大模型 LLM 的架构介绍

168 阅读1小时+

目录

大模型 LLM 最全八股和答案1

1、目前 主流的开源模型体系 有哪些?4

2、prefix LM 和 causal LM 区别是什么?4

3、涌现能力是啥原因?5

4、大模型 LLM 的架构介绍?5

5、什么是 LLMs 复读机问题?6

6、为什么会出现 LLMs 复读机问题?7

7、如何缓解 LLMs 复读机问题?8

8、llama 输入句子长度理论上可以无限长吗?9

9、什么情况用 Bert 模型,什么情况用 LLaMA、ChatGLM 类大模型,咋选?10

10、各个专业领域是否需要各自的大模型来服务?11

11、如何让大模型处理更长的文本?12

12、为什么大模型推理时显存涨的那么多还一直占着?12

13、大模型在 gpu 和 cpu 上推理速度如何?13

14、推理速度上,int8 和 fp16 比起来怎么样?14

15、大模型有推理能力吗?14

16、大模型生成时的参数怎么设置?15

17、有哪些省内存的大语言模型训练/微调/推理方法?16

18、如何让大模型输出合规化16

19、应用模式变更17

20、大模型怎么评测?18

21、大模型的 honest 原则是如何实现的?1922、模型如何判断回答的知识是训练过的已知的知识,怎么训练这种能力?2023、奖励模型需要和基础模型一致吗?2024、 RLHF 在实践过程中存在哪些不足?2125、如何解决 人工产生的偏好数据集成本较高,很难量产问题?2226、如何解决三个阶段的训练(SFT->RM->PPO)过程较长,更新迭代较慢问题?2227、 如何解决 PPO 的训练过程同时存在 4 个模型(2 训练,2 推理),对计算资源的要求较高 问题?2328、如何给 LLM 注入领域知识?2429、如果想要快速体验各种模型,该怎么办?2530、预训练数据 Token 重复 是否影响 模型性能?2631、什么是位置编码?2632、什么是绝对位置编码?2733、什么是相对位置编码?2834、旋转位置编码 RoPE 思路是什么?2835、旋转位置编码 RoPE 有什么优点?2936、什么是 长度外推问题?3037、长度外推问题 的 解决方法 有哪些?3038、ALiBi (Attention with Linear Biases) 思路是什么?3139、ALiBi (Attention with Linear Biases) 的偏置矩阵是什么?有什么作用?3140、ALiBi (Attention with Linear Biases) 有什么优点?3241、Layer Norm 的计算公式写一下?3342、RMS Norm 的计算公式写一下?3343、RMS Norm 相比于 Layer Norm 有什么特点?3444、Deep Norm 思路?341. 输入数据:将输入数据传递给网络的第一层。343. 激活函数:在归一化层之后应用激活函数,以引入非线性变换。3445、写一下 Deep Norm 代码实现?3446、Deep Norm 有什么优点?3647、 LN 在 LLMs 中的不同位置 有什么区别么?如果有,能介绍一下区别么?3648、LLMs 各模型分别用了 哪种 Layer normalization?3749、介绍一下 FFN 块 计算公式?3750、介绍一下 GeLU 计算公式?3751、介绍一下 Swish 计算公式?3852、介绍一下 使用 GLU 线性门控单元的 FFN 块 计算公式?3853、介绍一下 使用 GeLU 的 GLU 块 计算公式?3854、介绍一下 使用 Swish 的 GLU 块 计算公式?39

1、目前 主流的开源模型体系 有哪些?

目前主流的开源 LLM(语言模型)模型体系包括以下几个:

  1. GPT(Generative Pre-trained Transformer)系列:由 OpenAI 发布的一系列基于 Transformer 架构的语言模型,包括 GPT、GPT-2、GPT-3 等。GPT 模型通过在大规模无标签文本上进行预训练,然后在特定任务上进行微调,具有很强的生成能力和语言理解能力。
  2. BERT( Bidirectional Encoder Representations from Transformers): 由 Google 发布的一种基于Transformer 架构的双向预训练语言模型。BERT 模型通过在大规模无标签文本上进行预训练,然后在下游任务上进行微调,具有强大的语言理解能力和表征能力。
  3. XLNet:由 CMU 和 Google Brain 发布的一种基于 Transformer 架构的自回归预训练语言模型。XLNet 模型通过自回归方式预训练,可以建模全局依赖关系,具有更好的语言建模能力和生成能力。
  4. RoBERTa:由 Facebook 发布的一种基于 Transformer 架构的预训练语言模型。RoBERTa 模型在 BERT 的基础上进行了改进,通过更大规模的数据和更长的训练时间,取得了更好的性能。
  5. T5(Text-to-Text Transfer Transformer):由 Google 发布的一种基于 Transformer 架构的多任务预训练语言模型。T5 模型通过在大规模数据集上进行预训练,可以用于多种自然语言处理任务,如文本分类、机器翻译、问答等。

这些模型在自然语言处理领域取得了显著的成果,并被广泛应用于各种任务和应用中。

2、prefix LM 和 causal LM 区别是什么?

Prefix LM(前缀语言模型)和 Causal LM(因果语言模型)是两种不同类型的语言模型,它们的区别在于生成文本的方式和训练目标。

  1. Prefix LM:前缀语言模型是一种生成模型,它在生成每个词时都可以考虑之前的上下文信息。在生成时, 前缀语言模型会根据给定的前缀(即部分文本序列)预测下一个可能的词。这种模型可以用于文本生成、机器翻译 等任务。
  2. Causal LM:因果语言模型是一种自回归模型,它只能根据之前的文本生成后续的文本,而不能根据后续的文本生成之前的文本。在训练时,因果语言模型的目标是预测下一个词的概率,给定之前的所有词作为上下文。这 种模型可以用于文本生成、语言建模等任务。

总结来说,前缀语言模型可以根据给定的前缀生成后续的文本,而因果语言模型只能根据之前的文本生成后续的文本。它们的训练目标和生成方式略有不同,适用于不同的任务和应用场景。

3、涌现能力是啥原因?

大模型的涌现能力主要是由以下几个原因造成的:

  1. 数据量的增加:随着互联网的发展和数字化信息的爆炸增长,可用于训练模型的数据量大大增加。更多的 数据可以提供更丰富、更广泛的语言知识和语境,使得模型能够更好地理解和生成文本。
  2. 计算能力的提升:随着计算硬件的发展,特别是图形处理器(GPU)和专用的 AI 芯片(如 TPU)的出现, 计算能力大幅提升。这使得训练更大、更复杂的模型成为可能,从而提高了模型的性能和涌现能力。
  3. 模型架构的改进:近年来,一些新的模型架构被引入,如 Transformer,它在处理序列数据上表现出色。这些新的架构通过引入自注意力机制等技术,使得模型能够更好地捕捉长距离的依赖关系和语言结构,提高了模型 的表达能力和生成能力。
  4. 预训练和微调的方法:预训练和微调是一种有效的训练策略,可以在大规模无标签数据上进行预训练,然 后在特定任务上进行微调。这种方法可以使模型从大规模数据中学习到更丰富的语言知识和语义理解,从而提高模 型的涌现能力。

综上所述,大模型的涌现能力是由数据量的增加、计算能力的提升、模型架构的改进以及预训练和微调等因素共同作用的结果。这些因素的进步使得大模型能够更好地理解和生成文本,为自然语言处理领域带来了显著的进展。

4、大模型 LLM 的架构介绍?

LLM(Large Language Model,大型语言模型)是指基于大规模数据和参数量的语言模型。具体的架构可以有多种选择,以下是一种常见的大模型 LLM 的架构介绍:

  1. Transformer 架构:大模型 LLM 常使用 Transformer 架构,它是一种基于自注意力机制的序列模型。Transformer 架构由多个编码器层和解码器层组成,每个层都包含多头自注意力机制和前馈神经网络。这种架构可以捕捉长距离的依赖关系和语言结构,适用于处理大规模语言数据。
  2. 自注意力机制(Self-Attention):自注意力机制是 Transformer 架构的核心组件之一。它允许模型在生成每个词时,根据输入序列中的其他词来计算该词的表示。自注意力机制能够动态地为每个词分配不同的权重,从而 更好地捕捉上下文信息。
  3. 多头注意力(Multi-Head Attention):多头注意力是自注意力机制的一种扩展形式。它将自注意力机制应用多次,每次使用不同的权重矩阵进行计算,得到多个注意力头。多头注意力可以提供更丰富的上下文表示,增 强模型的表达能力。
  4. 前馈神经网络(Feed-Forward Network):在 Transformer 架构中,每个注意力层后面都有一个前馈神经网络。前馈神经网络由两个全连接层组成,通过非线性激活函数(如 ReLU)进行变换。它可以对注意力层输出的表示进行进一步的映射和调整。
  5. 预训练和微调:大模型 LLM 通常采用预训练和微调的方法进行训练。预训练阶段使用大规模无标签数据, 通过自监督学习等方法进行训练,使模型学习到丰富的语言知识。微调阶段使用有标签的特定任务数据,如文本生 成、机器翻译等,通过有监督学习进行模型的微调和优化。

需要注意的是,大模型 LLM 的具体架构可能会因不同的研究和应用而有所不同。上述介绍的是一种常见的架构,但实际应用中可能会有一些变体或改进。

5、什么是 LLMs 复读机问题?

LLMs 复读机问题指的是大型语言模型(LLMs)在生成文本时出现的一种现象,即模型倾向于无限地复制输入的文本或者以过度频繁的方式重复相同的句子或短语。这种现象使得模型的输出缺乏多样性和创造性,给用户带来了不好的体验。

复读机问题可能出现的原因包括:

  1. 数据偏差:大型语言模型通常是通过预训练阶段使用大规模无标签数据进行训练的。如果训练数据中存在 大量的重复文本或者某些特定的句子或短语出现频率较高,模型在生成文本时可能会倾向于复制这些常见的模式。
  2. 训练目标的限制:大型语言模型的训练通常是基于自监督学习的方法,通过预测下一个词或掩盖词来学习 语言模型。这样的训练目标可能使得模型更倾向于生成与输入相似的文本,导致复读机问题的出现。
  3. 缺乏多样性的训练数据:虽然大型语言模型可以处理大规模的数据,但如果训练数据中缺乏多样性的语言 表达和语境,模型可能无法学习到足够的多样性和创造性,导致复读机问题的出现。

为了解决复读机问题,可以采取以下策略:

  1. 多样性训练数据:在训练阶段,尽量使用多样性的语料库来训练模型,避免数据偏差和重复文本的问题。
  2. 引入噪声:在生成文本时,可以引入一些随机性或噪声,例如通过采样不同的词或短语,或者引入随机的 变换操作,以增加生成文本的多样性。
  3. 温度参数调整:温度参数是用来控制生成文本的多样性的一个参数。通过调整温度参数的值,可以控制生 成文本的独创性和多样性,从而减少复读机问题的出现。
  4. 后处理和过滤:对生成的文本进行后处理和过滤,去除重复的句子或短语,以提高生成文本的质量和多样 性。

需要注意的是,复读机问题是大型语言模型面临的一个挑战,解决这个问题是一个复杂的任务,需要综合考虑数据、训练目标、模型架构和生成策略等多个因素。目前,研究人员和工程师们正在不断努力改进和优化大型语言模型,以提高其生成文本的多样性和创造性。

6、为什么会出现 LLMs 复读机问题?

出现 LLMs 复读机问题可能有以下几个原因:

  1. 数据偏差:大型语言模型通常是通过预训练阶段使用大规模无标签数据进行训练的。如果训练数据中存在 大量的重复文本或者某些特定的句子或短语出现频率较高,模型在生成文本时可能会倾向于复制这些常见的模式。
  2. 训练目标的限制:大型语言模型的训练通常是基于自监督学习的方法,通过预测下一个词或掩盖词来学习 语言模型。这样的训练目标可能使得模型更倾向于生成与输入相似的文本,导致复读机问题的出现。
  3. 缺乏多样性的训练数据:虽然大型语言模型可以处理大规模的数据,但如果训练数据中缺乏多样性的语言 表达和语境,模型可能无法学习到足够的多样性和创造性,导致复读机问题的出现。
  4. 模型结构和参数设置:大型语言模型的结构和参数设置也可能对复读机问题产生影响。例如,模型的注意 力机制和生成策略可能导致模型更倾向于复制输入的文本。

为了解决复读机问题,可以采取以下策略:

  1. 多样性训练数据:在训练阶段,尽量使用多样性的语料库来训练模型,避免数据偏差和重复文本的问题。
  2. 引入噪声:在生成文本时,可以引入一些随机性或噪声,例如通过采样不同的词或短语,或者引入随机的 变换操作,以增加生成文本的多样性。
  3. 温度参数调整:温度参数是用来控制生成文本的多样性的一个参数。通过调整温度参数的值,可以控制生 成文本的独创性和多样性,从而减少复读机问题的出现。
  4. 后处理和过滤:对生成的文本进行后处理和过滤,去除重复的句子或短语,以提高生成文本的质量和多样 性。

需要注意的是,复读机问题是大型语言模型面临的一个挑战,解决这个问题是一个复杂的任务,需要综合考虑数据、训练目标、模型架构和生成策略等多个因素。目前,研究人员和工程师们正在不断努力改进和优化大型语言模型,以提高其生成文本的多样性和创造性。

7、如何缓解 LLMs 复读机问题?

为了缓解 LLMs 复读机问题,可以尝试以下方法:

  1. 多样性训练数据:在训练阶段,使用多样性的语料库来训练模型,避免数据偏差和重复文本的问题。这可 以包括从不同领域、不同来源和不同风格的文本中获取数据。
  2. 引入噪声:在生成文本时,引入一些随机性或噪声,例如通过采样不同的词或短语,或者引入随机的变换 操作,以增加生成文本的多样性。这可以通过在生成过程中对模型的输出进行采样或添加随机性来实现。
  3. 温度参数调整:温度参数是用来控制生成文本的多样性的一个参数。通过调整温度参数的值,可以控制生 成文本的独创性和多样性。较高的温度值会增加随机性,从而减少复读机问题的出现。
  4. Beam 搜索调整:在生成文本时,可以调整 Beam 搜索算法的参数。Beam 搜索是一种常用的生成策略, 它在生成过程中维护了一个候选序列的集合。通过调整 Beam 大小和搜索宽度,可以控制生成文本的多样性和创造性。
  5. 后处理和过滤:对生成的文本进行后处理和过滤,去除重复的句子或短语,以提高生成文本的质量和多样 性。可以使用文本相似度计算方法或规则来检测和去除重复的文本。
  6. 人工干预和控制:对于关键任务或敏感场景,可以引入人工干预和控制机制,对生成的文本进行审查和筛 选,确保生成结果的准确性和多样性。

需要注意的是,缓解 LLMs 复读机问题是一个复杂的任务,没有一种通用的解决方案。不同的方法可能适用于不同的场景和任务,需要根据具体情况进行选择和调整。此外,解决复读机问题还需要综合考虑数据、训练目标、模型架构和生成策略等多个因素,需要进一步的研究和实践来提高大型语言模型的生成文本多样性和创造性。

8、llama 输入句子长度理论上可以无限长吗?

理论上来说,LLMs(大型语言模型)可以处理任意长度的输入句子,但实际上存在一些限制和挑战。下面是一些相关的考虑因素:

  1. 计算资源:生成长句子需要更多的计算资源,包括内存和计算时间。由于 LLMs 通常是基于神经网络的模型,计算长句子可能会导致内存不足或计算时间过长的问题。
  2. 模型训练和推理:训练和推理长句子可能会面临一些挑战。在训练阶段,处理长句子可能会导致梯度消失或梯度爆炸的问题,影响模型的收敛性和训练效果。在推理阶段,生成长句子可能会增加模型的错误率和生成时间。
  3. 上下文建模:LLMs 是基于上下文建模的模型,长句子的上下文可能会更加复杂和深层。模型需要能够捕捉长句子中的语义和语法结构,以生成准确和连贯的文本。

尽管存在这些挑战,研究人员和工程师们已经在不断努力改进和优化 LLMs,以处理更长的句子。例如,可以采用分块的方式处理长句子,将其分成多个较短的片段进行处理。此外,还可以通过增加计算资源、优化模型结构和参数设置,以及使用更高效的推理算法来提高 LLMs 处理长句子的能力。值得注意的是,实际应用中,长句子的处理可能还受到应用场景、任务需求和资源限制等因素的影响。因此,在使用 LLMs 处理长句子时,需要综合考虑这些因素,并根据具体情况进行选择和调整。

9、什么情况用Bert 模型,什么情况用LLaMA、ChatGLM 类大模型,咋选?

选择使用哪种大模型,如 Bert、LLaMA 或 ChatGLM,取决于具体的应用场景和需求。下面是一些指导原则:

  1. Bert 模型:Bert 是一种预训练的语言模型,适用于各种自然语言处理任务,如文本分类、命名实体识别、语义相似度计算等。如果你的任务是通用的文本处理任务,而不依赖于特定领域的知识或语言风格,Bert 模型通常是一个不错的选择。Bert 由一个 Transformer 编码器组成,更适合于 NLU 相关的任务。
  2. LLaMA 模型:LLaMA(Large Language Model Meta AI)包含从 7B 到 65B 的参数范围,训练使用多达 14,000 亿 tokens 语料,具有常识推理、问答、数学推理、代码生成、语言理解等能力。Bert 由一个 Transformer 解码器组成。训练预料主要为以英语为主的拉丁语系,不包含中日韩文。所以适合于英文文本生成的任务。
  3. ChatGLM 模型:ChatGLM 是一个面向对话生成的语言模型,适用于构建聊天机器人、智能客服等对话系统。如果你的应用场景需要模型能够生成连贯、流畅的对话回复,并且需要处理对话上下文、生成多轮对话等, ChatGLM 模型可能是一个较好的选择。ChatGLM 的架构为 Prefix decoder,训练语料为中英双语,中英文比例

为 1:1。所以适合于中文和英文文本生成的任务。

在选择模型时,还需要考虑以下因素:

  • 数据可用性:不同模型可能需要不同类型和规模的数据进行训练。确保你有足够的数据来训练和微调所选 择的模型。
  • 计算资源:大模型通常需要更多的计算资源和存储空间。确保你有足够的硬件资源来支持所选择的模型的 训练和推理。
  • 预训练和微调:大模型通常需要进行预训练和微调才能适应特定任务和领域。了解所选择模型的预训练和 微调过程,并确保你有相应的数据和时间来完成这些步骤。

最佳选择取决于具体的应用需求和限制条件。在做出决策之前,建议先进行一些实验和评估,以确定

哪种模型最适合你的应用场景。

10、各个专业领域是否需要各自的大模型来服务?

各个专业领域通常需要各自的大模型来服务,原因如下:

  1. 领域特定知识:不同领域拥有各自特定的知识和术语,需要针对该领域进行训练的大模型才能更好地理解 和处理相关文本。例如,在医学领域,需要训练具有医学知识的大模型,以更准确地理解和生成医学文本。
  2. 语言风格和惯用语:各个领域通常有自己独特的语言风格和惯用语,这些特点对于模型的训练和生成都很 重要。专门针对某个领域进行训练的大模型可以更好地掌握该领域的语言特点,生成更符合该领域要求的文本。
  3. 领域需求的差异:不同领域对于文本处理的需求也有所差异。例如,金融领域可能更关注数字和统计数据 的处理,而法律领域可能更关注法律条款和案例的解析。因此,为了更好地满足不同领域的需求,需要专门针对各 个领域进行训练的大模型。
  4. 数据稀缺性:某些领域的数据可能相对较少,无法充分训练通用的大模型。针对特定领域进行训练的大模 型可以更好地利用该领域的数据,提高模型的性能和效果。

尽管需要各自的大模型来服务不同领域,但也可以共享一些通用的模型和技术。例如,通用的大模型可以用于处理通用的文本任务,而领域特定的模型可以在通用模型的基础上进行微调和定制,以适应特定领域的需求。这样可以在满足领域需求的同时,减少模型的重复训练和资源消耗。

11、如何让大模型处理更长的文本?

要让大模型处理更长的文本,可以考虑以下几个方法:

  1. 分块处理:将长文本分割成较短的片段,然后逐个片段输入模型进行处理。这样可以避免长文本对模型内 存和计算资源的压力。在处理分块文本时,可以使用重叠的方式,即将相邻片段的一部分重叠,以保持上下文的连 贯性。
  2. 层次建模:通过引入层次结构,将长文本划分为更小的单元。例如,可以将文本分为段落、句子或子句等 层次,然后逐层输入模型进行处理。这样可以减少每个单元的长度,提高模型处理长文本的能力。
  3. 部分生成:如果只需要模型生成文本的一部分,而不是整个文本,可以只输入部分文本作为上下文,然后 让模型生成所需的部分。例如,输入前一部分文本,让模型生成后续的内容。
  4. 注意力机制:注意力机制可以帮助模型关注输入中的重要部分,可以用于处理长文本时的上下文建模。通 过引入注意力机制,模型可以更好地捕捉长文本中的关键信息。
  5. 模型结构优化:通过优化模型结构和参数设置,可以提高模型处理长文本的能力。例如,可以增加模型的 层数或参数量,以增加模型的表达能力。还可以使用更高效的模型架构,如 Transformer 等,以提高长文本的处理效率。

需要注意的是,处理长文本时还需考虑计算资源和时间的限制。较长的文本可能需要更多的内存和计算时间,因此在实际应用中需要根据具体情况进行权衡和调整。

12、为什么大模型推理时显存涨的那么多还一直占着?

大语言模型进行推理时,显存涨得很多且一直占着显存不释放的原因主要有以下几点:

  1. 模型参数占用显存:大语言模型通常具有巨大的参数量,这些参数需要存储在显存中以供推理使用。因此, 在推理过程中,模型参数会占用相当大的显存空间。
  2. 输入数据占用显存:进行推理时,需要将输入数据加载到显存中。对于大语言模型而言,输入数据通常也 会占用较大的显存空间,尤其是对于较长的文本输入。
  3. 中间计算结果占用显存:在推理过程中,模型会进行一系列的计算操作,生成中间结果。这些中间结果也 需要存储在显存中,以便后续计算使用。对于大语言模型而言,中间计算结果可能会占用较多的显存空间。
  4. 内存管理策略:某些深度学习框架在推理时采用了一种延迟释放显存的策略,即显存不会立即释放,而是 保留一段时间以备后续使用。这种策略可以减少显存的分配和释放频率,提高推理效率,但也会导致显存一直占用 的现象。

需要注意的是,显存的占用情况可能会受到硬件设备、深度学习框架和模型实现的影响。不同的环境和设置可能会导致显存占用的差异。如果显存占用过多导致资源不足或性能下降,可以考虑调整模型的批量大小、优化显存分配策略或使用更高性能的硬件设备来解决问题。

13、大模型在gpu 和cpu 上推理速度如何?

大语言模型在 GPU 和 CPU 上进行推理的速度存在显著差异。一般情况下,GPU 在进行深度学习推理任务时具有更高的计算性能,因此大语言模型在 GPU 上的推理速度通常会比在 CPU 上更快。

以下是 GPU 和 CPU 在大语言模型推理速度方面的一些特点:

  1. GPU 推理速度快:GPU 具有大量的并行计算单元,可以同时处理多个计算任务。对于大语言模型而言, GPU 可以更高效地执行矩阵运算和神经网络计算,从而加速推理过程。
  2. CPU 推理速度相对较慢:相较于 GPU,CPU 的计算能力较弱,主要用于通用计算任务。虽然 CPU 也可以执行大语言模型的推理任务,但由于计算能力有限,推理速度通常会较慢。
  3. 使用 GPU 加速推理:为了充分利用 GPU 的计算能力,通常会使用深度学习框架提供的 GPU 加速功能,如CUDA 或 OpenCL。这些加速库可以将计算任务分配给 GPU 并利用其并行计算能力,从而加快大语言模型的推理速度。

需要注意的是,推理速度还受到模型大小、输入数据大小、计算操作的复杂度以及硬件设备的性能等因素的影响。因此,具体的推理速度会因具体情况而异。一般来说,使用 GPU 进行大语言模型的推理可以获得更快的速度。

14、推理速度上,int8 和fp16 比起来怎么样?

在大语言模型的推理速度上,使用 INT8(8 位整数量化)和 FP16(半精度浮点数)相对于 FP32(单精度浮点数)可以带来一定的加速效果。这是因为 INT8 和 FP16 的数据类型在表示数据时所需的内存和计算资源较少,从而可以加快推理速度。

具体来说,INT8 在相同的内存空间下可以存储更多的数据,从而可以在相同的计算资源下进行更多的并行计算。这可以提高每秒推理操作数(Operations Per Second,OPS)的数量,加速推理速度。FP16 在相对较小的数据范围内进行计算,因此在相同的计算资源下可以执行更多的计算操作。虽然FP16 的精度相对较低,但对于某些应用场景,如图像处理和语音识别等,FP16 的精度已经足够满足需求。

需要注意的是,INT8 和 FP16 的加速效果可能会受到硬件设备的支持程度和具体实现的影响。某些硬件设备可能对 INT8 和 FP16 有更好的优化支持,从而进一步提高推理速度。

综上所述,使用 INT8 和 FP16 数据类型可以在大语言模型的推理过程中提高推理速度,但需要根据具体场景和硬件设备的支持情况进行评估和选择。

15、大模型有推理能力吗?

是的,大语言模型具备推理能力。推理是指在训练阶段之后,使用已经训练好的模型对新的输入数据进行预测、生成或分类等任务。大语言模型可以通过输入一段文本或问题,然后生成相应的回答或补全文本。

大语言模型通常基于循环神经网络(RNN)或变种(如长短时记忆网络 LSTM 或门控循环单元 GRU) 等结构构建,通过学习大量的文本数据,模型可以捕捉到语言的规律和模式。这使得大语言模型能够对输入的文本进行理解和推理,生成合理的回答或补全。

例如,GPT(Generative Pre-trained Transformer)模型是一种大型的预训练语言模型,它通过预训练的方式学习大规模的文本数据,然后可以在推理阶段生成连贯、合理的文本。这种模型可以用于自然语言处理任务,如文本生成、机器翻译、对话系统等。

需要注意的是,大语言模型的推理能力是基于其训练数据的统计规律和模式,因此在面对新颖、复杂或特殊的输入时,可能会出现推理错误或生成不准确的结果。此外,大语言模型的推理能力也受到模型的大小、训练数据的质量和数量、推理算法等因素的影响。

16、大模型生成时的参数怎么设置?

在大语言模型进行推理时,参数设置通常包括以下几个方面:

  1. 模型选择:选择适合推理任务的模型,如循环神经网络(RNN)、长短时记忆网络(LSTM)、门控循环 单元(GRU)或变种的 Transformer 等。不同的模型在推理任务上可能有不同的效果。
  2. 模型加载:加载预训练好的模型参数,这些参数可以是在大规模文本数据上进行预训练得到的。预训练模 型的选择应根据任务和数据集的特点来确定。
  3. 推理算法:选择合适的推理算法,如贪婪搜索、束搜索(beam search)或采样方法等。贪婪搜索只考虑当前最有可能的输出,束搜索会考虑多个候选输出,采样方法会根据概率分布进行随机采样。
  4. 温度参数:在生成文本时,可以通过调整温度参数来控制生成的文本的多样性。较高的温度会增加生成文 本的随机性和多样性,而较低的温度会使生成文本更加确定和一致。
  5. 推理长度:确定生成文本的长度限制,可以设置生成的最大长度或生成的最小长度等。
  6. 其他参数:根据具体任务和需求,可能还需要设置其他参数,如生成的起始文本、生成的批次大小等。 以上参数设置需要根据具体任务和数据集的特点进行调整和优化。通常情况下,可以通过实验和调参来找到最佳的参数组合,以获得较好的推理效果。同时,还可以通过人工评估和自动评估指标来评估生成文本的质量和准确性,进一步优化参数设置。

17、有哪些省内存的大语言模型训练/微调/推理方法?

有一些方法可以帮助省内存的大语言模型训练、微调和推理,以下是一些常见的方法:

  1. 参数共享(Parameter Sharing):通过共享模型中的参数,可以减少内存占用。例如,可以在不同的位置共享相同的嵌入层或注意力机制。
  2. 梯度累积(Gradient Accumulation):在训练过程中,将多个小批次的梯度累积起来,然后进行一次参数更新。这样可以减少每个小批次的内存需求,特别适用于 GPU 内存较小的情况。
  3. 梯度裁剪(Gradient Clipping):通过限制梯度的大小,可以避免梯度爆炸的问题,从而减少内存使用。
  4. 分布式训练(Distributed Training):将训练过程分布到多台机器或多个设备上,可以减少单个设备的内存占用。分布式训练还可以加速训练过程。
  5. 量化(Quantization):将模型参数从高精度表示(如 FP32)转换为低精度表示(如 INT8 或 FP16), 可以减少内存占用。量化方法可以通过减少参数位数或使用整数表示来实现。
  6. 剪枝(Pruning):通过去除冗余或不重要的模型参数,可以减少模型的内存占用。剪枝方法可以根据参数 的重要性进行选择,从而保持模型性能的同时减少内存需求。
  7. 蒸馏(Knowledge Distillation):使用较小的模型(教师模型)来指导训练较大的模型(学生模型),可以从教师模型中提取知识,减少内存占用。
  8. 分块处理(Chunking):将输入数据或模型分成较小的块进行处理,可以减少内存需求。例如,在推理过 程中,可以将较长的输入序列分成多个较短的子序列进行处理。

这些方法可以结合使用,根据具体场景和需求进行选择和调整。同时,不同的方法可能对不同的模型和任务有不同的效果,因此需要进行实验和评估。

18、如何让大模型输出合规化

要让大模型输出合规化,可以采取以下方法:

  1. 数据清理和预处理:在进行模型训练之前,对输入数据进行清理和预处理,以确保数据符合合规要求。这 可能包括去除敏感信息、匿名化处理、数据脱敏等操作。
  2. 引入合规性约束:在模型训练过程中,可以引入合规性约束,以确保模型输出符合法律和道德要求。例如, 可以在训练过程中使用合规性指标或损失函数来约束模型的输出。
  3. 限制模型访问权限:对于一些特定的应用场景,可以通过限制模型的访问权限来确保输出的合规性。只允 许授权用户或特定角色访问模型,以保护敏感信息和确保合规性。
  4. 解释模型决策过程:为了满足合规性要求,可以对模型的决策过程进行解释和解释。通过提供透明的解释, 可以使用户或相关方了解模型是如何做出决策的,并评估决策的合规性。
  5. 审查和验证模型:在模型训练和部署之前,进行审查和验证以确保模型的输出符合合规要求。这可能涉及 到法律专业人士、伦理专家或相关领域的专业人士的参与。
  6. 监控和更新模型:持续监控模型的输出,并根据合规要求进行必要的更新和调整。及时发现和解决合规性 问题,确保模型的输出一直保持合规。
  7. 合规培训和教育:为使用模型的人员提供合规培训和教育,使其了解合规要求,并正确使用模型以确保合 规性。

需要注意的是,合规性要求因特定领域、应用和地区而异,因此在实施上述方法时,需要根据具体情况进行调整和定制。同时,合规性是一个动态的过程,需要与法律、伦理和社会要求的变化保持同步。

19、应用模式变更

大语言模型的应用模式变更可以包括以下几个方面:

  1. 任务定制化:将大语言模型应用于特定的任务或领域,通过对模型进行微调或迁移学习,使其适应特定的 应用场景。例如,将大语言模型用于自动文本摘要、机器翻译、对话系统等任务。
  2. 个性化交互:将大语言模型应用于个性化交互,通过对用户输入进行理解和生成相应的回复,实现更自然、 智能的对话体验。这可以应用于智能助手、在线客服、社交媒体等场景。
  3. 内容生成与创作:利用大语言模型的生成能力,将其应用于内容生成和创作领域。例如,自动生成新闻报 道、创意文案、诗歌等内容,提供创作灵感和辅助创作过程。
  4. 情感分析与情绪识别:通过大语言模型对文本进行情感分析和情绪识别,帮助企业或个人了解用户的情感 需求和反馈,以改善产品、服务和用户体验。
  5. 知识图谱构建:利用大语言模型的文本理解能力,将其应用于知识图谱的构建和更新。通过对海量文本进 行分析和提取,生成结构化的知识表示,为知识图谱的建设提供支持。
  6. 法律和合规应用:大语言模型可以用于法律和合规领域,例如自动生成法律文件、合同条款、隐私政策等 内容,辅助法律专业人士的工作。
  7. 教育和培训应用:将大语言模型应用于教育和培训领域,例如智能辅导系统、在线学习平台等,为学生提 供个性化的学习辅助和教学资源。
  8. 创新应用场景:探索和创造全新的应用场景,结合大语言模型的能力和创新思维,开拓新的商业模式和服 务方式。例如,结合增强现实技术,实现智能导览和语音交互;结合虚拟现实技术,创建沉浸式的交互体验等。应 用模式变更需要充分考虑数据安全、用户隐私、道德和法律等因素,确保在合规和可持续发展的前提下进行应用创 新。同时,与领域专家和用户进行密切合作,不断优化和改进应用模式,以满足用户需求和市场竞争。

20、大模型怎么评测?

大语言模型的评测通常涉及以下几个方面:

  1. 语法和流畅度:评估模型生成的文本是否符合语法规则,并且是否流畅自然。这可以通过人工评估或自动 评估指标如困惑度(perplexity)来衡量。
  2. 语义准确性:评估模型生成的文本是否准确传达了所需的含义,并且是否避免了歧义或模棱两可的表达。 这需要通过人工评估来判断,通常需要领域专家的参与。
  3. 上下文一致性:评估模型在生成长篇文本时是否能够保持一致的上下文逻辑和连贯性。这需要通过人工评 估来检查模型生成的文本是否与前文和后文相衔接。
  4. 信息准确性:评估模型生成的文本中所包含的信息是否准确和可靠。这可以通过人工评估或与已知信息进 行对比来判断。
  5. 创造性和多样性:评估模型生成的文本是否具有创造性和多样性,是否能够提供不同的观点和表达方式。 这需要通过人工评估来判断。

评测大语言模型是一个复杂的过程,需要结合人工评估和自动评估指标来进行综合评价。由于大语言模型的规模和复杂性,评测结果往往需要多个评估者的共识,并且需要考虑到评估者的主观因素和评估标准的一致性。

21、大模型的honest 原则是如何实现的?

大语言模型的"honest"原则是指模型在生成文本时应该保持诚实和真实,不应该编造虚假信息或误导用户。实现"honest"原则可以通过以下几种方式:

  1. 数据训练:使用真实和可靠的数据进行模型的训练,确保模型学习到的知识和信息与真实世界相符。数据 的来源和质量对于模型的"honest"性非常重要。
  2. 过滤和审查:在训练数据中,可以通过过滤和审查来排除不真实或不可靠的内容。这可以通过人工审核或 自动筛选算法来实现,以确保训练数据的可信度。
  3. 监督和调整:对模型的生成结果进行监督和调整,及时发现和纠正可能的误导或虚假信息。这可以通过人 工审核、用户反馈或者自动监测来实现。
  4. 透明度和解释性:提供模型生成文本的解释和可追溯性,使用户能够了解模型生成文本的依据和过程。这 可以通过展示模型的输入数据、模型的结构和参数等方式来实现。
  5. 遵循道德和法律准则:确保模型的设计和使用符合道德和法律的准则,不违背伦理和法律规定。这需要在 模型的开发和应用过程中考虑到社会和伦理的因素。

需要注意的是,尽管大语言模型可以尽力遵循"honest"原则,但由于其是基于训练数据进行生成, 仍然存在可能生成不准确或误导性的文本。因此,用户在使用大语言模型生成的文本时,仍需保持批判性思维,并结合其他信息和验证渠道进行判断。

22、模型如何判断回答的知识是训练过的已知的知识,怎么训练这种能力?

大语言模型判断回答的知识是否为训练过的已知知识,通常可以通过以下几种方式来实现:

  1. 训练数据:在训练大语言模型时,可以使用包含已知知识的真实数据。这些数据可以来自于可靠的来源, 如百科全书、学术文献等。通过训练模型时接触到这些知识,模型可以学习到一定的知识表示和模式。
  2. 监督学习:可以使用人工标注的数据来进行监督学习,将已知知识标注为正确答案。在训练模型时,通过 最大化与标注答案的匹配程度,模型可以学习到回答问题的知识表示和模式。
  3. 开放域知识库:可以利用开放域知识库,如维基百科,作为额外的训练数据。通过将知识库中的信息与模 型进行交互,模型可以学习到知识的表示和检索能力。
  4. 过滤和筛选:在训练数据中,可以通过过滤和筛选来排除不准确或不可靠的信息。这可以通过人工审核或 自动筛选算法来实现,以提高模型对已知知识的准确性。

训练这种能力需要充分的训练数据和有效的训练方法。同时,还需要进行模型的评估和调优,以确保模型能够正确理解和回答已知的知识问题。此外,定期更新训练数据和模型,以跟进新的知识和信息, 也是保持模型知识更新和准确性的重要步骤。

23、奖励模型需要和基础模型一致吗?

奖励模型和基础模型在训练过程中可以是一致的,也可以是不同的。这取决于你的任务需求和优化目标。

如果你希望优化一个包含多个子任务的复杂任务,那么你可能需要为每个子任务定义一个奖励模型, 然后将这些奖励模型整合到一个统一的奖励函数中。这样,你可以根据任务的具体情况调整每个子任务的权重,以实现更好的性能。

另一方面,如果你的任务是单任务的,那么你可能只需要一个基础模型和一个对应的奖励模型,这两个模型可以共享相同的参数。在这种情况下,你可以通过调整奖励模型的权重来控制任务的优化方向。总之,奖励模型和基础模型的一致性取决于你的任务需求和优化目标。在实践中,你可能需要尝试不同的模型结构和奖励函数,以找到最适合你任务的解决方案。

24、 RLHF 在实践过程中存在哪些不足?

RLHF(Reinforcement Learning from Human Feedback)是一种通过人类反馈进行增强学习的方法,尽管具有一定的优势,但在实践过程中仍然存在以下几个不足之处:

  1. 人类反馈的代价高昂:获取高质量的人类反馈通常需要大量的人力和时间成本。人类专家需要花费时间来 评估模型的行为并提供准确的反馈,这可能限制了 RLHF 方法的可扩展性和应用范围。
  2. 人类反馈的主观性:人类反馈往往是主观的,不同的专家可能会有不同的意见和判断。这可能导致模型在 不同专家之间的反馈上存在差异,从而影响模型的训练和性能。
  3. 反馈延迟和稀疏性:获取人类反馈可能存在延迟和稀疏性的问题。人类专家不可能实时监控和评估模型的 每一个动作,因此模型可能需要等待一段时间才能收到反馈,这可能会导致训练的效率和效果下降。
  4. 错误反馈的影响:人类反馈可能存在错误或误导性的情况,这可能会对模型的训练产生负面影响。如果模 型在错误的反馈指导下进行训练,可能会导致模型产生错误的行为策略。
  5. 缺乏探索与利用的平衡:在 RLHF 中,人类反馈通常用于指导模型的行为,但可能会导致模型过于依赖人类反馈而缺乏探索的能力。这可能限制了模型发现新策略和优化性能的能力。

针对这些不足,研究人员正在探索改进 RLHF 方法,如设计更高效的人类反馈收集机制、开发更准确的反馈评估方法、结合自适应探索策略等,以提高 RLHF 方法的实用性和性能。

25、如何解决 人工产生的偏好数据集成本较高,很难量产问题?

解决人工产生偏好数据集成本高、难以量产的问题,可以考虑以下几种方法:

  1. 引入模拟数据:使用模拟数据来代替或辅助人工产生的数据。模拟数据可以通过模拟环境或模型生成,以 模拟人类用户的行为和反馈。这样可以降低数据收集的成本和难度,并且可以大规模生成数据。
  2. 主动学习:采用主动学习的方法来优化数据收集过程。主动学习是一种主动选择样本的方法,通过选择那 些对模型训练最有帮助的样本进行标注,从而减少标注的工作量。可以使用一些算法,如不确定性采样、多样性采 样等,来选择最有价值的样本进行人工标注。
  3. 在线学习:采用在线学习的方法进行模型训练。在线学习是一种增量学习的方法,可以在模型运行的同时 进行训练和优化。这样可以利用实际用户的交互数据来不断改进模型,减少对人工标注数据的依赖。
  4. 众包和协作:利用众包平台或协作机制来收集人工产生的偏好数据。通过将任务分发给多个人参与,可以 降低每个人的负担,并且可以通过众包平台的规模效应来提高数据收集的效率。
  5. 数据增强和迁移学习:通过数据增强技术,如数据合成、数据扩增等,来扩充有限的人工产生数据集。此 外,可以利用迁移学习的方法,将从其他相关任务或领域收集的数据应用于当前任务,以减少对人工产生数据的需 求。

综合运用上述方法,可以有效降低人工产生偏好数据的成本,提高数据的量产能力,并且保证数据的质量和多样性。

26、如何解决三个阶段的训练(SFT->RM->PPO)过程较长,更新迭代较慢问题?

要解决三个阶段训练过程较长、更新迭代较慢的问题,可以考虑以下几种方法:

  1. 并行化训练:利用多个计算资源进行并行化训练,可以加速整个训练过程。可以通过使用多个 CPU 核心或GPU 来并行处理不同的训练任务,从而提高训练的效率和速度。
  2. 分布式训练:将训练任务分发到多台机器或多个节点上进行分布式训练。通过将模型和数据分布在多个节 点上,并进行并行计算和通信,可以加快训练的速度和更新的迭代。
  3. 优化算法改进: 针对每个阶段的训练过程, 可以考虑改进优化算法来加速更新迭代。例如, 在 SFT
    (Supervised Fine-Tuning)阶段,可以使用更高效的优化算法,如自适应学习率方法(Adaptive Learning Rate) 或者剪枝技术来减少模型参数;在 RM(Reward Modeling)阶段,可以使用更快速的模型训练算法,如快速梯度法(Fast Gradient Method)等;在 PPO(Proximal Policy Optimization)阶段,可以考虑使用更高效的采样和优化方法,如并行采样、多步采样等。
  4. 迁移学习和预训练:利用迁移学习和预训练技术,可以利用已有的模型或数据进行初始化或预训练,从而
    加速训练过程。通过将已有模型的参数或特征迁移到目标模型中,可以减少目标模型的训练时间和样本需求。
  5. 参数调优和超参数搜索:对于每个阶段的训练过程,可以进行参数调优和超参数搜索,以找到更好的参数 设置和配置。通过系统地尝试不同的参数组合和算法设定,可以找到更快速和高效的训练方式。

综合运用上述方法,可以加速三个阶段训练过程,提高更新迭代的速度和效率,从而减少训练时间和资源消耗。

27、 如何解决 PPO 的训练过程同时存在 4 个模型(2 训练,2 推理),对计算资源的要求较高 问题?

要解决 PPO 训练过程中对计算资源要求较高的问题,可以考虑以下几种方法:

  1. 减少模型规模:通过减少模型的规模和参数量,可以降低对计算资源的需求。可以使用模型压缩技术、剪 枝算法等方法来减少模型的参数数量,从而降低计算资源的使用量。
  2. 降低训练频率:可以降低 PPO 训练的频率,减少每个训练周期的次数。例如,可以增加每个训练周期的时间间隔,或者减少每个周期中的训练步数。这样可以减少训练过程中对计算资源的占用。
  3. 模型并行化:利用多个计算资源进行模型并行化训练,可以加速 PPO 的训练过程。可以将模型参数分布到多个 GPU 上,并进行并行计算和通信,以提高训练的效率和速度。
  4. 异步训练:采用异步训练的方式,可以在多个计算资源上同时进行 PPO 的训练。可以使用异步优化算法, 如 A3C(Asynchronous Advantage Actor-Critic)等,将训练任务分发到多个线程或进程中进行并行训练,从而提高训练的效率。
  5. 云计算和分布式训练:利用云计算平台或分布式系统进行 PPO 的训练,可以充分利用大规模计算资源。可以将训练任务分发到多个计算节点上进行分布式训练,以加速训练过程。
  6. 参数共享和模型缓存:对于有多个模型的情况,可以考虑共享部分参数或缓存已计算的模型输出。通过共 享参数和缓存计算结果,可以减少重复计算和存储,从而降低对计算资源的要求。综合运用上述方法,可以有效降 低 PPO 训练过程中对计算资源的要求,提高训练的效率和速度。

28、如何给 LLM 注入领域知识?

给 LLM(低层次模型,如 BERT、GPT 等)注入领域知识的方法有很多。以下是一些建议:

  1. 数据增强:在训练过程中,可以通过添加领域相关的数据来增强模型的训练数据。这可以包括从领域相关 的文本中提取示例、对现有数据进行扩充或生成新的数据。
  2. 迁移学习:使用预训练的 LLM 模型作为基础,然后在特定领域的数据上进行微调。这样可以利用预训练模型学到的通用知识,同时使其适应新领域。
  3. 领域专家标注:与领域专家合作,对模型的输出进行监督式标注。这可以帮助模型学习到更准确的领域知 识。
  4. 知识图谱:将领域知识表示为知识图谱,然后让 LLM 模型通过学习知识图谱中的实体和关系来理解领域知识。
  5. 规则和启发式方法:编写领域特定的规则和启发式方法,以指导模型的学习过程。这些方法可以是基于规 则的、基于案例的或基于实例的。
  6. 模型融合:将多个 LLM 模型的预测结果结合起来,以提高模型在特定领域的性能。这可以通过投票、加权平均或其他集成方法来实现。
  7. 元学习:训练一个元模型,使其能够在少量领域特定数据上快速适应新领域。这可以通过在线学习、模型 蒸馏或其他元学习方法来实现。
  8. 模型解释性:使用模型解释工具(如 LIME、SHAP 等)来理解模型在特定领域的预测原因,从而发现潜在的知识缺失并加以补充。
  9. 持续学习:在模型部署后,持续收集领域特定数据并更新模型,以保持其在新数据上的性能。
  10. 多任务学习:通过同时训练模型在多个相关任务上的表现,可以提高模型在特定领域的泛化能力。

29、如果想要快速体验各种模型,该怎么办?

如果想要快速体验各种大语言模型,可以考虑以下几种方法:

  1. 使用预训练模型:许多大语言模型已经在大规模数据上进行了预训练,并提供了预训练好的模型参数。可 以直接使用这些预训练模型进行推理,以快速体验模型的性能。常见的预训练模型包括 GPT、BERT、XLNet 等。
  2. 使用开源实现:许多大语言模型的开源实现已经在 GitHub 等平台上公开发布。可以根据自己的需求选择合适的开源实现,并使用提供的示例代码进行快速体验。这些开源实现通常包含了模型的训练和推理代码,可以直接 使用。
  3. 使用云平台:许多云平台(如 Google Cloud、Microsoft Azure、Amazon Web Services 等)提供了大语言模型的服务。可以使用这些云平台提供的 API 或 SDK 来快速体验各种大语言模型。这些云平台通常提供了简单易用的接口,可以直接调用模型进行推理。
  4. 使用在线演示:一些大语言模型的研究团队或公司提供了在线演示平台,可以在网页上直接体验模型的效果。通过输入文本或选择预定义的任务,可以快速查看模型的输出结果。这种方式可以快速了解模型的性能和功能。 无论使用哪种方法,都可以快速体验各种大语言模型的效果。可以根据自己的需求和时间限制选择合适的方法,并根据体验结果进一步选择和优化模型。

30、预训练数据 Token 重复 是否影响 模型性能?

预训练数据中的 Token 重复可以对模型性能产生一定的影响,具体影响取决于重复的程度和上下文。

  1. 学习重复模式:如果预训练数据中存在大量的 Token 重复,模型可能会学习到这些重复模式,并在生成或分类任务中出现类似的重复结果。这可能导致模型在处理新数据时表现较差,缺乏多样性和创造力。
  2. 上下文信息不足:重复的 Token 可能会导致上下文信息的缺失。模型在训练过程中需要通过上下文信息来理解词语的含义和语义关系。如果重复的 Token 导致上下文信息不足,模型可能会在处理复杂的语义任务时遇到困难。
  3. 训练速度和效率:预训练数据中的 Token 重复可能会导致训练速度变慢,并且可能需要更多的计算资源。重复的 Token 会增加计算量和参数数量,从而增加训练时间和资源消耗。

尽管存在以上影响,预训练数据中的一定程度的 Token 重复通常是不可避免的,并且在某些情况下可能对模型性能有积极的影响。例如,一些常见的词语或短语可能会在不同的上下文中重复出现,这有助于模型更好地理解它们的含义和语义关系。

在实际应用中,需要根据具体任务和数据集的特点来评估预训练数据中的 Token 重复对模型性能的影响,并在需要的情况下采取相应的处理措施,如数据清洗、数据增强等。

31、什么是位置编码?

位置编码是一种用于在序列数据中为每个位置添加位置信息的技术。在自然语言处理中,位置编码通常用于处理文本序列。由于传统的神经网络无法直接捕捉输入序列中的位置信息,位置编码的引入可以帮助模型更好地理解和处理序列数据。

在 Transformer 模型中,位置编码通过为输入序列中的每个位置分配一个固定的向量来实现。这些向量会与输入序列中的词向量相加,以融合位置信息。位置编码的设计目的是使模型能够区分不同位置的输入。

在 Transformer 模型中,使用了一种特殊的位置编码方式,即正弦和余弦函数的组合。位置编码的公式如下:

其中,pos 表示位置,i 表示维度,表示 Transformer 模型的隐藏层的维度。通过使用不同频率的正弦和余弦函数,位置编码可以捕捉到不同位置之间的相对距离和顺序。

位置编码的加入使得模型可以根据位置信息更好地理解输入序列,从而更好地处理序列数据的顺序和相关性。

32、什么是绝对位置编码?

绝对位置编码是一种用于为序列数据中的每个位置添加绝对位置信息的技术。在自然语言处理中,绝对位置编码常用于处理文本序列,特别是在使用 Transformer 模型进行序列建模的任务中。

在传统的 Transformer 模型中,位置编码使用了正弦和余弦函数的组合来表示相对位置信息,但它并没有提供绝对位置的信息。这意味着,如果将输入序列的位置进行重新排序或删除/添加元素,模型将无法正确地理解序列的新位置。

为了解决这个问题,绝对位置编码被引入到 Transformer 模型中。绝对位置编码通过为每个位置分配一个唯一的向量来表示绝对位置信息。这样,无论序列中的位置如何变化,模型都能够准确地识别和理解不同位置的输入。

一种常用的绝对位置编码方法是使用可训练的位置嵌入层。在这种方法中,每个位置都被映射为一个固定长度的向量,该向量可以通过训练来学习。这样,模型可以根据位置嵌入层中的向量来识别和区分不同位置的输入。

绝对位置编码的引入使得模型能够更好地处理序列数据中的绝对位置信息,从而提高了模型对序列顺序和相关性的理解能力。这对于一些需要考虑绝对位置的任务,如机器翻译、文本生成等,尤为重要。

33、什么是相对位置编码?

相对位置编码是一种用于为序列数据中的每个位置添加相对位置信息的技术。在自然语言处理中,相对位置编码常用于处理文本序列,特别是在使用 Transformer 模型进行序列建模的任务中。

传统的 Transformer 模型使用了绝对位置编码来捕捉输入序列中的位置信息,但它并没有提供相对位置的信息。相对位置编码的目的是为了让模型能够更好地理解序列中不同位置之间的相对关系和顺序。

相对位置编码的一种常见方法是使用相对位置注意力机制。在这种方法中,模型通过计算不同位置之间的相对位置偏移量,并将这些偏移量作为注意力机制的输入,以便模型能够更好地关注不同位置之间的相对关系。

相对位置编码的另一种方法是使用相对位置嵌入层。在这种方法中,每个位置都被映射为一个相对位置向量,该向量表示该位置与其他位置之间的相对位置关系。这样,模型可以根据相对位置嵌入层中的向量来识别和区分不同位置之间的相对关系。

相对位置编码的引入使得模型能够更好地处理序列数据中的相对位置信息,从而提高了模型对序列顺序和相关性的理解能力。这对于一些需要考虑相对位置的任务,如问答系统、命名实体识别等,尤为重要。

34、旋转位置编码 RoPE 思路是什么?

旋转位置编码(Rotation Position Encoding,RoPE)是一种用于为序列数据中的每个位置添加旋转位置信息的编码方法。RoPE 的思路是通过引入旋转矩阵来表示位置之间的旋转关系,从而捕捉序列中位置之间的旋转模式。

传统的绝对位置编码和相对位置编码方法主要关注位置之间的线性关系,而忽略了位置之间的旋转关系。然而,在某些序列数据中,位置之间的旋转关系可能对于模型的理解和预测是重要的。例如,在一些自然语言处理任务中,单词之间的顺序可能会发生旋转,如句子重排或句子中的语法结构变化。

RoPE 通过引入旋转矩阵来捕捉位置之间的旋转关系。具体而言,RoPE 使用一个旋转矩阵,将每个位置的位置向量与旋转矩阵相乘,从而获得旋转后的位置向量。这样,模型可以根据旋转后的位置向量来识别和理解位置之间的旋转模式。

RoPE 的优势在于它能够捕捉到序列数据中位置之间的旋转关系,从而提供了更丰富的位置信息。这对于一些需要考虑位置旋转的任务,如自然语言推理、自然语言生成等,尤为重要。RoPE 的引入可以帮助模型更好地理解和建模序列数据中的旋转模式,从而提高模型的性能和泛化能力。

35、旋转位置编码 RoPE 有什么优点?

旋转位置编码(RoPE)是一种用于位置编码的改进方法,相比于传统的位置编码方式,RoPE 具有以下优点:

  1. 解决位置编码的周期性问题:传统的位置编码方式(如 Sinusoidal Position Encoding)存在一个固定的周期,当序列长度超过该周期时,位置编码会出现重复。这可能导致模型在处理长序列时失去对位置信息的准确理 解。RoPE 通过引入旋转操作,可以解决这个周期性问题,使得位置编码可以适应更长的序列。
  2. 更好地建模相对位置信息:传统的位置编码方式只考虑了绝对位置信息,即每个位置都有一个唯一的编码 表示。然而,在某些任务中,相对位置信息对于理解序列的语义和结构非常重要。RoPE 通过旋转操作,可以捕捉到相对位置信息,使得模型能够更好地建模序列中的局部关系。
  3. 更好的泛化能力:RoPE 的旋转操作可以看作是对位置编码进行了一种数据增强操作,通过扩展位置编码的变化范围,可以提高模型的泛化能力。这对于处理不同长度的序列以及在测试时遇到未见过的序列长度非常有帮助。 总体而言,RoPE 相比于传统的位置编码方式,在处理长序列、建模相对位置信息和提高泛化能力方面具有一定的优势。这些优点可以帮助模型更好地理解序列数据,并在各种自然语言处理任务中取得更好的性能。

36、什么是 长度外推问题?

长度外推问题是指在机器学习和自然语言处理中,模型被要求在输入序列的长度超出其训练范围时进行预测或生成。这种情况下,模型需要推断或生成与其训练数据中的示例长度不同的序列。

长度外推问题通常是由于训练数据的限制或资源限制而引起的。例如,在语言模型中,模型可能只能训练到一定长度的句子,但在实际应用中,需要生成更长的句子。在这种情况下,模型需要学会推断和生成超出其训练数据长度范围的内容。

解决长度外推问题的方法包括使用合适的编码器和解码器架构,使用适当的位置编码方法(如RoPE),以及训练模型时使用更大的输入序列范围。此外,还可以使用基于生成模型的方法,如生成对抗网络

(GAN),来生成更长的序列。长度外推问题是自然语言处理中一个重要的挑战,对于实现更强大的语言模型和生成模型具有重要意义。

37、长度外推问题 的 解决方法 有哪些?

解决长度外推问题的方法主要包括以下几种:

  1. 使用适当的模型架构:选择能够处理不同长度序列的模型架构。例如,Transformer 模型在处理长度变化的序列时表现出色,因为它使用自注意力机制来捕捉序列中的长距离依赖关系。
  2. 使用适当的位置编码方法:为了帮助模型理解序列中不同位置的信息,可以使用位置编码方法,如相对位 置编码(RoPE)或绝对位置编码。这些编码方法可以帮助模型推断和生成超出其训练范围的序列。
  3. 增加训练数据范围:如果可能,可以增加训练数据的范围,包括更长的序列示例。这样可以让模型更好地 学习如何处理超出其训练范围的序列。
  4. 使用生成模型:生成模型如生成对抗网络(GAN)可以用于生成更长的序列。GAN 模型可以通过生成器网络生成超出训练数据范围的序列,并通过判别器网络进行评估和优化。
  5. 增加模型容量:增加模型的容量(如增加隐藏层的大小或增加模型的参数数量)可以提高模型处理长度外 推问题的能力。更大的模型容量可以更好地捕捉序列中的复杂模式和依赖关系。
  6. 使用迭代方法:对于超出模型训练范围的序列,可以使用迭代方法进行外推。例如,可以通过多次迭代生 成序列的一部分,并将生成的部分作为下一次迭代的输入,从而逐步生成完整的序列。

这些方法可以单独或组合使用来解决长度外推问题,具体的选择取决于具体的任务和数据。

38、ALiBi (Attention with Linear Biases) 思路是什么?

ALiBi(Attention with Linear Biases)是一种用于处理长度外推问题的方法,它通过引入线性偏置来改进自注意力机制(Self-Attention)。

自注意力机制是一种用于捕捉序列中不同位置之间依赖关系的机制,它通过计算每个位置与其他位置的注意力权重来加权聚合信息。然而,自注意力机制在处理长度变化的序列时存在一些问题,例如在处理长序列时,注意力权重可能变得过于稀疏或集中,导致模型无法有效地捕捉长距离依赖关系。ALiBi 的思路是在自注意力机制中引入线性偏置,以增强模型对长距离依赖关系的建模能力。具体来说,ALiBi 使用线性映射将输入序列转换为一个低维度的特征向量,然后通过计算特征向量之间的内积来计算注意力权重。这样做的好处是,线性映射可以将输入序列的信息压缩到一个更紧凑的表示中, 从而减少模型对长距离依赖关系的建模难度。

ALiBi 还引入了一个线性偏置向量,用于调整注意力权重的分布。通过调整偏置向量的值,可以控制注意力权重的稀疏性和集中性,从而更好地适应不同长度的序列。这种线性偏置的引入可以帮助模型更好地处理长度外推问题,提高模型在处理长序列时的性能。

总的来说,ALiBi 通过引入线性偏置来改进自注意力机制,增强模型对长距离依赖关系的建模能力, 从而提高模型在处理长度外推问题时的性能。

39、ALiBi (Attention with Linear Biases) 的偏置矩阵是什么?有什么作用?

在 ALiBi 中,偏置矩阵是一个用于调整注意力权重的矩阵。具体来说,偏置矩阵是一个形状为(L,L) 的矩阵,其中 L 是输入序列的长度。矩阵中的每个元素都是一个偏置值,用于调整注意力权重的分布。

偏置矩阵的作用是在计算注意力权重时引入一个额外的偏置项,从而调整注意力的分布。通过调整偏置矩阵的值,可以控制注意力权重的稀疏性和集中性,以更好地适应不同长度的序列。

具体来说,偏置矩阵通过与注意力权重矩阵相乘,对注意力权重进行调整。偏置矩阵中的每个元素与注意力权重矩阵中的对应元素相乘,可以增加或减小该位置的注意力权重。通过调整偏置矩阵的值, 可以控制不同位置的注意力权重,使其更加稀疏或集中。

偏置矩阵的引入可以帮助模型更好地处理长度外推问题。通过调整注意力权重的分布,模型可以更好地适应不同长度的序列,并更好地捕捉序列中的长距离依赖关系。偏置矩阵提供了一种灵活的方式来控制注意力权重的调整,从而提高模型在处理长度外推问题时的性能。

40、ALiBi (Attention with Linear Biases) 有什么优点?

ALiBi(Attention with Linear Biases)具有以下几个优点:

  1. 改善了自注意力机制的性能:ALiBi 通过引入线性偏置来改进自注意力机制,增强了模型对长距离依赖关系的建模能力。这样可以更好地捕捉序列中的长距离依赖关系,提高模型的性能。
  2. 灵活性:ALiBi 中的偏置矩阵提供了一种灵活的方式来调整注意力权重的分布。通过调整偏置矩阵的值,可以控制注意力权重的稀疏性和集中性,以更好地适应不同长度的序列。这种灵活性使得 ALiBi 能够适应不同的任务和数据特点。
  3. 减少参数数量:ALiBi 使用线性映射将输入序列转换为一个低维度的特征向量,从而减少了模型的参数数量。这样可以降低模型的复杂度,减少计算和存储成本,并提高模型的效率。
  4. 通用性:ALiBi 可以应用于各种长度外推问题,如序列预测、机器翻译等。它的思路和方法可以适用于不同领域和任务,具有一定的通用性。

综上所述,ALiBi 通过改进自注意力机制,提供了一种灵活的方式来调整注意力权重的分布,减少参数数量,并具有一定的通用性。这些优点使得 ALiBi 在处理长度外推问题时具有较好的性能和适应性。

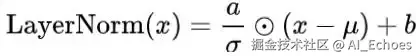
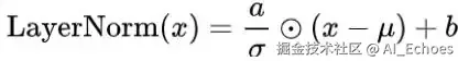
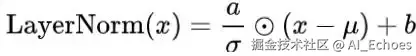
41、Layer Norm 的计算公式写一下?

Layer Norm(层归一化)是一种用于神经网络中的归一化技术,用于提高模型的训练效果和泛化能力。其计算公式如下:给定输入 ,其维度为 ,Layer Norm 的计算公式为:

其中, 是 沿最后一个维度的均值, 是 沿最后一个维度的标准差, 和 是可学习的缩放因子和偏置项。 表示逐元素相乘。具体计算过程如下:

计算均值 :

  1. 计算标准差 :
  2. 计算归一化的 :
  3. 计算缩放因子和偏置项:

其中, 和 是可学习的参数,可以通过反向传播进行训练。Layer Norm 的作用是将每个样本的特征进行归一化,使得特征在不同样本之间具有相似的分布, 有助于提高模型的训练效果和泛化能力。

42、RMS Norm 的计算公式写一下?

RMS Norm(均方根归一化)是一种用于神经网络中的归一化技术,用于提高模型的训练效果和泛化能力。其计算公式如下:给定输入 ,其维度为 ,RMS Norm 的计算公式为:

其中, 是一个小的常数,用于避免分母为零。具体计算过程如下:

  1. 计算 的平方:
  2. 计算平方的均

值:

  1. 计算归一化的 :

RMS Norm 的作用是通过计算输入 的均方根,将每个样本的特征进行归一化,使得特征在不同样本之间具有相似的尺度,有助于提高模型的训练效果和泛化能力。

43、RMS Norm 相比于 Layer Norm 有什么特点?

RMS Norm(Root Mean Square Norm)和 Layer Norm 是两种常用的归一化方法,它们在实现上有一些不同之处。

  1. 计算方式:RMS Norm 是通过计算输入数据的平方均值的平方根来进行归一化,而 Layer Norm 是通过计算输入数据在每个样本中的平均值和方差来进行归一化。
  2. 归一化范围:RMS Norm 是对整个输入数据进行归一化,而 Layer Norm 是对每个样本进行归一化。
  3. 归一化位置:RMS Norm 通常应用于循环神经网络(RNN)中的隐藏状态,而 Layer Norm 通常应用于卷积神经网络(CNN)或全连接层中。
  4. 归一化效果:RMS Norm 在处理长序列数据时可能会出现梯度消失或梯度爆炸的问题,而 Layer Norm 能够更好地处理这些问题。

综上所述,RMS Norm 和 Layer Norm 在计算方式、归一化范围、归一化位置和归一化效果等方面存在一些差异,适用于不同的神经网络结构和任务。选择哪种归一化方法应根据具体情况进行评估和选择。

44、Deep Norm 思路?

Deep Norm 是一种基于归一化的深度学习模型优化方法,其思路是通过在深度神经网络中引入多层归一化操作,以改善模型的训练和泛化性能。Deep Norm 的主要思想是在网络的每一层之间插入归一化层,以减小输入数据的分布差异,从而加速收敛并提高模型的泛化能力。与传统的批归一化(Batch Normalization) 不同,Deep Norm 在每一层都进行归一化,而不是仅在特定层进行。Deep Norm 的具体步骤如下:

  1. 输入数据:将输入数据传递给网络的第一层。
  2. 归一化层:在网络的每一层之间插入归一化层。归一化层的作用是将每层的输入数据进行归一化,使其均值为 0,方差为 1。这可以减小数据的分布差异,有助于提高模型的稳定性和泛化性能。
  3. 激活函数:在归一化层之后应用激活函数,以引入非线性变换。
  4. 下一层:将经过归一化和激活函数处理的数据传递给网络的下一层。

通过在每一层引入归一化操作,Deep Norm 可以有效地解决深度神经网络中的梯度消失和梯度爆炸问题,并提高模型的收敛速度和泛化性能。此外,Deep Norm还可以减少对学习率的敏感性,使得模型更容易优化。需要注意的是,Deep Norm 需要在训练过程中对每一层的均值和方差进行估计,可以使用滑动平均等方法来更新归一化层的参数。在测试阶段,可以使用训练阶段估计的均值和方差进行归一化。总而言之,Deep Norm 是一种通过在深度神经网络中引入多层归一化操作来优化模型的方法,可以改善模型的训练和泛化性能。

45、写一下 Deep Norm 代码实现?

Deep Norm 的代码实现可以基于 PyTorch 框架来完成。以下是一个简单的 Deep Norm 的代码示例:

import torch

import torch.nn as nn

class DeepNorm(nn.Module):

def init(self, input_dim, hidden_dims, output_dim): super(DeepNorm, self).init()

self.layers = nn.ModuleList() self.norm_layers = nn.ModuleList()

#添加隐藏层和归一化层

for i, hidden_dim in enumerate(hidden_dims): self.layers.append(nn.Linear(input_dim, hidden_dim)) self.norm_layers.append(nn.LayerNorm(hidden_dim)) input_dim = hidden_dim

#添加输出层

self.output_layer = nn.Linear(input_dim, output_dim)

def forward(self, x):

for layer, norm_layer in zip(self.layers, self.norm_layers): x = layer(x)

x = norm_layer(x) x = torch.relu(x)

x = self.output_layer(x) return x

#创建一个DeepNorm模型实例

input_dim = 100

hidden_dims = [64, 32]

output_dim = 10

model = DeepNorm(input_dim, hidden_dims, output_dim)

#使用模型进行训练和预测

input_data = torch.randn(32, input_dim) output = model(input_data)

在这个示例中,我们定义了一个 DeepNorm 类,其中包含了多个隐藏层和归一化层。在 forward 方法中,我们依次对输入数据进行线性变换、归一化和激活函数处理,并通过输出层得到最终的预测结果。需要注意的是,在实际使用中,可以根据具体任务的需求来调整模型的结构和参数设置。此外,还可以使用其他 归一化方法,如 Layer Norm 或 Batch Norm,根据实际情况进行选择和实现。

46、Deep Norm 有什么优点?

Deep Norm 有以下几个优点:

  1. 改善梯度传播:Deep Norm 在每一层都引入了归一化操作,可以有效地解决深度神经网络中的梯度消失和梯度爆炸问题。通过减小输入数据的分布差异,Deep Norm 可以使得梯度更加稳定,并加速模型的收敛速度。
  2. 提高泛化能力:Deep Norm 的归一化操作有助于提高模型的泛化能力。归一化可以减小数据的分布差异,使得模型更容易学习到数据的共性特征,从而提高模型对未见数据的预测能力。
  3. 减少对学习率的敏感性:Deep Norm 的归一化操作可以减少对学习率的敏感性。通过将输入数据归一化到相同的尺度,Deep Norm 可以使得模型的训练更加稳定,减少了对学习率的调整需求。
  4. 网络结构更简洁:Deep Norm 可以将归一化操作嵌入到网络的每一层中,而不需要额外的归一化层。这使得网络结构更加简洁,减少了模型参数的数量,降低了计算和存储成本。
  5. 提高模型的可解释性:Deep Norm 的归一化操作可以使得模型的输出具有更好的可解释性。通过将输入数据归一化到均值为 0,方差为 1 的范围内,Deep Norm 可以使得模型输出的数值更易于理解和解释。

综上所述,Deep Norm 通过引入多层归一化操作,可以改善梯度传播、提高泛化能力、减少对学习率的敏感性,同时还能简化网络结构和提高模型的可解释性。

这些优点使得 Deep Norm 成为一种有效的深度学习模型优化方法。

47、 LN 在 LLMs 中的不同位置 有什么区别么?如果有,能介绍一下区别么?

层归一化 Layer Norm 在 大语言模型 LLMs 中的不同位置 有什么区别么?如果有,能介绍一下区别么? 在大语言模型(Large Language Models) 中,Layer Norm(层归一化)可以应用在不同位置,包括输入层、输出层和中间隐藏层。这些位置的归一化有一些区别:

  1. 输入层归一化:在输入层应用 Layer Norm 可以将输入的特征进行归一化,使得输入数据的分布更加稳定。这有助于减少不同样本之间的分布差异,提高模型的泛化能力。
  2. 输出层归一化:在输出层应用 Layer Norm 可以将输出结果进行归一化,使得输出结果的分布更加稳定。这有助于减小输出结果的方差, 提高模型的稳定性和预测准确性。
  3. 中间隐藏层归一化:在中间隐藏层应用 Layer Norm 可以在每个隐藏层之间进行归一化操作,有助于解决深度神经网络中的梯度消失和梯度爆炸问题。通过减小输入数据的分布差异,Layer Norm 可以使得梯度更加稳定,并加速模型的收敛速度。

总的来说,Layer Norm 在大语言模型中的不同位置应用可以解决不同的问题。输入层归一化可以提高模型的泛化能力,输出层归一化可以提高模型的稳定性和

预测准确性,而中间隐藏层归一化可以改善梯度传播,加速模型的收敛速度。具体应用 Layer Norm 的位置需要根据具体任务和模型的需求进行选择。

48、LLMs 各模型分别用了 哪种 Layer normalization?

不同的大语言模型(LLMs)可能会使用不同的层归一化方法,以下是一些常见的层归一化方法在大语言模型中的应用:

  1. BERT ( Bidirectional Encoder Representations from Transformers ) : BERT 使用的是 Transformer 中的层归一化方法, 即在每个Transformer 编码层中应用 Layer Normalization。
  2. GPT( Generative Pre-trained Transformer):GPT 系列模型通常使用的是 GPT-Norm,它是一种变种的层归一化方法。GPT-Norm 在每个 Transformer 解码层的每个子层(自注意力、前馈神经网络)之后应用 Layer Normalization。
  3. XLNet:XLNet 使用的是两种不同的层归一化方法,即 Token-wise 层归一化和 Segment-wise 层归一化。Token-wise 层归一化是在每个Transformer 编码层中应用 Layer Normalization , 而 Segment-wise 层归一化是在每个 Transformer 解码层的自注意力机制之后应用 Layer Normalization。
  4. RoBERTa:RoBERTa 是对 BERT 模型的改进,它也使用的是 Transformer 中的层归一化方法, 即在每个 Transformer 编码层中应用 Layer Normalization。

需要注意的是,虽然这些大语言模型使用了不同的层归一化方法,但它们的目的都是为了提高模型的训练效果和泛化能力。具体选择哪种层归一化方法取决于模

型的设计和任务的需求。

49、介绍一下 FFN 块 计算公式?

FFN(Feed-Forward Network)块是 Transformer 模型中的一个重要组成部分,用于对输入数据进行非线性变换。它由两个全连接层(即前馈神经网络)和一个激活函数组成。下面是 FFN 块的计算公式:假设输入是一个向量 x,FFN 块的计算过程如下:

  1. 第一层全连接层(线性变换):其中,W1 是第一层全连接层的权重矩阵,b1 是偏置向量。
  2. 激活函数:其中,g() 是激活函数,常用的激活函数有 ReLU(Rectified Linear Unit)等。
  3. 第二层全连接层(线性变换):其中,W2 是第二层全连接层的权重矩阵,b2 是偏置向量。

在 Transformer 模型中,FFN 块通常被应用在每个 Transformer 编码层的每个位置上,用于对位置编码的向量进行非线性变换。这样可以增加模型的表达能力, 提高对输入数据的建模能力。需要注意的是,上述公式中的 W1、b1、W2、b2 是 FFN 块的可学习参数,它们会通过训练过程进行学习和更新。

50、介绍一下 GeLU 计算公式?

GeLU(Gaussian Error Linear Unit)是一种激活函数,常用于神经网络中的非线性变换。它在 Transformer 模型中广泛应用于 FFN(Feed-Forward Network) 块。下面是 GeLU 的计算公式:假设输入是一个标量 x,GeLU 的计算公式如下:

其中,tanh() 是双曲正切函数,sqrt() 是平方根函数,pi 是圆周率。GeLU 函数的特点是在接近零的区域表现得类似于线性函数,而在远离零的区域则表现出非线性的特性。相比于其他常用的激活函数(如 ReLU),GeLU 函数在某些情况下能够提供更好的性能和更快的收敛速度。需要注意的是,GeLU 函数的计算复杂度较高,可能会增加模型的计算开销。因此,在实际应用中,也可以根据具体情况选择其他的激活函数来代替 GeLU 函数。

51、介绍一下 Swish 计算公式?

Swish 是一种激活函数,它在深度学习中常用于神经网络的非线性变换。Swish 函数的计算公式如下:

其中,sigmoid() 是 Sigmoid 函数,x 是输入,beta 是一个可调节的超参数。Swish 函数的特点是在接近零的区域表现得类似于线性函数,而在远离零的区域则表现出非线性的特性。相比于其他常用的激活函数(如 ReLU、tanh 等),Swish 函数在某些情况下能够提供更好的性能和更快的收敛速度。Swish 函数的设计灵感来自于自动搜索算法,它通过引入一个可调节的超参数来增加非线性程度。当 beta 为 0 时,Swish 函数退化为线性函数;当 beta 趋近于无穷大时,Swish 函数趋近于 ReLU 函数。需要注意的是,Swish 函数相对于其

他激活函数来说计算开销较大,因为它需要进行 Sigmoid 运算。因此,在实际应用中,也可以根据具体情况选择其他的激活函数来代替 Swish 函数。

52、介绍一下 使用 GLU 线性门控单元的 FFN 块 计算公式?

使用 GLU(Gated Linear Unit)线性门控单元的 FFN(Feed-Forward Network)块是 Transformer 模型中常用的结构之一。它通过引入门控机制来增强模型的非线性能力。下面是使用 GLU 线性门控单元的 FFN 块的计算公式:假设输入是一个向量 x,GLU 线性门控单元的计算公式如下:

( 1)其中,sigmoid() 是 Sigmoid 函数, 是一个可学习的权重矩阵。在公式(1)中,首先将输入向量 x 通过一个全连接层(线性变换)得到一个与 x 维度相同的向量,然后将该向量通过 Sigmoid 函数进行激活。这个Sigmoid 函数的输出称为门控向量,用来控制输入向量 x 的元素是否被激活。最后,将门控向量与输入向量 x 逐元素相乘,得到最终的输出向量。GLU 线性门控单元的特点是能够对输入向量进行选择性地激活,从而增强模型的表达能力。它在 Transformer 模型的编码器和解码器中广泛应用,用于对输入向量进行非线性变换和特征提取。需要注意的是,GLU 线性门控单元的计算复杂度较高,可能会增加模型的计算开销。因此,在实际应用中,也可以根据具体情况选择其他的非线性变换方式来代替 GLU 线性门控单元。

53、介绍一下 使用 GeLU 的 GLU 块 计算公式?

介绍一下 使用 GeLU 作为激活函数的 GLU 块 计算公式?使用 GeLU 作为激活函数的 GLU 块的计算公式如下:

其中,GeLU() 是 Gaussian Error Linear Unit 的激活函数,W_1 是一个可学习的权重矩阵。在公式(1)中,首先将输入向量 x 通过一个全连接层(线性变换)得到一个与 x 维度相同的向量,然后将该向量作为输入传递给 GeLU 激活函数进行非线性变换。最后,将 GeLU 激活函数的输出与输入向量 x 逐元素相乘,得到最终的输出向量。GeLU 激活函数的计算公式如下:

其中,tanh() 是双曲正切函数,sqrt() 是平方根函数,pi 是圆周率。在公式(2)中,GeLU 函数首先对输入向量 x 进行一个非线性变换,然后通过一系列的数学运算得到最终的输出值。使用 GeLU 作为 GLU 块的激活函数可以增强模型的非线性能力,并在某些情况下提供更好的性能和更快的收敛速度。这种结构常用于 Transformer 模型中的编码器和解码器,用于对输入向量进行非线性变换和特征提取。需要注意的是,GLU 块和 GeLU 激活函数是两个不同的概念,它们在计算公式和应用场景上有所区别。在实际应用中,可以根据具体情况选择合适的激活函数来代替 GeLU 或 GLU。

54、介绍一下 使用 Swish 的 GLU 块 计算公式?

介绍一下 使用 Swish 作为激活函数的 GLU 块 计算公式?使用 Swish 作为激活函数的 GLU 块的计算公式如下:

其中,sigmoid() 是 Sigmoid 函数,W_1 是一

个可学习的权重矩阵。在公式(1)中,首先将输入向量 x 通过一个全连接层(线性变换)得到一个与 x 维度相同的向量,然后将该向量通过 Sigmoid 函数进行激活。这个 Sigmoid 函数的输出称为门控向量,用来控制输入向量 x 的元素是否被激活。最后,将门控向量与输入向量 x 逐元素相乘,得到最终的输出向

量。Swish 激活函数的计算公式如下:

其中,sigmoid() 是 Sigmoid 函数,beta 是一个可学习的参数。在公式(2)中,Swish 函数首先对输入向量 x 进行一个非线性变换,然后通过 Sigmoid 函数进行激活,并将该激活结果与输入向量 x 逐元素相乘,得到最终的输出值。使用 Swish 作为 GLU 块的激活函数可以增强模型的非线性能力,并在某些情况下 提供更好的性能和更快的收敛速度。GLU 块常用于 Transformer 模型中的编码器和解码器,用于对输入向量进行非线性变换和特征提取。需要注意的是,GLU 块和 Swish 激活函数是两个不同的概念,它们在计算公式和应用场景上有所区别。在实际应用中,可以根据具体情况选择合适的激活函数来代替 Swish 或 GLU。