面试题 02.07. 链表相交

31 阅读2分钟

面试题 02.07. 链表相交

相关企业

提示

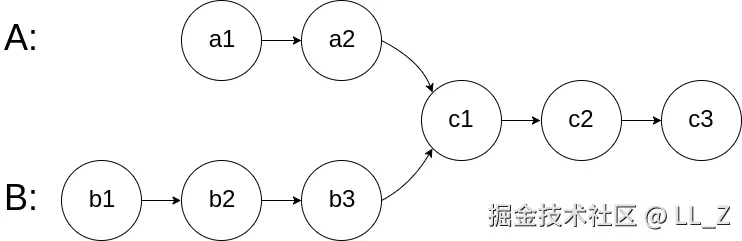
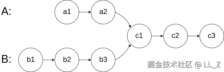
给你两个单链表的头节点 headA 和 headB ,请你找出并返回两个单链表相交的起始节点。如果两个链表没有交点,返回 null 。

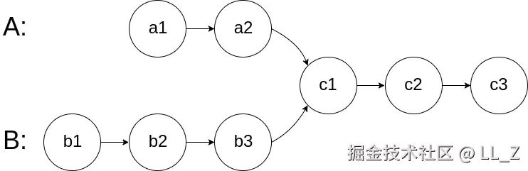
图示两个链表在节点 c1 开始相交

题目数据 保证 整个链式结构中不存在环。

注意,函数返回结果后,链表必须 保持其原始结构 。

 

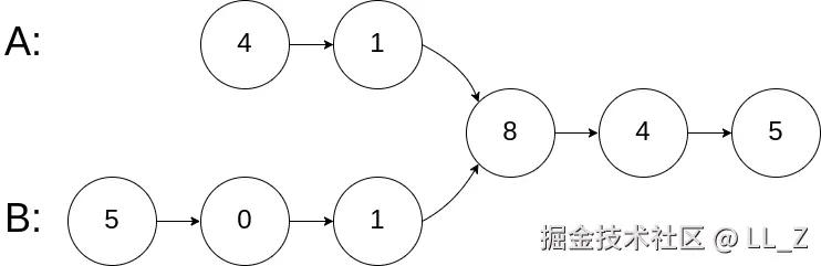
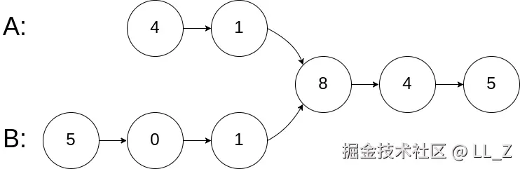
示例 1:

输入: intersectVal = 8, listA = [4,1,8,4,5], listB = [5,0,1,8,4,5], skipA = 2, skipB = 3
输出: Intersected at '8'
解释: 相交节点的值为 8 (注意,如果两个链表相交则不能为 0)。
从各自的表头开始算起,链表 A[4,1,8,4,5],链表 B[5,0,1,8,4,5]。
在 A 中,相交节点前有 2 个节点;在 B 中,相交节点前有 3 个节点。

示例 2:

输入: intersectVal = 2, listA = [0,9,1,2,4], listB = [3,2,4], skipA = 3, skipB = 1
输出: Intersected at '2'
解释: 相交节点的值为 2 (注意,如果两个链表相交则不能为 0)。
从各自的表头开始算起,链表 A[0,9,1,2,4],链表 B[3,2,4]。
在 A 中,相交节点前有 3 个节点;在 B 中,相交节点前有 1 个节点。

示例 3:

输入: intersectVal = 0, listA = [2,6,4], listB = [1,5], skipA = 3, skipB = 2
输出: null
解释: 从各自的表头开始算起,链表 A[2,6,4],链表 B[1,5]。
由于这两个链表不相交,所以 intersectVal 必须为 0,而 skipA 和 skipB 可以是任意值。
这两个链表不相交,因此返回 null 。

 

提示:

  • listA 中节点数目为 m
  • listB 中节点数目为 n
  • 0 <= m, n <= 3 * 104
  • 1 <= Node.val <= 105
  • 0 <= skipA <= m
  • 0 <= skipB <= n
  • 如果 listA 和 listB 没有交点,intersectVal 为 0
  • 如果 listA 和 listB 有交点,intersectVal == listA[skipA + 1] == listB[skipB + 1]

 

进阶: 你能否设计一个时间复杂度 O(n) 、仅用 O(1) 内存的解决方案?

解题答案

/**
 * Definition for singly-linked list.
 * public class ListNode {
 *     int val;
 *     ListNode next;
 *     ListNode(int x) {
 *         val = x;
 *         next = null;
 *     }
 * }
 */
public class Solution {
    public ListNode getIntersectionNode(ListNode headA, ListNode headB) {
        ListNode curA = headA, curB = headB;
        while (curA != curB) {
            curA = curA == null ? headB: curA.next;
            curB = curB == null ? headA: curB.next;
        }
        return curA;
    }
}