,可以定义假设空间 H 为
这是所有函数h 映射输入空间到输出空间的集合,机器学习的任务现在是从 H 中挑选出一个具体的函数 h ,该函数能够最好的估计目标函数 f 。
损失函数
损失函数是用来评估假设函数估计目标函数的效果如何,定义损失函数(代价函数)

该函数是将从特征向量x 中得到的估计标签 y 与真实标签 y 的差距

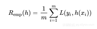
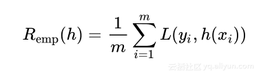
使用损失函数可以计算假设函数h 对整个数据集的性能,分类错误或者经验风险定义为

在这里不称作经验误差的原因是如果使用E 表示误差,这会导致与期望值 E 标记的混乱,因此使用风险和 R 代替。通过定义的经验误差,机器学习过程需要选择最小的 Remh(h) 作为目标函数 f 的最优估计。
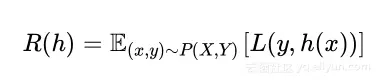
泛化误差
我们的目标是学习总体数据集的概率分布,这意味着假设应该对采样出的新数据也会有低的错误。这也说明这些表现好的假设在总体概率分布上有好的泛化,定义泛化误差:

学习问题是否可解?
如果 Remp(h) 和 R(h) 非常接近,那么学习问题可解。问题转化为计算下述概率:
公式表示
R与Remp
之间的绝对差的最小上界大于
的概率,若该概率足够小,则学习问题可解。
参考文献:
l James, Gareth, et al. An introduction to statistical learning. Vol. 6. New York:springer, 2013.
l Friedman, Jerome, Trevor Hastie, and Robert Tibshirani. The elements of statistical learning. Vol. 1. Springer, Berlin: Springer series in statistics, 2001.
l Mohri, Mehryar, Afshin Rostamizadeh, and Ameet Talwalkar. Foundations of machine learning. MIT press, 2012.
l Abu-Mostafa, Y. S., Magdon-Ismail, M., & Lin, H. (2012). Learning from data: ashort course
文章原标题《Machine Learning Theory - Part I》,作者:Mostafa Samir,译者:海棠
文章为简译,更为详细的内容,请查看 原文