一、filter简介
filter是Servlet规范里的一个高级特性,只用于对request、response的进行修改。
filter提出了FilterChain的概念,客户端请求request在抵达servlet之前都会经过filterChain里的所有fiter,如图所示:

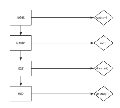
二、filter的生命周期
在web.xml中配置filter,当启动服务器时会实例化,并且会初始化,当有网络请求时会进行过滤操作,当 服务器关闭时,会进行销毁,全过程如下图所示:

三、编写第一个filter
filter类需实现fiter接口,需复写里面的三个方法,其中init(),在初始化时调用;doFiler()方法每次都会调用,在这个方法中一定要执行chain.doFilter(),否则request不会交给后面的filter或者servler;ondestroy()在关闭服务器时调用。
public class FirstFilter implements Filter {
@Override
public void destroy() {
System.out.println("destroy---FirstFilter");
}
@Override
public void doFilter(ServletRequest request, ServletResponse response, FilterChain chain) throws IOException, ServletException {
System.out.println("start----doFilter--FirstFilter");
chain.doFilter(request, response);
System.out.println("end------doFilter--FirstFilter");
}
@Override
public void init(FilterConfig filterConfig) throws ServletException {
System.out.println("init----FirstFilter");
}
配置filter:
FirstFilter
com.forezp.filter.FirstFilter
FirstFilter
/index.jsp
*.do
REQUEST
其中,url_pattern可以配置多个,也可以用通配符,当访问满足路径匹配,并且符合dispatcher时,request会被filter拦截进行处理,处理完后的response再次被filter拦截,可以进行处理。
其中dispatcher 默认REQUEST,四种不同的dispatcher:
- REQUEST:请求时有效
- FORWARD:当某servlet通过forward到该servlet才有效
- INCLUDE: jsp通过< jsp: incluser/> 请求servlet有效
- ERROR: < %@page errorPage="" % >有效
四、防盗链
filter的特性使它可以处理特殊的工作,例如防盗链,字符编码的处理,日志记录,数据加密,过滤一些黑词等等。
例如: 防盗链图片,当其他网站请求本网站图片资源时显示错误的图片,只有本应用先生的图片才显示正确的图片,代码如下:
public class ImageFilter implements Filter{
public void init(FilterConfig config) throws Exception(){
}
public void doFilter(ServletRequest req,ServletResponse res,FilterChain chain)throws Exception{
HttpServletRequest request=(HttpServletRequest )req;
HttpServletResponse response=(HttpServletResponse)res;
String referer=request.getHeader("referer");
if(referer==null||!referer.contains(request.getServerName())){
request.getRequestDispatcher("/error.png").forwar(request,response);
}else{
chain.doFilter(request,response);
}
}
public void destroy(){}
}
在web.xml中配置:
imageFilter
com.forezp.ImageFilter
imageFilter
/images/*
当访问images下的所有图片会经过该filter,根据访问头信息,如果说本站点的访问则显示正确图片,否则先生错误图片。
五、字符编码
直接上代码:
public class CharsetFilter implements Filter{
private String characterEncoding;
private String enabled;
public void init(FilterConfig config) throws Exception(){
characterEncoding=config.getInitParameter("characterEncoding");
enabled=config.getInitParameter("enabled").equals("true");
}
public void doFilter(ServletRequest req,ServletResponse res,FilterChain chain)throws Exception{
if(enabled|| characterEncoding!=null){
req.setCharacterEncoding(characterEncoding);
res.setCharacterEncoding(characterEncoding);
}
chain.doFilter(req,res);
}
public void destroy(){
characterEncoding=null;
}
}
在web.xml中配置:
CharsetFilter
com.forezp.CharsetFilter
characterEncoding
UTF-8
enabled
true
CharsetFilter
/*
其中页面编码方式也必须一致,希望全部用utf-8,另外需要配置Tomcat的/config/server.xml编码:
另外,还有比较常见的日志记录filter、异常捕捉filter、权限校验、内容替换filter等等。
filter有很大的弹性机制,功能强大,而且跟servlet、jsp没耦合.filter是现在面向切面编程aop的一种思想体现,它能够胜任很多工作。
2.5的fiter需要在web.xml中配置,执行顺序按照配置顺序,另外3.0可以用注解的方式配置filter,此时没有配置的顺序。