继续是《数据结构算法与应用:C++语言描述》的笔记,这是第八章二叉树和其他树的内容,本节内容介绍树的定义以及二叉树的代码实现。
树
树t是一个非空的有限元素的集合,其中一个元素为根,余下的元素组成t的子树。
在画一棵树时,每个元素都代表一个节点。树根在上面,其子树画在下面。如下图所示,其中,Ann,Mary,John是Joe的孩子(children),而Joe是他们的父母(parent)。有相同父母的孩子是兄弟(sibling)。Ann,Mary,John都是兄弟。此外,还有其他术语:孙子(grandchild),祖父(grandparent),祖先(ancestor),后代(descendent)等。树中没有孩子的元素称为叶子(leaf)。图中Ann,Mark,Sue和Chris是树的叶子。

树的另一个常用术语是级(level)。指定树根的级是1,其孩子的级是2,依次类推。上图中Joe的级是1,而Ann,Mary,John的级是2,然后Mark,Sue,Chris的级是3。
元素的度是指其孩子的个数。叶节点的度是0。树的度是其元素度的最大值。所以上图中的度是3。
二叉树
定义:二叉树(binary tree)t是有限个元素的集合(可以为空)。当二叉树非空时,其中有一个称为根的元素,余下的元素(如果有的话)被组成2个二叉树,分别称为t的左子树和右子树。
二叉树和树的根本区别是:
- 二叉树可以为空,树不能为空
- 二叉树中每个元素都恰好有两棵子树(其中一个或两个可能为空)。而树中每个元素可以有若干子树。
- 在二叉树中每个元素的子树都是有序的,也就是说,可以用左、右子树来区别。而树的子树间是无序的。
下图给出了表示数学表达式的二叉树,总共有3个数学表达式。每个操作符可以有一个或两个操作数,左操作数是操作符的左子树,而右操作数则是右子树。树中的叶节点是常量或者变量。

二叉树的特性
特性1: 包含n(n>0)个元素的二叉树边数是n-1。
证明 二叉树中每个元素 (除了根节点)有且只有一个父节点。在子节点与父节点间有且只有一条边,因此边数为n-1。
二叉树的高度或者深度是指该二叉树的层数。
特性2: 若二叉树的高度为h,$h \ge 0$,则该二叉树最少有h个元素,最多有$2^h - 1$个元素。
证明 因为每一层最少要有1个元素,因此元素数最少为h。每元素最多有2个子节点,则第i层节点元素最多为$2^i-1$个,i>0。h=0时,元素的总数为0,也就是$2^0-1$。当h>0时,元素的总数不会超过$\sum_{i=1}^h 2^{i-1}=2^h-1$。
特性3: 包含n个元素的二叉树的高度最大是n,最小是$\left\lceil log_2(n+1) \right\rceil$。
证明 因为每层至少有一个元素,因此高度不会超过n。由特性2,可以得知高度为h的二叉树最多有$2^h-1$个元素。因为$n \le 2^h-1$,因此$h \ge log_2(n+1)$。由于h是整数,所以$h \ge \left\lceil log_2(n+1) \right\rceil$。
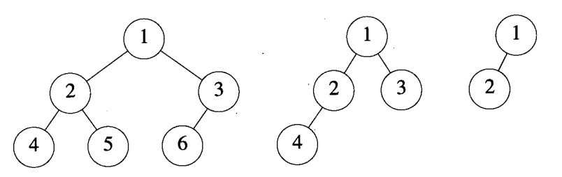
当高度是h的二叉树恰好有$2^h - 1$个元素时,称其为满二叉树(full binary tree)。下图就是一个高度为4的满二叉树。

假设对高度为h的满二叉树中的元素从上到下,从左到右的顺序进行从1到$2^h - 1$进行编号,如上图所示。假设从满二叉树中删除k个元素,其编号为$2^h - i, 1 \le i \le k$,所得到的二叉树称为完全二叉树(complete binary tree)。如下图给出的三棵完全二叉树。注意,满二叉树是完全二叉树的一个特例,并且有n个元素的完全二叉树的深度是$\left\lceil log_2(n+1) \right\rceil$。

在完全二叉树中,一个元素与其孩子的编号有非常好的对应关系。其关系在下面特性4中给出。
特性4: 设完全二叉树中一元素的序号是i,$1 \le i \le n$。则有以下关系成立:
1) 当i=1时,该元素为二叉树的根,若i>1,则该元素父节点的编号是$\left\lfloor i/2 \right\rfloor$。
2) 当2i>n时,该元素没有左子树,否则,其左子树的编号是2i。
3) 若2i+1>n时,该元素没有右子树,否则,其右子树的编号是2i+1。
二叉树描述
公式化描述
二叉树的公式化描述利用特性4。二叉树可以作为缺少了部分元素的完全二叉树。下图给出了二叉树的两个例子。

在公式化描述方法中,按照二叉树对元素的编号方法,将二叉树的元素存储在数组中。上图同时给出了二叉树的公式化描述,即图中右侧的数组表示。
当缺少很多元素时,这种描述方法非常浪费空间。实际上,一个有n个元素的二叉树可能最多需要$2^n-1$的空间来存储。当每个节点都是其他节点的右孩子时,存储空间达到最大。如下图所示的一棵有四个元素的二叉树,这种类型的二叉树称为右斜二叉树。当缺少的元素比较少时,这种描述方法很有效。

链表描述
二叉树最常用的描述方法是用链表或指针。每个元素都用一个有两个指针域的节点表示,这两个域是LeftChild和RightChild。除此两个指针域外,每个节点还有一个data域。其代码实现如下所示。
template
class BinaryTreeNode{
friend void Visit(BinaryTreeNode *);
friend void InOrder(BinaryTreeNode *);
friend void PreOrder(BinaryTreeNode *);
friend void PostOrder(BinaryTreeNode *);
friend void LevelOrder(BinaryTreeNode *);
friend void main(void);
private:
T data;
BinaryTreeNode* LeftChild, *RightChild;
public:
BinaryTreeNode(){
LeftChild = RightChild = 0;
}
BinaryTreeNode(const T& e){
data = e;
LeftChild = RightChild = 0;
}
BinaryTreeNode(const T&e, BinaryTreeNode *l, BinaryTreeNode* r){
data = e;
LeftChild = l;
RightChild = r;
}
};
二叉树的边可以用一个从父节点到子节点的指针来描述。指针放在父节点的指针域中,因为包括n个元素的二叉树恰有n-1条边,所以有2n-(n-1)=n+1个指针域没有值,这些域被值为0。下图给出了公式化描述中第一幅图的二叉树的链表描述。

二叉树中不设置指向父节点的指针一般不会有什么问题,因为在二叉树的大部分函数中并不需要此指针。
二叉树遍历
有四种遍历二叉树的方法:
前3种遍历方法将在下面给出代码实现。
template
void PreOrder(BinaryTreeNode* t){
if (t){
// 访问根节点
Visit(t);
// 前序遍历左子树
PreOrder(t->LeftChild);
// 前序遍历右子树
PreOrder(t->RightChild);
}
}
template
void InOrder(BinaryTreeNode* t){
if (t){
// 中序遍历左子树
InOrder(t->LeftChild);
Visit(t);
InOrder(t->RightChild);
}
}
template
void PostOrder(BinaryTreeNode* t){
if (t){
// 后序遍历左子树
PostOrder(t->LeftChild);
PostOrder(t->RightChild);
Visit(t);
}
}
这三种方法,每个节点的左子树都在其右子树之前遍历。这三种遍历的区别在于对同一个节点在不同时刻进行访问。在进行前序遍历时,每个节点是在其左右子树被访问之前进行访问的;在中序遍历时,首先访问左子树,然后访问子树的根节点,最后访问右子树。在后序遍历时,当左右子树均访问完之后才访问子树的根节点。
下图给出上述三种方法对前文给出的数学表达式分别产生的结果,其中Visit(t)由cout<< t->data;代替。

当对一棵数学表达式树进行前、中、后序遍历时,便分别得到表达式的前缀、中缀和后缀表达式。中缀(infix)形式就是平时书写的数学表达式。使用中缀形式的时候由于没有括号,可能会产生一些歧义,比如对于x+y*z,可以理解为(x+y)*z或者x+(y*z),为了避免这种歧义,可以使用完全括号化的中缀表达式,每个操作符和相应的操作数都用一对括号括起来。下面是改进后的中序遍历算法的代码:
template
void Infix(BinaryTreeNode *t){
// 输出完全括号的中缀表达式
if (t){
cout << "(";
// 左操作数
Infix(t->LeftChild);
// 操作符
cout << t->data;
// 右操作数
Infix(t->RightChild);
cout << ")";
}
}
在后缀(postfix)表达式中,每个操作符跟在操作数之后,操作数从左到右的顺序出现;在前缀(prefix)表达式中,操作符位于操作数之前。前缀和后缀表达式都不会存在歧义,不需要采用括号或者优先级。从左到右或者从右到左扫描表达式并采用操作数栈,可以很容易确定操作数和操作符的关系。若在扫描中遇到一个操作数,把它压入堆栈,遇到一个操作符,则将其与栈顶的操作数相匹配,把这些操作数推出栈,由操作符执行相应的计算,并将所得结果作为操作数压入堆栈。
逐层遍历就是按从顶层到底层的次序访问树中元素,在同一层中,从左到右进行访问。由于遍历中使用的是一个队列而不是栈,因此写一个按层遍历的递归程序很困难。下列程序是采用队列来实现对二叉树进行逐层遍历,队列中的元素指向二叉树节点,这里使用了之前队列章节中使用的类LinkedQueue。
template
void LevelOrder(BinaryTreeNode* t){
// 对*t逐层遍历
LinkedQueue*> Q;
while (t){
Visit(t);
// 将t的右孩子放入队列
if (t->LeftChild)
Q.Add(t->LeftChild);
if (t->RightChild)
Q.Add(t->RightChild);
// 访问下一个节点
try{
Q.Delete(t);
}
catch (OutOfBounds){
return;
}
}
}
上述程序中,首先仅当树非空时,才进入while循环。首先访问根节点,然后将其子节点加到队列中。当队列添加操作失败时,由Add会引发NoMem异常,由于没有捕捉该异常,所以发生该异常时函数将退出。在添加操作成功后,就进行从队列中删除t元素,如果成功,则删除的元素会返回到t中,这个删除的元素也就是下一个要访问的节点。下次访问该节点的时候,又会将其左右子树加入到队列的尾部,然后下一个要访问的就是根节点的右子树(如果存在),如此就可以实现逐层遍历了。而如果删除失败就表明队列为空,也就是意味着遍历的结束。
假设二叉树中元素的数目是n。这四种遍历算法的空间复杂性均为$O(n)$,时间复杂性是$\theta(n)$。当t的高度是n的时候,通过观察期前序、中序和后序遍历时所使用的递归栈空间可得到上述结论。当t是满二叉树的时候,逐层遍历所需要的队列空间是$\theta(n)$。每个遍历算法花在树中每个节点上的时间是$\theta(1)$(假设访问一个节点的时间是$\theta(1)$)。
抽象数据类型BinaryTree
下面给出二叉树的抽象数据类型,这里只列出几个常用的操作:
抽象数据类型 BinaryTree{
实例
元素集合;如果不空,则被划分为根节点、左子树和右子树;
每个子树仍是一个二叉树
操作
Create():创建一个空的二叉树;
IsEmpty:如果二叉树为空,则返回 true ,否则返回false
Root(x):取x为根节点;如果操作失败,则返回false,否则返回true
MakeTree(root,left,right):创建一个二叉树,root作为根节点,left作为左子树, right作为右子树
BreakTree(root,left,right):拆分二叉树
PreOrder:前序遍历
InOrder:中序遍历
PostOrder:后序遍历
LevelOrder:逐层遍历
}
类BinaryTree
下面给出类BinaryTree的C++定义。函数Visit作为遍历函数的参数,以实现不同操作的实现。该定义中使用了链表描述的二叉树。
template
class BinaryTree{
private:
BinaryTreeNode *root; // 根节点指针
void PreOrder(void(*Visit)(BinaryTreeNode*u), BinaryTreeNode* t);
void Inorder(void(*Visit)(BinaryTreeNode*u), BinaryTreeNode* t);
void PostOrder(void(*Visit)(BinaryTreeNode*u), BinaryTreeNode* t);
public:
BinaryTree(){ root = 0; }
~BinaryTree(){};
bool IsEmpty() const{
return ((root) ? false : true);
}
bool Root(T& x)const;
void MakeTree(const T& element, BinaryTree& left, BinaryTree& right);
void BreakTree(const T& element, BinaryTree& left, BinaryTree& right);
void PreOrder(void(*Visit)(BinaryTreeNode*u)){
PreOrder(Visit, root);
}
void Inorder(void(*Visit)(BinaryTreeNode*u)){
Inorder(Visit, root);
}
void PostOrder(void(*Visit)(BinaryTreeNode*u)){
PostOrder(Visit, root);
}
void LevelOrder(void(*Visit)(BinaryTreeNode*u));
};
下面会给出共享成员函数Root,MakeTree,BreakTree的代码。函数MakeTree和BreakTree要求参与操作的三棵树应该互不相同,否则程序会得出错误的结果。
template
bool BinaryTree::Root(T& x)const{
// 取根节点的data域,放入x,如果没有则返回false
if (root){
x = root->data;
return true;
}
else
return false;
}
template
void BinaryTree::MakeTree(const T& element, BinaryTree& left, BinaryTree& right){
// 将left,right和element合并成一棵新树,并且要求left和right及this必须是不同的树。
// 创建新树
root = new BinaryTreeNode(element, left.root, right.root);
// 阻止访问left和right
left.root = right.root = 0;
}
template
void BinaryTree::BreakTree(T& element, BinaryTree& left, BinaryTree& right){
// left,right 和this必须是不同的树
if (!root)
// 空树
throw BadInput();
// 分解树
element = root->data;
left.root = root->LeftChild;
right.root = root->RightChild;
delete root;
root = 0;
}
下面给出四种遍历方法的实现代码。
template
void BinaryTree::PreOrder(void(*Visit)(BinaryTreeNode*u), BinaryTreeNode* t){
// 前序遍历
if (t){
Visit(t);
PreOrder(Visit, t->LeftChild);
PreOrder(Visit, t->RightChild);
}
}
template
void BinaryTree::Inorder(void(*Visit)(BinaryTreeNode*u), BinaryTreeNode* t){
// 中序遍历
if (t){
Inorder(Visit, t->LeftChild);
Visit(t);
Inorder(Visit, t->RightChild);
}
}
template
void BinaryTree::PostOrder(void(*Visit)(BinaryTreeNode*u), BinaryTreeNode* t){
// 后序遍历
if (t){
PostOrder(Visit, t->LeftChild);
PostOrder(Visit, t->RightChild);
Visit(t);
}
}
template
void BinaryTree::LevelOrder(void(*Visit)(BinaryTreeNode* u)){
// 逐层遍历
LinkedQueue*>Q;
BinaryTreeNode *t;
t = root;
while (t){
Visit(t);
// 将t的右孩子放入队列
if (t->LeftChild)
Q.Add(t->LeftChild);
if (t->RightChild)
Q.Add(t->RightChild);
// 访问下一个节点
try{
Q.Delete(t);
}
catch (OutOfBounds){
return;
}
}
}
接下来是对类BinaryTree的简单应用,程序中构造了一个四节点的二叉树,并进行了前序遍历以确定书中的节点数目。
#include
#include"xcept.h"
#include"BinaryTree.h"
using std::cout;
using std::endl;
using std::cin;
int count = 0;
BinaryTreea, x, y, z;
template
void ct(BinaryTreeNode* t){
count++;
}
void main(void){
y.MakeTree(1, a, a);
z.MakeTree(2, a, a);
x.MakeTree(3, y, z);
y.MakeTree(4, x, a);
y.PreOrder(ct);
cout
抽象数据类型及类的扩充
本节将扩充之前给出的抽象数据类型,增加如下二叉树操作:
- PreOutput():按前序方式输出数据域
- InOutput():按中序方式输出数据域
- PostOutput():按后序方式输出数据域
- LevelOutput():逐层输出数据域
- Delete():删除一棵二叉树,释放其节点
- Height():返回树的高度
- Size():返回树中节点数
输出
四个输出函数可以通过定义一个私有静态成员函数Output来实现,该函数代码如下:
static void Output(BinaryTreeNode*t){
cout << t->data << ", ";
}
而四个共享输出函数的形式如下:
void PreOutput(){
PreOrder(Output, root);
cout << endl;
}
void InOutput(){
Inorder(Output, root);
cout << endl;
}
void PostOutput(){
PostOrder(Output, root);
cout << endl;
}
void PreOutput(){
LevelOrder(Output);
cout << endl;
}
由于Visit操作的时间复杂性是$\theta(1)$,对包括n个节点的二叉树来说,每种遍历方法所花费的时间是$\theta(n)$(遍历成功的话),因此每种输出方法的时间复杂性均为$\theta(n)$。
删除
要删除一棵二叉树,需要删除其所有节点,可以通过后序遍历在访问一个节点时,将其删除,也就是先删除左子树,然后右子树,最后删除根。因此函数Delete的形式如下所示:
void Delete(){
PostOrder(Free, root);
root = 0;
}
static void Free(BinaryTreeNode* t){
delete t;
}
其中函数Free是一个私有成员函数。要删除的二叉树有n个节点时,Delete函数的时间复杂性是$\theta(n)$。
计算高度
通过进行后序遍历,可以得到二叉树的高度。首先得到左子树的高度hl,然后得到右子树的高度hr,则树的高度为max{hl,hr}+1。
但是这里不能使用之前定义的后序遍历代码,因为在进行遍历的时候需要有返回值(也就是子树的高度)。所以首先需要在增加一个共享成员函数Height,其代码为:
int Height() const{
return Height(root);
}
然后增加一个私有成员函数Height,其实现如下:
template
int BinaryTree::Height(BinaryTreeNode *t)const{
// 返回树*t的高度
if (!t)
return 0;
// 左子树高度
int hl = Height(t->LeftChild);
// 右子树的高度
int hr = Height(t->RightChild);
if (hl > hr)
return ++hl;
else
return ++hr;
}
上述函数的时间复杂性是$\theta(n)$。
统计节点数
可以用上述四种遍历方法中的任何一种来获取二叉树中的节点数,因为每种遍历方法都对每个节点仅访问一次,只要在访问每个节点的时候将一个全局计数器加1即可。所以首先在类BinaryTree定义外定义一个全局变量:int _count;,然后增加一个共享成员函数Size和私有成员函数Add1,其代码实现如下:
static void Add1(BinaryTreeNode* t){
_count++;
}
int Size(){
_count = 0;
PreOrder(Add1, root);
return _count;
}
函数Size的时间复杂性是$\theta(n)$。
对于类BinaryTree的定义以及测试例子可以查看二叉树
小结
本节内容主要是介绍了树的基本概念以及二叉树的定义、特性和实现代码,包括四种遍历树的方法。