很多公司都会问“我们该如何获取更多用户?”这样的问题,但我们更应该问的是“我们如何能够更好地保持已经拥有的客户?”
处理增长问题的时候,你会理所当然的以为只需要获取更多用户,毕竟这似乎是我们对增长的定义。然而,如果你退后一步,把增长看做是随着时间推移,用户数以周为单位的最大化,那么很快就能看到,专注于留存比拉新更重要。这更多的是一种可持续增长的心态。用户快速增长快速流失,是不可持续的增长指标。随着时间推移保持较高的用户留存是产品与市场匹配的很好的指示,这也是你无论如何都希望实现的。
病毒因子和留存
很大程度上讲,用户留存比病毒性更重要,因为如果你的用户流失,那么在一段时间内就不能邀请其他人。如果你的产品有高留存率而没有病毒性,随着时间推移你也能可持续的增长你的用户基础;反之,如果只有病毒性而没有留存,则不会有用户的持续增长。在这两个极端之间,似乎有点复杂,为了更详细的解释,我们先来看看几个术语:病毒因子(viral factor)和留存(retention),这将让你更好的理解这篇文章里的内部增长模型,我们后面引用的图表就是由此衍生的。
病毒因子
它描述网站或应用的现有用户邀请其他人的增长率,通常被称为 k 因子。
- i = 每个客户发送的邀请数
- c = 这些邀请的转化率(c = 注册数/邀请数)
- k = i * c
以周为单位,病毒因子通常像下图这样,视不同产品而有所不同,但在我服务的这些产品里我一次又一次看到了这样的形状,它的趋势是这样有下面三个原因:
1.登陆邀请流程的有效性
登陆是在完成特定目标(用户注册)时获得用户高度关注为数不多的几个节点之一,并且当你指示用户邀请其他用户时,他们一般不会考虑太多。
2.用户的兴奋程度
人类对新鲜事物最感兴趣,这也适用于互联网产品。用户在尝试新产品时获得的兴奋感让他们分享更多东西,但这种分享会随着产品在日常生活中变得平常而逐渐消失。
3.用户网络的低邀请饱和
当一个用户第一次开始使用产品时,他们知道不使用这个产品的人比使用这个产品的人多。随着时间推移,他们会给认识的人分享你的产品。最终,即使是一个对你的产品非常热衷的用户也会发现已经没有人可以去继续分享了,因为很多人没听过这个产品,导致病毒性随时间降低。如果你的公司发展的很大,这可能会是一个问题,但这是一个很好的问题。

留存
它指一段时间到另一段时间内还保持粘性的用户数。两种方式来表示留存,总留存和周留存:
1.总留存
总留存是随时间累积的。如果你在第三周的总留存率为30%,这意味着有30%的用户从第一周到第三周一直在。这是公司内部讨论时通常表示留存的方式。
2.周留存
为了增长目的,它通常用于查看每周的用户留存情况。周留存指这周到下周有多少用户留下来。如果第二周有40%的总留存,第三周只有30%的总留存,那么第二周到第三周的周留存是75%。如果周留存低于100%,意味着我们依然在失去用户。
周留存曲线通常像下面这样,第一周到第二周是最低的,随着时间的推移逐渐接近100%。
为什么留存这么重要?
为了使病毒性比留存更重要,你的病毒因子必须大于当时的总留存。后文会用数学证明,数学很难确切地简化,但有一个基本原则,你可以跟随并接近。如果从这篇文章里你只吸收一个观点的话,会是下面这句:
除非你的总留存是稳定的,否则不要关注于提高病毒性,直到它在一段合理的时间后不再继续减小。
为了帮助说明这一点,让我们看几个例子:
1.你的产品有一个非常高的即时病毒因子,如果你的产品在前端加载发出邀请,并以很高的比例被接受,可以实现即时病毒因子 k > 1。在这种情况下,如果你的邀请的接受率足够快,即使你的网站/应用首次使用后的留存为零,你每月的激活用户数仍然会持续增长。但由于可利用的 k > 1 的即时病毒循环最终会到期,高病毒性,低留存型的增长几乎总是不可持续的。这解释了很多公司的垮台,看起来似乎快速增长,在增长中赚了不少钱,然后很快死亡。比如 Viddy ……
2.你的总留存很高,并随时间推移缓慢下降,但你有很强的病毒性。在这种情况下,长期关注于病毒性的增长确实能让产品得到受益,但这通常是一个错误信号。如果你认为你可以让病毒性高于总留存,这是唯一值得关注病毒性的时候。如果你过早切换焦点,它将导致低于标准的增长指标。这是因为改善留存能带来的复合效应比改善病毒性能带来的要强太多。可以用留存/病毒模拟器很容易地说明这一点,并且将周留存和病毒性设置为相等。然后,我们可以根据我们在未来某个时间点的用户数量来衡量比例变化对其中一个的影响。在现实世界里,病毒性似乎不太可能等于周留存,但是这样设置有助于以最清楚的方式说明我们的观点。
基本案例-病毒因子等于留存:在第七周约有88k个用户,从44k的留存用户和44k的病毒式用户条形图堆叠可以得到
第一周病毒性增加了20%:在第七周约有110k个用户,留存53k与病毒57k堆叠
第一周病毒性增加了20%:在第七周约有125k个用户,留存65k和病毒60k
如你所见,留存的变化有长期的影响力,比等量的病毒性带来的变化影响更大。
你的总留存高且稳定。如果你已经把留存最大化到你认为可以增加病毒性而不是来提高总留存的程度,即使考虑到留存的复合影响,关注病毒性也是有意义的。
证明它!
在 Excel 中对增长建模很容易,有一些在线共享帮助,我用的是从 http://bit.ly/growthmodel 下载的。如果你插入一些数字,它能对你所期望的增长有一个那好的概述,从用户计算上来看,这是伟大的,但有点难以概念化实际工作中的增长。为了得到一个不同的视角,建立一个树状图,对确切的了解一周中存在的用户来自哪里非常有帮助。
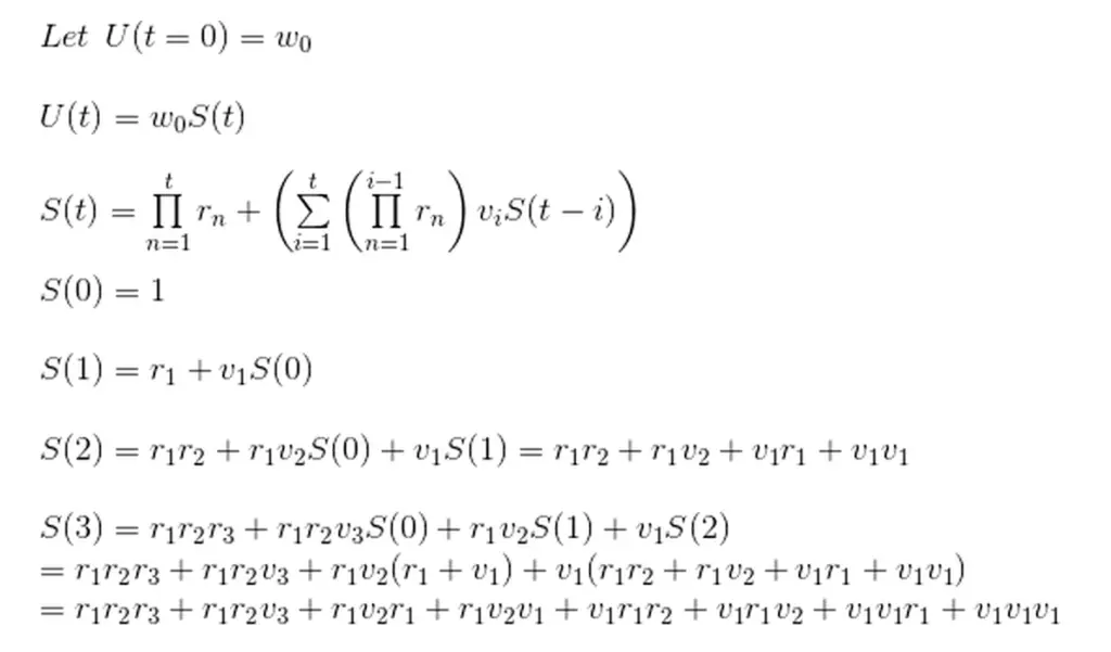
在下面的树中, w0 表示时间为0时开始的一组用户。树的每一级代表一周时间,在每个后续的级别,你会从留存或病毒式邀请中得到用户。给定节点的用户数量是通向该节点的所有节点的乘积。系数表示随时间变化的病毒和留存因数, v2 是第二周的病毒系数, r3 是第三周的留存系数等。
任何给定级别的用户数可以简化为递归方程。
如你所见,这与我们在上面的树状图中看到的一致。主要病毒因子(当前病毒vi)与总留存(rn‘s乘积有关)有关。
本文由Zoran@吆喝科技翻译自:http://andrewchen.co/retention-is-king/