QQBubbleView
Outline
利用三阶贝塞尔曲线模仿QQ空间直播时右下角的礼物冒泡特效
ScreenShot

Usage
- 引入依赖
compile;yasic.library.BubbleView:bubbleview:0.0.4;
- 启动动画
void startAnimation(final int rankWidth, final int rankHeight)
void startAnimation(final int rankWidth, final int rankHeight, int count)
void startAnimation(final int rankWidth, final int rankHeight, int delay, int count)
- 使用默认图片样式
BubbleView setDefaultDrawableList()
- 自定义图片样式
BubbleView setDrawableList(drawableList)
- 设置上升动画持续时间
BubbleView setRiseDuration(int riseDuration)
- 设置初始点相对于底边边距
BubbleView setBottomPadding(int px)
- 设置三个随机初始点的间距
BubbleView setOriginsOffset(int px)
设置缩放动画最大最小比例
BubbleView setScaleAnimation(float maxScale, float minScale)
设置两个上升动画之间的时间间隔
BubbleView setAnimationDelay(int delay)
- 设置图片数目最大最小值
void setMaxHeartNum(int maxHeartNum)
void setMinHeartNum(int minHeartNum)
- 设置每一个view的宽高
BubbleView setItemViewWH(int viewWidth, int viewHeight)
Point
继承自Relativelayout
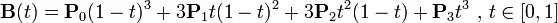
使用三阶贝塞尔曲线模拟运动路径,三阶贝塞尔曲线公式如下

强烈推荐一个模拟贝塞尔曲线的网站,可以在线模拟出想要的曲线myst729.github.io/bezier-curv…