首页
沸点
课程
数据标注
HOT
AI Coding
更多
直播
活动
APP
插件
直播
活动
APP
插件
搜索历史
清空
创作者中心
写文章
发沸点
写笔记
写代码
草稿箱
创作灵感
查看更多
登录
注册
old_six
掘友等级
react高级工程师
做一个积极的躺平者、不急不躁、不卑不亢!
获得徽章 0
动态
文章
专栏
沸点
收藏集
关注
作品
赞
24
文章 2
沸点 22
赞
24
返回
|
搜索文章
old_six
react高级工程师
·
7月前
举报
出售一个腾讯域名:
gocang.com
欢迎私聊
前端开发圈
分享
6
点赞
old_six
react高级工程师
·
7月前
举报
好久没回来了,活跃下。
赞过
分享
3
1
old_six
关注了
_小九
react高级工程师
old_six
赞了这篇文章
CodeSheep
软件开发 @r2coding.com
·
10月前
关注
知名开源项目AList疑似被卖,玩家炸锅了!!
这是昨天发生在开源圈子里的一件事情,在不少开发者论坛和社区里也炸开了锅,相信不少同学也刷到了。 具体怎么回事呢? 原来是知名开源项目 Alist 被爆疑似悄悄出售,原开发者...
37
21
分享
old_six
react高级工程师
·
10月前
举报
mo 🐟。。。。+1
分享
评论
点赞
old_six
react高级工程师
·
10月前
举报
mo 鱼。。。。。
上班摸鱼
分享
评论
点赞
old_six
react高级工程师
·
10月前
举报
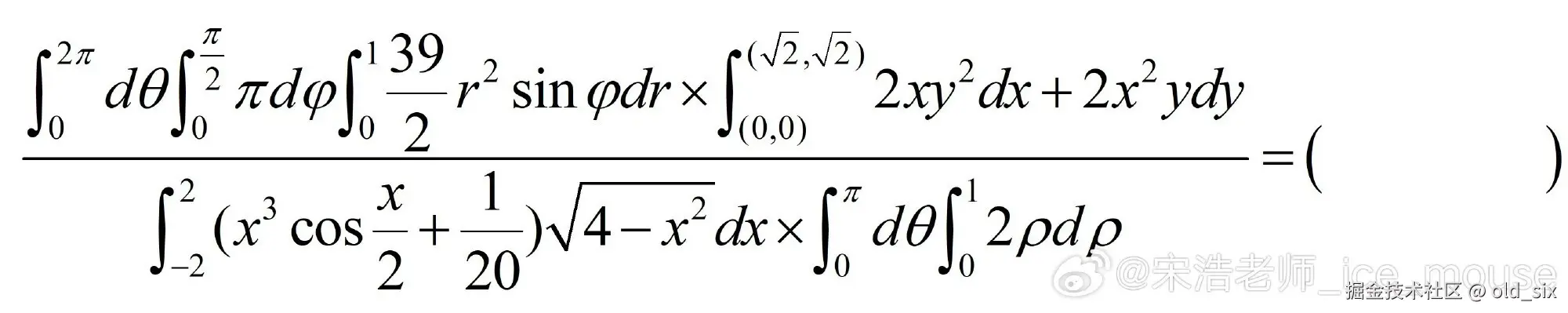
这道题结果是啥??
收起
查看大图
向左旋转
向右旋转
上班摸鱼
赞过
分享
23
1
old_six
react高级工程师
·
10月前
举报
有谁知道这是为啥么?
收起
查看大图
向左旋转
向右旋转
上班摸鱼
分享
8
点赞
old_six
react高级工程师
·
10月前
举报
我明天早上7:00的浦东的飞机,我住的比较远 是直接在机场附近住一晚?还是机场里面呆着?算了下 在酒店时间也就22:00-4:00 感觉有点坑啊 。目前是定了200一晚的酒店
赞过
分享
49
1
old_six
react高级工程师
·
10月前
举报
最强翻垃圾桶,没有之一!
收起
查看大图
向左旋转
向右旋转
等人赞过
分享
4
7
old_six
react高级工程师
·
11月前
举报
踩住下班的小尾巴!发个沸点!我看看谁在加班????
上班摸鱼
赞过
分享
1
3
old_six
react高级工程师
·
11月前
举报
L站佬友集合!!
前端开发圈
赞过
分享
15
2
old_six
赞了这篇沸点
ikonan
11月前
举报
老铁们, 翻译了《101个React技巧》,很实用的技巧。 值得一阅。
译:101个React技巧#1组件组织
juejin.cn
前端开发圈
赞过
分享
1
2
old_six
react高级工程师
·
1年前
举报
获得了手机支架
我 & 掘金
分享
评论
点赞
old_six
关注了
木星的卫星
react高级工程师
old_six
react高级工程师
·
1年前
举报
XDM 家用摄像头 高清的 推荐一个 !
上班摸鱼
分享
8
点赞
old_six
react高级工程师
·
1年前
关注
2024前端开发趋势解析:技术选型与实战指南
引言 为什么关注趋势:前端技术迭代迅速,从框架到工具链的变革直接影响开发效率和职业竞争力。 本文目标:梳理当前生态核心方向,提供技术选型思路与实战建议。 一、框架之争:Re...
0
评论
分享
old_six
react高级工程师
·
1年前
关注
前端开发:连接用户与数字世界的桥梁
在数字化浪潮席卷全球的今天,前端开发已从简单的页面布局演变为构建用户体验的核心技术。作为用户与数字产品交互的第一触点,前端开发者通过代码将设计转化为可感知的界面,在技术与艺...
1
评论
分享
old_six
react高级工程师
·
1年前
举报
XDM,我在上海,想买一辆二手车练手。有没有一起的
上班摸鱼
等人赞过
分享
75
5
下一页
个人成就
文章被点赞
1
文章被阅读
476
掘力值
21
关注了
3
关注者
10
收藏集
0
关注标签
0
加入于
2019-11-12