首页
沸点
课程
数据标注
HOT
AI Coding
更多
直播
活动
APP
插件
直播
活动
APP
插件
搜索历史
清空
创作者中心
写文章
发沸点
写笔记
写代码
草稿箱
创作灵感
查看更多
登录
注册
old_six
掘友等级
react高级工程师
做一个积极的躺平者、不急不躁、不卑不亢!
获得徽章 0
动态
文章
专栏
沸点
收藏集
关注
作品
赞
24
文章 2
沸点 22
赞
24
返回
|
搜索文章
old_six
react高级工程师
·
6月前
举报
出售一个腾讯域名:
gocang.com
欢迎私聊
前端开发圈
分享
6
点赞
old_six
react高级工程师
·
6月前
举报
好久没回来了,活跃下。
赞过
分享
3
1
old_six
react高级工程师
·
9月前
举报
mo 🐟。。。。+1
分享
评论
点赞
old_six
react高级工程师
·
9月前
举报
mo 鱼。。。。。
上班摸鱼
分享
评论
点赞
old_six
react高级工程师
·
10月前
举报
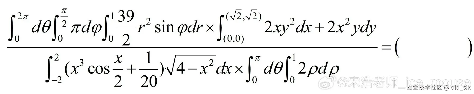
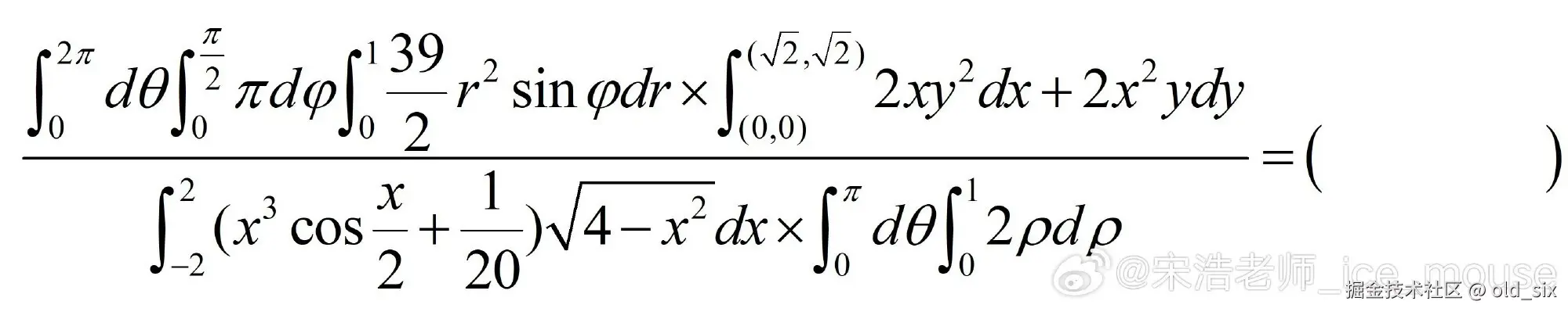
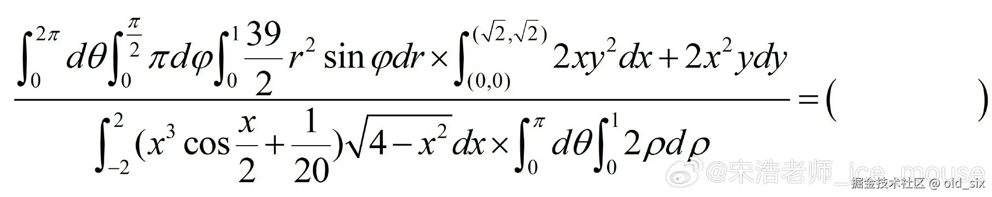
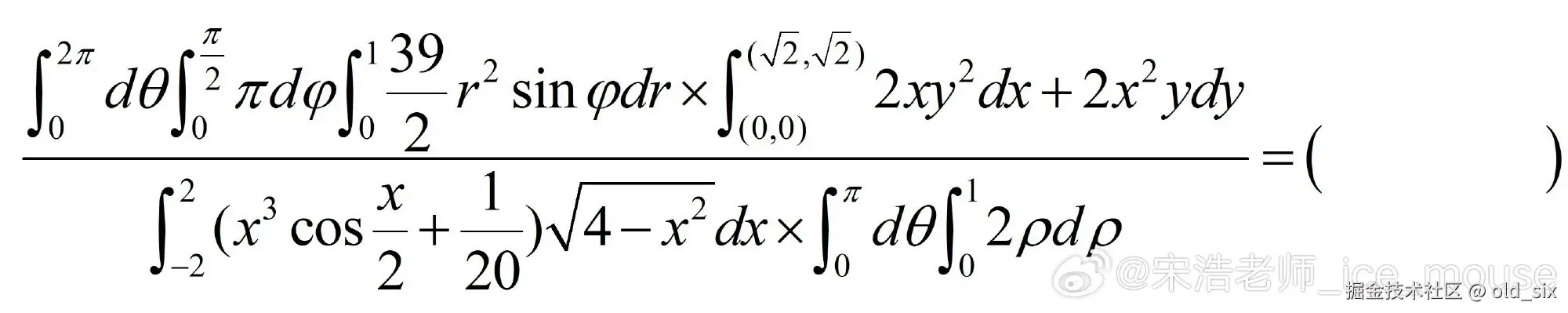
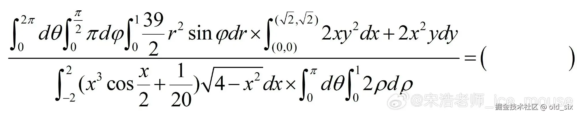
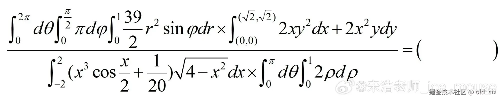
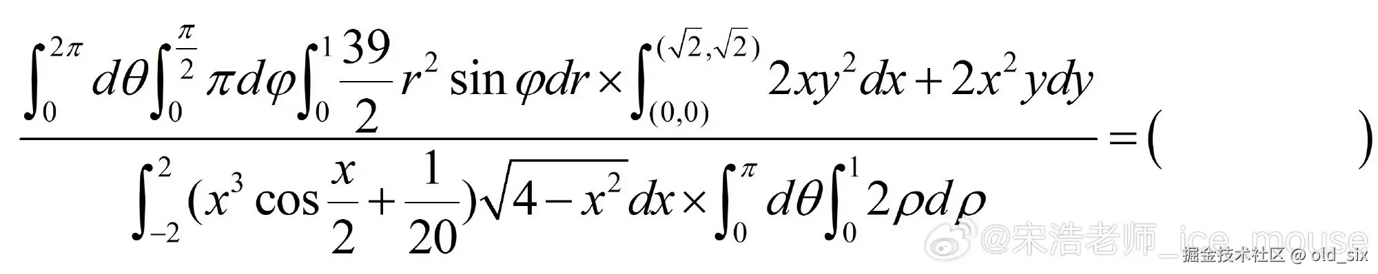
这道题结果是啥??
收起
查看大图
向左旋转
向右旋转
上班摸鱼
赞过
分享
23
1
old_six
react高级工程师
·
10月前
举报
有谁知道这是为啥么?
收起
查看大图
向左旋转
向右旋转
上班摸鱼
分享
8
点赞
old_six
react高级工程师
·
10月前
举报
我明天早上7:00的浦东的飞机,我住的比较远 是直接在机场附近住一晚?还是机场里面呆着?算了下 在酒店时间也就22:00-4:00 感觉有点坑啊 。目前是定了200一晚的酒店
赞过
分享
49
1
old_six
react高级工程师
·
10月前
举报
最强翻垃圾桶,没有之一!
收起
查看大图
向左旋转
向右旋转
等人赞过
分享
4
7
old_six
react高级工程师
·
10月前
举报
踩住下班的小尾巴!发个沸点!我看看谁在加班????
上班摸鱼
赞过
分享
1
3
old_six
react高级工程师
·
10月前
举报
L站佬友集合!!
前端开发圈
赞过
分享
15
2
下一页
个人成就
文章被点赞
1
文章被阅读
463
掘力值
21
关注了
3
关注者
10
收藏集
0
关注标签
0
加入于
2019-11-12