从0手撸Transformer

329 阅读16分钟

研究人工智能的人应该都知道Transformer,Transformer可以说是人工智能的基石,无论是自然语言处理经典模型Bert,还是现在火的一塌糊涂的GPT,他们的核心正是Transformer,说实话,虽然研究方向是深度学习,但是我对Transformer一直没有透彻的理解,所以这次痛定思痛,决定一定要把Transformer搞明白。但是网上大部分的材料要么草草讲一下Transformer架构,要么讲的过于理论,所以我想把我自己学习的、理解的记录下来,和大家一起学习,正好作为我的一个新的系列。

该系列从以下几个方面由浅入深的深入剖析一下Transformer:

一览Transformer整体架构
Transformer——Attention怎么实现集中注意力
Transformer——FeedForward模块在干什么?
从0开始实现Transformer

所有相关源码示例、流程图、模型配置与知识库构建技巧,我也将持续更新在Github:LLMHub,欢迎关注收藏!

本篇文章是Transformer系列的最后一篇,我们知道原理仅仅是开始,知道如何实现并知道如何应用才是目的,本篇文章我们就从0到1实现Transformer,实现中我们要使用pytorch框架,所以需要大家配置环境,如果有任何问题,欢迎与我交流!

1. 位置编码(Positional Encoding)

  • 输入:词嵌入矩阵x,形状为(batch_size, seq_len, d_model)
  • 处理
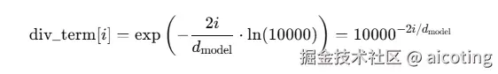
    • 计算一个固定的、预定义的正余弦位置编码矩阵PE,形状为 (1,max_len,d_model)。计算公式为

      其中包含除法变乘法的一个小trick
    • 根据序列长度,从PE 中选取对应位置编码。
    • 将位置编码与输入词嵌入逐元素相加,注入位置信息。
  • 输出:带有位置编码的词嵌入,形状不变。
class PositionalEncoding(nn.Module):
    def __init__(self, d_model, max_len=5000):
        """
        初始化位置编码模块

        参数:
        - d_model: 每个位置的编码维度,等于Transformer中每个token的embedding维度
        - max_len: 支持的序列最大长度,默认是5000
        """
        super().__init__()
        # 创建一个全为0的张量,用于存储位置编码,形状为 (max_len, d_model)
        pe = torch.zeros(max_len, d_model)  # 每一行对应一个位置的位置编码
        # 生成位置索引,从0到 max_len-1,形状为 (max_len, 1)
        position = torch.arange(0, max_len, dtype=torch.float32).unsqueeze(1)

        # 计算不同维度对应的位置缩放因子
        # div_term是 (d_model // 2,) 大小的张量,对应偶数维度的指数项2i,其中包含除法变乘法的一个小trick
        div_term = torch.exp(torch.arange(0, d_model, 2).float() * (-math.log(10000.0) / d_model))

        # 将位置乘以缩放因子,然后取正弦函数赋值到pe的偶数列
        # 对于维度0,2,4,...,使用sin(position / (10000^(2i/d_model)))
        pe[:, 0::2] = torch.sin(position * div_term)

        # 将位置乘以缩放因子,然后取余弦函数赋值到pe的奇数列
        # 对于维度1,3,5,...,使用cos(position / (10000^(2i/d_model)))
        pe[:, 1::2] = torch.cos(position * div_term)

        # 增加一维用于 batch 维度(广播用),形状变为 (1, max_len, d_model)
        # 方便后续加到输入的嵌入向量上(输入 shape 是 (batch_size, seq_len, d_model))
        pe = pe.unsqueeze(0)

        # 将位置编码张量注册为buffer,不作为模型参数参与训练
        # 它是常量,但在模型保存和加载时会保留下来
        self.register_buffer('pe', pe)

    def forward(self, x):
        """
        前向传播:将位置编码加到输入嵌入上

        参数:
        - x: 输入的嵌入张量,形状为 (batch_size, seq_len, d_model)

        返回:
        - 加入位置编码后的张量,形状相同 (batch_size, seq_len, d_model)
        """
        # 只取对应序列长度的部分位置编码,加到输入上
        # self.pe[:, :x.size(1), :] 的 shape 是 (1, seq_len, d_model)
        x = x + self.pe[:, :x.size(1), :]
        return x
        

2. Scaled Dot-Product Attention(缩放点积注意力)

  • 输入:查询矩阵Q、键矩阵K、值矩阵V,形状均为(batch_size, head_num, seq_len,d_k) ,可选掩码mask
  • 处理
    • 计算注意力分数矩阵:scores = QKT/sqrt(d_k),形状(batch, head, seq, seq)
    • 如果有掩码,则将掩码位置对应的分数置为-<font style="color:rgba(0, 0, 0, 0.8);">∞</font> ,防止关注这些位置。
    • 对分数矩阵做 softmax,得到注意力权重矩阵。
    • 用权重矩阵加权值矩阵V,得到注意力输出。
  • 输出
    • 注意力输出,形状(batch, head, seq, dk)
    • 注意力权重矩阵,用于可视化或分析。

def scaled_dot_product_attention(q, k, v, mask=None):
    """
    参数:
    - q: 查询张量 (batch_size, num_heads, seq_len, d_k)
    - k: 键张量     (batch_size, num_heads, seq_len, d_k)
    - v: 值张量     (batch_size, num_heads, seq_len, d_k)
    - mask: 掩码张量,可选。用于屏蔽某些位置(比如 padding 或未来信息)

    返回:
    - output: 注意力加权的值结果 (batch_size, num_heads, seq_len, d_k)
    - attn: 注意力权重分布 (batch_size, num_heads, seq_len, seq_len)
    """

    # 获取最后一维的大小,也就是每个头中 q/k/v 的特征维度 d_k
    d_k = q.size(-1)

    # Step 1: 点积计算注意力得分
    # Q * K^T,结果维度为 (batch_size, num_heads, seq_len, seq_len)
    # 表示第 i 个查询与第 j 个键的相似度
    scores = torch.matmul(q, k.transpose(-2, -1)) / math.sqrt(d_k)

    # Step 2: 掩码处理(用于屏蔽非法位置或防止信息泄露)
    if mask is not None:
        # 掩码为0的位置设为 -inf,softmax后为0(完全屏蔽)
        scores = scores.masked_fill(mask == 0, float('-inf'))

    # Step 3: 对最后一个维度做 softmax,得到注意力权重
    # 每一行代表某个 token 对所有 key 的注意力分布(加权系数)
    attn = torch.softmax(scores, dim=-1)

    # Step 4: 将注意力权重乘以值向量 V,得到最终输出
    # 类似于“从所有V中加权提取信息”
    output = torch.matmul(attn, v)

    return output, attn

3. 多头注意力机制(Multi-Head Attention)

  • 输入:查询、键、值矩阵Q,K,V,形状(batch,seq,d_model) ,可选掩码。
  • 处理
    • 通过线性层分别映射Q,K,V 到多头空间,每个头的维度为 d_k = d_model/num_heads
    • 将映射结果 reshape 并 transpose,得到形状(batch, head_num, seq,d_k)
    • 对每个头调用缩放点积注意力,计算注意力输出。
    • 将所有头的输出拼接(concatenate)回形状 (batch, seq, d_model)
    • 经过线性映射输出最终结果。
  • 输出:多头注意力的融合输出,形状(batch, seq, d_model)

class MultiHeadAttention(nn.Module):
    def __init__(self, d_model, num_heads):
        """
        参数:
        - d_model: 模型的特征维度(如512)
        - num_heads: 注意力头的数量(如8)

        注意:d_model 必须能整除 num_heads,否则每个头的维度无法均分
        """
        super().__init__()

        assert d_model % num_heads == 0  # 保证每个头的维度是整数

        self.d_k = d_model // num_heads  # 每个头的 key/query/value 的维度
        self.num_heads = num_heads       # 多头数量

        # 为 Q、K、V 分别定义线性映射层(将 d_model -> d_model)
        self.w_q = nn.Linear(d_model, d_model)
        self.w_k = nn.Linear(d_model, d_model)
        self.w_v = nn.Linear(d_model, d_model)

        # 输出线性映射(将多头结果拼接后再投影回 d_model)
        self.w_o = nn.Linear(d_model, d_model)

    def forward(self, q, k, v, mask=None):
        """
        参数:
        - q, k, v: 查询、键、值张量,形状通常是 (batch_size, seq_len, d_model)
        - mask: 注意力掩码,用于屏蔽某些位置(如padding或未来信息)

        返回:
        - output: 多头注意力结果,形状为 (batch_size, seq_len, d_model)
        - attn: 所有头的注意力权重 (batch_size, num_heads, seq_len, seq_len)
        """

        batch_size = q.size(0)  # 获取batch大小

        # Step 1:Q, K, V 线性变换 + 分头
        # 原始形状:(batch_size, seq_len, d_model)
        # 变成:(batch_size, seq_len, num_heads, d_k) 再转置为:
        #       (batch_size, num_heads, seq_len, d_k)
        q = self.w_q(q).view(batch_size, -1, self.num_heads, self.d_k).transpose(1, 2)
        k = self.w_k(k).view(batch_size, -1, self.num_heads, self.d_k).transpose(1, 2)
        v = self.w_v(v).view(batch_size, -1, self.num_heads, self.d_k).transpose(1, 2)

        # Step 2:对每个头计算 Scaled Dot-Product Attention
        attn_output, attn = scaled_dot_product_attention(q, k, v, mask)
        # attn_output: (batch_size, num_heads, seq_len, d_k)

        # Step 3:合并多头结果
        # 首先将多头的输出转置回来:(batch_size, seq_len, num_heads, d_k)
        # 然后拼接在一起 -> (batch_size, seq_len, d_model)
        attn_output = attn_output.transpose(1, 2).contiguous().view(
            batch_size, -1, self.num_heads * self.d_k
        )

        # Step 4:输出线性层映射到 d_model
        output = self.w_o(attn_output)

        return output, attn

4. 前馈网络(Feed Forward Network)

  • 输入:形状(batch, seq, d_model) 的张量。
  • 处理
    • 通过两层线性层,中间有 ReLU 激活和 dropout。
    • 第一个线性层将维度扩展到d_ff,增强表达能力。
    • 第二个线性层将维度降回d_model ,保持和输入维度一致,方便残差连接。
  • 输出:形状(batch, seq, d_model) 的张量。

class FeedForward(nn.Module):
    def __init__(self, d_model, d_ff=2048, dropout=0.1):
        """
        前馈全连接网络(Position-wise Feed-Forward Network)

        参数:
        - d_model: 输入和输出的维度(与Transformer中保持一致)
        - d_ff: 隐藏层的维度,通常远大于 d_model(例如2048)
        - dropout: Dropout 比例,用于防止过拟合
        """
        super().__init__()
        # 第一个线性层:把 d_model 映射到更高维(d_ff)
        self.linear1 = nn.Linear(d_model, d_ff)
        # Dropout 层
        self.dropout = nn.Dropout(dropout)
        # 第二个线性层:再将 d_ff 映射回 d_model
        self.linear2 = nn.Linear(d_ff, d_model)
        # 激活函数 ReLU,非线性变换
        self.relu = nn.ReLU()

    def forward(self, x):
        """
        输入:
        - x: 输入张量,形状为 (batch_size, seq_len, d_model)

        输出:
        - 与输入形状相同的张量 (batch_size, seq_len, d_model)
        """
        # 执行顺序:线性 → ReLU → Dropout → 线性
        return self.linear2(self.dropout(self.relu(self.linear1(x))))

5. 编码器层(Encoder Layer)

  • 输入:形状(batch, seq, d_model 的张量和可选掩码。
  • 处理
    • 自注意力模块:输入与自己进行多头自注意力计算,得到注意力输出。
    • 残差连接与 LayerNorm:将自注意力输出与输入相加,再做归一化。
    • 前馈网络模块:对归一化结果进行前馈网络计算。
    • 残差连接与 LayerNorm:将前馈网络输出与前面结果相加,再做归一化。
  • 输出:编码器层的输出,形状(batch, seq, d_model)

class EncoderLayer(nn.Module):
    def __init__(self, d_model, num_heads, d_ff=2048, dropout=0.1):
        """
        Transformer 编码器层(Encoder Layer)

        参数:
        - d_model: 模型维度(输入/输出维度)
        - num_heads: 多头注意力的头数
        - d_ff: 前馈网络的隐藏层维度
        - dropout: dropout概率
        """
        super().__init__()
        # 多头自注意力机制
        self.self_attn = MultiHeadAttention(d_model, num_heads)
        # 前馈全连接网络
        self.ffn = FeedForward(d_model, d_ff, dropout)

        # 两个 LayerNorm 层:用于残差连接后的归一化
        self.norm1 = nn.LayerNorm(d_model)
        self.norm2 = nn.LayerNorm(d_model)

        # 两个 Dropout 层:用于正则化
        self.dropout1 = nn.Dropout(dropout)
        self.dropout2 = nn.Dropout(dropout)

    def forward(self, x, mask=None):
        """
        输入:
        - x: 输入张量,形状为 (batch_size, seq_len, d_model)
        - mask: 掩码张量(用于防止注意力关注填充位置)

        输出:
        - 与输入形状相同的张量 (batch_size, seq_len, d_model)
        """
        # ===== 第一步:多头自注意力 =====
        # Q=K=V=x,自注意力
        attn_out, _ = self.self_attn(x, x, x, mask)
        # 残差连接 + dropout + LayerNorm
        x = self.norm1(x + self.dropout1(attn_out))

        # ===== 第二步:前馈网络 =====
        ffn_out = self.ffn(x)
        # 残差连接 + dropout + LayerNorm
        x = self.norm2(x + self.dropout2(ffn_out))

        return x

6. 编码器(Encoder)

  • 输入:源序列词索引张量(batch, src_seq, d_model),可选掩码。
  • 处理
    • 词嵌入:将词索引映射成词向量。
    • 位置编码:给词嵌入添加位置编码。
    • dropout处理。
    • 依次通过多层编码器层,逐步抽取和融合序列特征。
  • 输出:编码器最后一层输出,形状(batch, src_seq, d_model)

class Encoder(nn.Module):
    def __init__(self, vocab_size, d_model, num_layers, num_heads, d_ff=2048, max_len=5000, dropout=0.1):
        """
        Transformer 编码器整体模块

        参数:
        - vocab_size: 词表大小
        - d_model: 模型维度(词嵌入和输出维度)
        - num_layers: 编码器层数
        - num_heads: 多头注意力头数
        - d_ff: 前馈网络隐藏层维度
        - max_len: 序列最大长度(用于位置编码)
        - dropout: dropout比例
        """
        super().__init__()
        # 词嵌入层,将词ID映射成d_model维的向量
        self.embedding = nn.Embedding(vocab_size, d_model)
        # 位置编码层,给序列中每个位置注入位置信息
        self.pos_encoding = PositionalEncoding(d_model, max_len)
        # 多个编码器层堆叠,组成深层编码器
        self.layers = nn.ModuleList([
            EncoderLayer(d_model, num_heads, d_ff, dropout) for _ in range(num_layers)
        ])
        # 输入dropout,防止过拟合
        self.dropout = nn.Dropout(dropout)

    def forward(self, src, mask=None):
        """
        参数:
        - src: 输入序列,形状 (batch_size, seq_len),元素是词索引
        - mask: 掩码张量,形状适配于注意力模块

        返回:
        - 编码器输出,形状 (batch_size, seq_len, d_model)
        """
        # 词嵌入后乘以 sqrt(d_model) 缩放因子,提高稳定性
        x = self.embedding(src) * math.sqrt(self.embedding.embedding_dim)
        # 加上位置编码
        x = self.pos_encoding(x)
        # 输入dropout
        x = self.dropout(x)
        # 依次通过每一层编码器层
        for layer in self.layers:
            x = layer(x, mask)
        return x

7. 解码器层(Decoder Layer)

  • 输入:目标序列输入张量,编码器输出,源和目标掩码。
  • 处理
    • Masked 自注意力:对目标序列自身进行多头注意力,带因果掩码,防止看到未来词。
    • 残差连接与 LayerNorm。
    • 编码器-解码器注意力:目标作为查询,编码器输出作为键值,融合编码上下文信息。
    • 残差连接与 LayerNorm。
    • 前馈网络及残差连接与 LayerNorm。
  • 输出:解码器层输出,形状(batch, tgt_seq, d_model)

class DecoderLayer(nn.Module):
    def __init__(self, d_model, num_heads, d_ff=2048, dropout=0.1):
        """
        Transformer 解码器层(Decoder Layer)

        参数:
        - d_model: 模型维度(输入/输出维度)
        - num_heads: 多头注意力头数
        - d_ff: 前馈网络隐藏层维度
        - dropout: dropout比例
        """
        super().__init__()
        # Masked 多头自注意力(防止模型看到未来信息)
        self.self_attn = MultiHeadAttention(d_model, num_heads)
        # 编码器-解码器多头注意力,用于关注编码器输出
        self.cross_attn = MultiHeadAttention(d_model, num_heads)
        # 前馈网络
        self.ffn = FeedForward(d_model, d_ff, dropout)

        # 三个 LayerNorm 层,分别用于三处残差连接的归一化
        self.norm1 = nn.LayerNorm(d_model)
        self.norm2 = nn.LayerNorm(d_model)
        self.norm3 = nn.LayerNorm(d_model)

        # 三个 dropout 层
        self.dropout1 = nn.Dropout(dropout)
        self.dropout2 = nn.Dropout(dropout)
        self.dropout3 = nn.Dropout(dropout)

    def forward(self, x, enc_out, src_mask=None, tgt_mask=None):
        """
        输入:
        - x: 当前解码器输入 (batch_size, tgt_seq_len, d_model)
        - enc_out: 编码器输出 (batch_size, src_seq_len, d_model)
        - src_mask: 编码器输入掩码,用于防止关注填充等无效位置
        - tgt_mask: 解码器输入掩码,通常是因果掩码,防止预测时看到未来词

        输出:
        - 解码器层输出 (batch_size, tgt_seq_len, d_model)
        """
        # ===== 第一步:masked 多头自注意力 =====
        # 只允许关注当前位置及之前位置,防止信息泄露
        attn1, _ = self.self_attn(x, x, x, tgt_mask)
        x = self.norm1(x + self.dropout1(attn1))  # 残差 + LayerNorm

        # ===== 第二步:编码器-解码器多头注意力 =====
        # 解码器当前状态作为 query,编码器输出作为 key 和 value
        attn2, _ = self.cross_attn(x, enc_out, enc_out, src_mask)
        x = self.norm2(x + self.dropout2(attn2))  # 残差 + LayerNorm

        # ===== 第三步:前馈网络 =====
        ffn_out = self.ffn(x)
        x = self.norm3(x + self.dropout3(ffn_out))  # 残差 + LayerNorm

        return x

8. 解码器(Decoder)

  • 输入:目标序列词索引张量,编码器输出,源和目标掩码。
  • 处理
    • 词嵌入、位置编码、dropout。
    • 多层解码器层堆叠,逐层融合目标上下文和编码器信息。
  • 输出:解码器最终输出,形状(batch, tgt_seq, d_model)

class Decoder(nn.Module):
    def __init__(self, vocab_size, d_model, num_layers, num_heads, d_ff=2048, max_len=5000, dropout=0.1):
        """
        Transformer 解码器整体模块

        参数:
        - vocab_size: 目标词表大小
        - d_model: 模型维度(词嵌入和输出维度)
        - num_layers: 解码器层数
        - num_heads: 多头注意力头数
        - d_ff: 前馈网络隐藏层维度
        - max_len: 序列最大长度(用于位置编码)
        - dropout: dropout比例
        """
        super().__init__()
        # 词嵌入层,将词ID映射成 d_model 维向量
        self.embedding = nn.Embedding(vocab_size, d_model)
        # 位置编码层,为序列中的每个位置添加位置信息
        self.pos_encoding = PositionalEncoding(d_model, max_len)
        # 堆叠多个解码器层
        self.layers = nn.ModuleList([
            DecoderLayer(d_model, num_heads, d_ff, dropout) for _ in range(num_layers)
        ])
        # dropout 层,防止过拟合
        self.dropout = nn.Dropout(dropout)

    def forward(self, tgt, enc_out, src_mask=None, tgt_mask=None):
        """
        参数:
        - tgt: 解码器输入序列,形状 (batch_size, tgt_seq_len),元素为目标词索引
        - enc_out: 编码器输出,形状 (batch_size, src_seq_len, d_model)
        - src_mask: 编码器输入掩码(可选)
        - tgt_mask: 解码器输入掩码,通常为因果掩码,防止看到未来词(可选)

        返回:
        - 解码器输出,形状 (batch_size, tgt_seq_len, d_model)
        """
        # 词嵌入后乘以 sqrt(d_model) 缩放因子,提高数值稳定性
        x = self.embedding(tgt) * math.sqrt(self.embedding.embedding_dim)
        # 添加位置编码
        x = self.pos_encoding(x)
        # 输入 dropout
        x = self.dropout(x)
        # 依次通过各解码器层,融合编码器上下文信息
        for layer in self.layers:
            x = layer(x, enc_out, src_mask, tgt_mask)
        return x

9. Transformer 整体模型

  • 输入:源序列词索引src、目标序列词索引tgt
  • 处理
    • 生成源序列掩码(padding mask)。
    • 生成目标序列掩码(padding + 因果mask)。
    • 编码器处理源序列,得到上下文编码。
    • 解码器处理目标序列并利用编码器上下文,得到隐状态。
    • 线性层映射解码器输出到词表维度,用于后续softmax预测。
  • 输出:目标词表概率分布 logits,形状(batch, tgt_seq, tgt_vocab_size)

class Transformer(nn.Module):
    def __init__(self, src_vocab_size, tgt_vocab_size, d_model=512, num_layers=6, num_heads=8, d_ff=2048, max_len=5000, dropout=0.1):
        """
        Transformer整体模型

        参数:
        - src_vocab_size: 源语言词表大小
        - tgt_vocab_size: 目标语言词表大小
        - d_model: 模型维度(词嵌入及隐藏层维度)
        - num_layers: 编码器和解码器的层数
        - num_heads: 多头注意力头数
        - d_ff: 前馈网络隐藏层维度
        - max_len: 最大序列长度(位置编码使用)
        - dropout: dropout比例
        """
        super().__init__()
        # 编码器模块
        self.encoder = Encoder(src_vocab_size, d_model, num_layers, num_heads, d_ff, max_len, dropout)
        # 解码器模块
        self.decoder = Decoder(tgt_vocab_size, d_model, num_layers, num_heads, d_ff, max_len, dropout)
        # 最后的线性层,将模型输出映射到目标词表大小,供softmax分类
        self.linear_out = nn.Linear(d_model, tgt_vocab_size)

    def make_src_mask(self, src):
        """
        生成源序列掩码(padding mask)

        输入:
        - src: (batch_size, src_len) 源序列词ID

        输出:
        - mask: (batch_size, 1, 1, src_len) bool张量
          True表示对应位置是有效词,False表示padding部分需mask掉
        """
        mask = (src != 0).unsqueeze(1).unsqueeze(2)  # 扩展维度用于广播
        return mask

    def make_tgt_mask(self, tgt):
        """
        生成目标序列掩码,结合padding mask和因果mask

        输入:
        - tgt: (batch_size, tgt_len) 目标序列词ID

        输出:
        - tgt_mask: (batch_size, 1, tgt_len, tgt_len) bool张量
          True表示对应位置可见,False表示需屏蔽(padding或未来词)
        """
        batch_size, tgt_len = tgt.size()
        # padding mask,True为有效词
        tgt_mask = (tgt != 0).unsqueeze(1).unsqueeze(2)
        # 因果mask(下三角矩阵),防止看到未来词
        nopeak_mask = torch.tril(torch.ones((tgt_len, tgt_len), device=tgt.device)).bool()
        # 同时满足padding有效且因果mask
        tgt_mask = tgt_mask & nopeak_mask
        return tgt_mask

    def forward(self, src, tgt):
        """
        Transformer前向传播

        输入:
        - src: (batch_size, src_len) 源序列词ID
        - tgt: (batch_size, tgt_len) 目标序列词ID

        返回:
        - output: (batch_size, tgt_len, tgt_vocab_size) 解码器输出对应词表的logits
        """
        # 构造掩码
        src_mask = self.make_src_mask(src)
        tgt_mask = self.make_tgt_mask(tgt)

        # 编码器前向
        enc_out = self.encoder(src, src_mask)
        # 解码器前向,利用编码器输出和掩码
        dec_out = self.decoder(tgt, enc_out, src_mask, tgt_mask)
        # 线性映射到词表维度,供后续softmax计算概率
        output = self.linear_out(dec_out)
        return output

10.模型测试

这样所有代码就完成了,下面我们可以编写代码进行测试。

# 源语言词汇大小 src_vocab_size = 1000

# 目标语言词汇大小 tgt_vocab_size = 1000

# 序列长度为 src_seq_len = 10,tgt_seq_len = 9

# batch size = 2


import torch

# 设定参数
src_vocab_size = 1000
tgt_vocab_size = 1000
d_model = 512
num_layers = 2
num_heads = 8
batch_size = 2
src_seq_len = 10
tgt_seq_len = 9

# 实例化模型
model = Transformer(src_vocab_size, tgt_vocab_size, d_model, num_layers, num_heads)

# 生成随机输入(整数token,范围在[1, vocab_size))
# 注意0一般作为padding token,不填充这里直接用非0随机数
src_input = torch.randint(1, src_vocab_size, (batch_size, src_seq_len))
tgt_input = torch.randint(1, tgt_vocab_size, (batch_size, tgt_seq_len))

# 模型推理
output = model(src_input, tgt_input)

print("输出维度:", output.shape)
# 输出维度应为 (batch_size, tgt_seq_len, tgt_vocab_size)

如果你看到了这儿,恭喜你,你可以自己动手试试啦!

关于深度学习和大模型相关的知识和前沿技术更新,请关注公众号算法coting