线性回归
回归问题:目标是预测连续数值(体重),而不是分类标签
术语:
比如,已知身高,求体重,这里,体重是因变量,身高是自变量。
- K:斜率(weight 权重)
- X:自变量
- b:截距(bias 偏置)
公式是:Y=kX+b,这只是一元线程回归
我们需要算出来,斜率是多少,截距是多少
回归方程函数
为什么还有这个公式呢,因为正常情况下不可能只有一个特征。
这 T 表示 k 的转置(把列向量变成行向量,用于点积)
公式:y=kx+b
公式的由来
假设已知有多个特征,如下,所以一元线程回归

所以变成了如下:
y=k1x1+k2x2+⋅⋅⋅+knxn+b
如何把 b 截距引进来的,所以要在最开始加一个 w0,表示 截距b,x0 用 1 表示。这样再实现矩阵相乘就可以了。
k=k0k1k2⋮kn,x=x0x1x2⋮xn
线性回归案例:
- 钢轨伸缩长度与温度
- 昆虫鸣叫次数与天气
- 国内GDP与双十一销售额
线性回归API
from sklearn.linear_model import LinearRegression
x_train = [[160], [166], [172], [174], [180]]
y_train = [56.3, 60.6, 65.1, 68.5, 75]
x_test = [[176]]
estimator = LinearRegression()
estimator.fit(x_train, y_train)
y_predict = estimator.predict(x_test)
print(y_predict)
print(estimator.coef_)
print(estimator.intercept_)
这里不画拟合回归线。
损失函数
上面我们能得知,用API生成一条拟合回归线。
我们一眼能看出红色的直线。但是这个线是怎么求出来的呢?
是通过:误差 = 预测值 - 真实值,越小越好
所以需要损失函数,衡量每个样本的预测值与真实值效果的函数,也叫代价函数、成本函数、目标函数
更好的拟合所有的点,也就是误差最小,误差和最小
损失函数计算方式
我们来计算出来,斜率(权重)和截距(偏置)
- 损失函数:用来描述每个样本值 和 预测值之间的关系的
- 误差 = 预测值 - 真实值
已知:

拿 点5 举例子
- kx + b
- 代入 = 180k + b
- 再减去真实值 = 180k + b - 75
得出公式是:kx+b−y,其中 y 是真实值。
注意下图:w 其实是 k,这里写错了

这样计算之后,可能有的结果是正的,有的结果是负的。
所以又分为三种计算方式
- 最小二乘:每个样本的误差值的平方和
- 均方误差:最小二乘 / 样本数
- 平均绝对值误差:每个样本的误差的绝对值的平均值
最小二乘解法如下
根据上面的例子
损失函数L(k,b)=(160k+b−56.3)2+(166k+b−60.6)2+(172k+b−65.1)2+(174k+b−68.5)2+(180k+b−75)2
为了简便运算,这里先固定 b = -100
于是公式变成了如下:
损失函数L(k,b=−100)=(160k+(−100)−56.3)2+(166k+(−100)−60.6)2+(172k+(−100)−65.1)2+(174k+(−100)−68.5)2+(180k+(−100)−75)2
我们先计算这一小块
已知:(160k+(−100)−56.3)2
合并常数项 = (160k−156.3)2
此时我们发现这就是 (a−b2) = a2−2ab+b2
这是完全平方公式哈。
继续计算
=(160k−156.3)2+(166k−160.6)2+(172k−165.1)2+(174k−168.5)2+(180k−175)2
=((160k)2−2∗160k∗156.3+156.32)+((166k)2−2∗166k∗160.6+160.62)+((172k)2−2∗172k∗165.1+165.12)+((174k)2−2∗174k∗168.5+168.52)+((180k)2−2∗180k∗175+1752)
下面我用第一个演示一下,每一个都要计算,有点多
分别计算 ((160k)2−2∗160k∗156.3+156.32) 的平方项、一次项、常数项
- 平方项 = 160∗160∗k2=25600k2
- 一次项 = −2∗160∗156.3∗k=−50016k
- 常数项 = 156.3∗156.3=24,429.69
所以等于
=25600k−50016k+24429.69
但是这里是不能直接这样的,要把所有的项目合起来,平方项、一次项、常数项相加,最后计算。
一共五个数据点计算后
=25600k2−50016k+24429.69=27556k2−53319.2k+25792.36=29584k2−56794.4k+27258.01=30276k2−58638k+28392.25=32400k2−63000k+302625
平方项、一次项、常数项的总结果 = 145,416k2−281,767.6k+408,497.31
计算 K 值
k=−(−281,767.6)/(2∗145,416)=0.968832865709413
或者直接:281767.6/2/145416
总结
缺点:当样本点比较多的时候,值会非常大。
总结
最小二乘
每个样本的误差值的平方和
损失函数J(w,b)=∑i=0m(h(x(i))−y(i))2
均方误差 (Mean-Square Error, MSE)
每个样本的误差值的平方和的平均值
方块圈住的就是最小二乘

i 表示具体的第几个样本
损失函数J(w,b)=m1∑i=0m(h(x(i))−y(i))2
平均绝对值误差 (Mean Absolute Error , MAE)
每个样本的误差值的绝对值的和的平均值
损失函数J(w,b)=m1∑0mh(x(i))−y(i)
线性回归问题求解需要什么?
损失函数越小,越好

- 损失函数可用来描述输出(预测值)和观测结果(真实值)效果,可衡量模型效果好坏
- 不同的任务比如分类、回归、聚类问题,一般会采用各自的损失函数
- 线性回归求解一般需要数据、假设函数、损失函数、损失函数优化方法等部分,相互配合共同完成
复习
复习导数
当函数 𝑦=𝑓(𝑥) 的自变量 𝑥 在一点 x0 上产生一个增量 Δ𝑥 时,函数输出值的增量 Δ𝑦 与自变量增量 Δ𝑥 的比值在 Δ𝑥 趋于0 时的极限 𝐴 如果存在,𝐴 即为在 𝑥 处的导数,记作f′(xo)

导数的几何意义
函数 y=f(x) 在点 x0 处的导数的几何意义,就是曲线 y=f(x) 在点 P(x0,f(x0)) 处的切线的斜率,即曲线 y=f(x) 在P(x0,f(x0))处的切线的斜率是f'(x_0)。
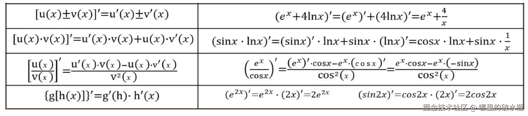
常见函数的导数

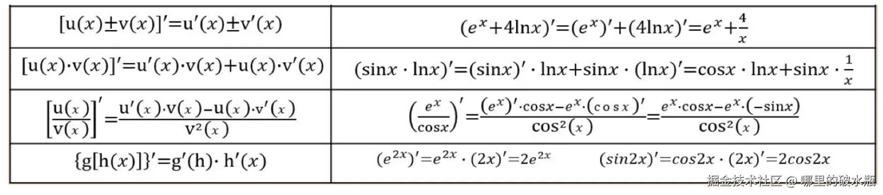
导数的四则运算

直接套公式
第二个我说一下,公式是, (a * b)' = a' * b + a * b'
第四个 (e2x)′
- = 带入公式,ex 的导还是ex,所以 e2x = e2x
- = 求2x的导,还是 2 = 2e2x
题
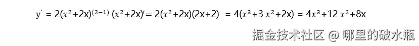
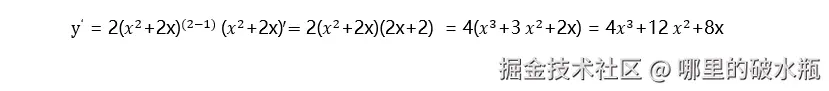
举个例子:计算该函数y = 〖"(" 𝑥^2 "+2x)" 〗^2 的导函数



偏导
导数求极值
导数为0的位置是函数的极值点
- 求函数 y=x2−4x+5 的极小值
求导法:对x求导,令导数
- = 0:y′=2x−4=0
- x = 2
- 将 x = 2 带入,4 - 8 + 5 = 1
- 所以y极小值 = 1
多变量导数求解
Z是关于 x 和 y 的函数记成z(x,y),求解 z=(x−2)2+(y−3)2 的极小值
这题要同时求 x 和 y 的两个未知数,所以思路是,先把 x 和 y 同时解出来,方式就是 乘法法则
首先先计算x,此时 y - 3² = 0
- (x - 2)²
- (x - 2)' * (x - 2)'
- (x - 2)' * (x - 2) + (x - 2) * (x - 2)'
- 1 * (x - 2) + (x - 2) * 1
- (x - 2) + (x - 2)
- x - x = 2x,-2-2 = -4
- 2x - 4
- 2(x - 2) = 0
- 两边除以 2 = x - 2 = 0
- x = 2
计算 y,此时 x - 2² = 0
- (y - 3)²
- (y - 3)'(y - 3) + (y - 3)(y - 3)'
- (y - 3) + (y - 3)
- 2y - 6
- 2(y - 3)
- y - 3 = 0
- y = 3
上面的有些复杂
例子:Z=x2+2xy−3y2
- x = 2x + 2y(3y²是常数)
- y = 2x - 6y(x2是常数)


向量和矩阵
向量运算
向量是有大小和方向
几何意义上表示:向量(1,1), 向量(1,2)

向量基运算

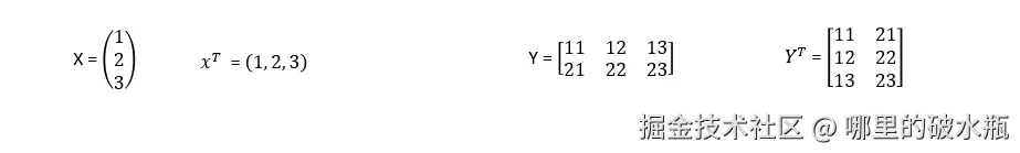
向量矩阵转置 Transpose

范数Norm
范数(norm)是数学中的一种基本概念,具有长度的意义
- 1范数(L1范数)-向量中各个元素绝对值之和
- 2范数(L2范数)-向量的模长,每个元素平方求和,再开平方根
- p-范数:向量中每一个元素p幂求和,在开p次根
L1范数
xT=(1,2,−3)‖x‖1=∣1∣+∣2∣+∣−3∣=6
L2范数
xT=(1,2,−3)∣∣x∣∣2=2112+22+(−3)2=√14
xT=(1,2,−3)
注意:向量的转置@向量
xTx=12+22+(−3)2=14
X为向量:xTx与∣∣x∣∣22 是一样的
Lp范数:
∥x∥p=(∣x1∣p+∣x2∣p+⋯+∣xn∣p)p1
矩阵 Matrix 1
矩阵是数学中的一种基本概念,表达m行n列的数据等
矩阵在机器学习中的表达

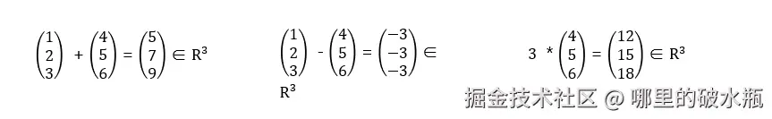
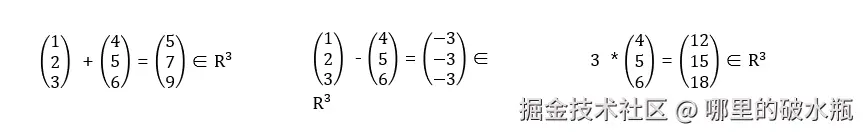
矩阵加法

总结:用 A 的每一行,都要乘以 B 的每一列。
矩阵乘法 :对应行列元素相乘,然后再加和再一起


术语:
- 方阵:行列数一样
- 对称方阵:一种特殊的方阵,沿着主对角线,其元素对称 aij = aji
可以发现,1,2 的元素是2,2,1 的元素也是 2

特点:对角线为 1 其他为 0

矩阵乘法的性质

矩阵的逆
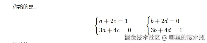
例子:通过 A 和 I 求出 B


已知结果是

等价于如下图

此时我们可以求解出 ac,bd 等于多少。
求 C 结果如下:
a + 2c = 1
3a + 4c = 0
首先根据 a + 2c = 1,可以改成 a = 1 - 2c
将a = 1 - 2c 代入 3a + 4c = 0
- = 3(1 - 2c) + 4c = 0
- = 3 - 6c + 4c = 0
- 合并同类项
- -6c + 4c = -2c
- 3 - 2c = 0
解C:
- 3 - 2c = 0
- 得知:3 - 2(3/2) = 0
- 3 - 3 = 0
- c = 1.5
求 a 结果如下
- a = 1 - 2c
- a = 1 - 2 * 1.5
- a = -2

总结
矩阵转置的性质

损失函数最小值求法
正规方程法
前面我们要知道,通过最小二乘,可以计算出如下

现在我们将来计算 B 的值
例子:
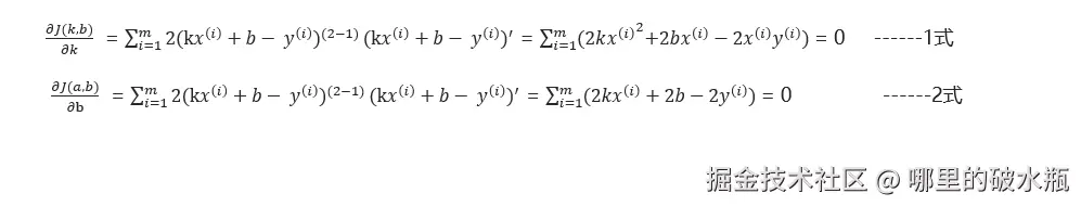
一元线性回归损失函数 J(k,b)=∑i=1m(h(x(i))−y(i))2
上面的式子还等于 = ∑i=1m(kx(i)+b−y(i))2
的极小值
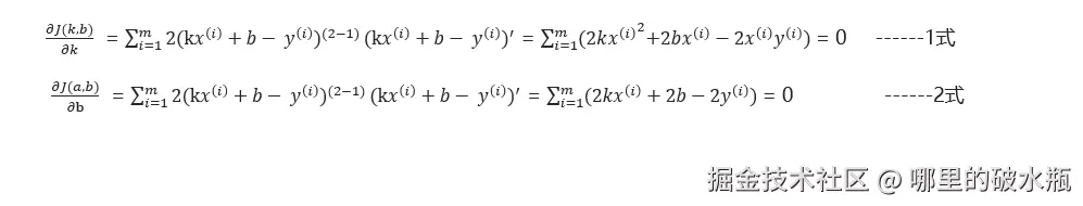
损失函数是关于k、b的函数,对k、b分别求导设置成 0,得到2个方程
这是一个复杂的公式,省略常数实数
对 k 求导
= (kx(i)+b−y(i))2
= 2(kx(i)+b−y(i))(kx(i)+b−y(i))′
= 2(kx(i)+b−y(i))x(i)
= 2kx(i)2+2bx(i)−2x(i)y(i)=0
对 b 求导
= (kx(i)+b−y(i))2
= 2(kx(i)+b−y(i))(kx(i)+b−y(i))′
= 2(kx(i)+b−y(i))⋅1
= 2(kx(i)+b−y(i))
= 2kx(i)+2b−2y(i)=0
完整答案

解析来继续变形,对上面的一式和二式
上面的答案完整的都有一个求和,因为样本数量是多个。
K 的求导结果变形
= ∑i=1m2kx(i)2+∑i=1m2bx(i)−∑i=1m2x(i)y(i)=0
= 同时除以2
= k∑i=1mx(i)2+∑i=1mbx(i)−∑i=1mx(i)y(i)=0
B 的求导结果变形
= ∑i=1m2(kx(i)+2b−2y(i))=0
= k∑i=0mx(i)+∑(i=0)mb−∑(i=0)my(i)=0
= k∑i=0mx(i)+bm−∑(i=0)my(i)=0
数据带入
已知 x 是身高,y 是体重

对 K 求
= k∗(1602+1662+1722+1742+1802)+b∗(160+166+172+174+180)–(160∗56.3+166∗60.6+172∗65.1+174∗68.5+180∗75)=0
= 145416∗k+852∗b−55683.8=0
对 b 求
= k∗(160+166+172+174+180)+b∗5−(56.3+60.6+65.1+68.5+75)=0
= 852∗k+5∗b−325.5=0
根据k、b进行预测:
多元线程回归(了解)




