字符串替换研究

417 阅读9分钟

 

一、背景

需求非常简单,给定一组关键词,需要将商品名称中出现过的关键字替换掉;

如:skuName="HUAWEI Pura 70 Pro 国家补贴500元 羽砂黑 12GB+512GB 超高速风驰闪拍 华为鸿蒙智能手机" 需要替换成

skuName="HUAWEI Pura 70 Pro 羽砂黑 12GB+512GB 超高速风驰闪拍 华为鸿蒙智能手机" 这里的关键字"国家补贴500元";

直接skuName.replace("国家补贴500元", ""),不就可以了吗?如果是一组,那就循环替换就完了嘛,再考虑到关键字前缀问题,对这一组关键词,按字符长度进行排序,先替换长的关键词,再替换短的就ok了;

如果这一组关键词非常多,上千个怎么办?真实场景也是这样的,一般需要替换的关键词都是比较多,并且使用String.replace上线后,直接CPU打满,基本不可用;

这个字段替换本质上与敏感词过滤是一样的原理,针对敏感词的深入研究,出现了 Aho-Corasick(AC自动机) 算法;

Aho-Corasick(AC自动机)是一种多模式字符串匹配算法,结合了Trie树的前缀匹配能力和KMP算法的失败跳转思想,能够在单次文本扫描中高效匹配多个模式串。其核心优势在于时间复杂度为O(n + m + z)(n为文本长度,m为模式串总长度,z为匹配次数),适用于敏感词过滤、基因序列分析等场景。



二、方案

针对这几种算法进行对比;

字符串替换,定义一个接口,通过4个不同的方案实现,进行性能对比

public interface Replacer {
    String replaceKeywords(String text);
}

2.1 String.replace 方案

这种方案最简单,也是关键词少的时候,最有效,最好用的;

public class StrReplacer implements Replacer {
    private final List<String> keyWordList;
    public StrReplacer(String keyWords) {
        this.keyWordList = Lists.newArrayList(keyWords.split(";"));
        // 按关键字长度降序排序,确保长关键字优先匹配
        keyWordList.sort((a, b) -> Integer.compare(b.length(), a.length()));
    }
    /**
    * 替换文本中所有匹配的关键字为空字符串
    */
    @Override
    public String replaceKeywords(String text) {
        String newTxt = text;
        for (String s : keyWordList) {
            newTxt = newTxt.replace(s, "");
        }
        return newTxt;
    }
}

2.2 使用正则替换

String.replace本质,还是使用正则进行替换的,通过代码实现使用编译好的正则进行替换性能会好于直接使用replace;

String.replace的实现

public String replace(CharSequence target, CharSequence replacement) {
    return Pattern.compile(target.toString(), Pattern.LITERAL).matcher(
            this).replaceAll(Matcher.quoteReplacement(replacement.toString()));
}

使用正则替换的实现

public class PatternReplacer implements Replacer {
    // 预编译正则表达式模式
    private final Pattern pattern;
    public PatternReplacer(String keyWords) {
        List<String> keywords = Lists.newArrayList(keyWords.split(";"));
        // 按关键字长度降序排序,确保长关键字优先匹配
        keywords.sort((a, b) -> Integer.compare(b.length(), a.length()));
        // 转义每个关键字并用|连接
        String regex = keywords.stream()
                .map(Pattern::quote)
                .collect(Collectors.joining("|"));

        this.pattern = Pattern.compile(regex);
    }

    // 替换方法
    @Override
    public String replaceKeywords(String skuName) {
        return pattern.matcher(skuName).replaceAll("");
    }
}

2.3 使用Aho-Corasick(AC自动机) 算法实现

在java中已有现成的算法实现,源代码github-robert-bor/aho-corasick,

引入jar包

<dependency>
    <groupId>org.ahocorasick</groupId>
    <artifactId>ahocorasick</artifactId>
    <version>0.6.3</version>
</dependency>

基于 Aho-Corasick 算法的字符串替换实现

public class AhoCorasickReplacer implements Replacer {
    private final Trie trie;
    public AhoCorasickReplacer(String keyWords) {
        // 构建Aho-Corasick自动机
        Trie.TrieBuilder builder = Trie.builder().ignoreOverlaps().onlyWholeWords();
        //trie.caseInsensitive();
        //trie.onlyWholeWords();
        for (String s : keyWords.split(";")) {
            builder.addKeyword(s);
        }
        this.trie = builder.build();
    }
    /**
     * 替换文本中所有匹配的关键字为空字符串
     */
    @Override
    public String replaceKeywords(String text) {
        if (text == null || text.isEmpty()) {
            return text;
        }
        StringBuilder result = new StringBuilder();
        Collection<Emit> emits = trie.parseText(text); // 获取所有匹配结果
        int lastEnd = 0;
        for (Emit emit : emits) {
            int start = emit.getStart();
            int end = emit.getEnd();

            // 添加未匹配的前缀部分
            if (start > lastEnd) {
                result.append(text, lastEnd, start);
            }
            // 跳过匹配的关键字(即替换为空)
            lastEnd = end + 1; // 注意:end是闭区间,需+1移动到下一个字符
        }
        // 添加剩余未匹配的后缀部分
        if (lastEnd <= text.length() - 1) {
            result.append(text.substring(lastEnd));
        }
        return result.toString();
    }
}

2.4 自己实现Trie树算法实现

通过deepseek等人工智能,是非常容易自己实现一个Trie树,我们就只实现字符串替换的功能,其他的就不使用了;

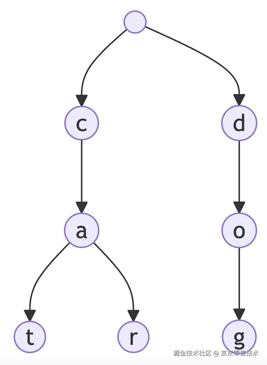
Trie树,又叫字典树,前缀树(Prefix Tree),单词查找树,是一种多叉树的结构.



编辑



结构说明: 表示根节点(空节点)

每个节点表示一个字符

粉色节点表示单词结束标记(使用 CSS class 实现)

路径示例:

root → c → a → t 组成 "cat"

root → c → a → r 组成 "car"

root → d → o → g 组成 "dog"

public class TrieKeywordReplacer implements Replacer {

    private final Trie trie;

    @Override
    public String replaceKeywords(String text) {
        return trie.replaceKeywords(text, "");
    }

    public TrieKeywordReplacer(String keyWords) {
        Trie trie = new Trie();
        for (String s : keyWords.split(";")) {
            trie.insert(s);
        }
        this.trie = trie;
    }

    static class TrieNode {
        Map<Character,TrieNode> children;
        boolean isEndOfWord;

        public TrieNode() {
            children = new HashMap<>();
            isEndOfWord = false;
        }
    }

    static class Trie {
        private TrieNode root;

        public Trie() {
            root = new TrieNode();
        }

        private synchronized void insert(String word) {
            TrieNode node = root;
            for (char c : word.toCharArray()) {
                if (node.children.get(c) == null) {
                    node.children.put(c, new TrieNode());
                }
                node = node.children.get(c);
            }
            node.isEndOfWord = true;
        }

        public String replaceKeywords(String text, String replacement) {
            StringBuilder result = new StringBuilder();
            int i = 0;
            while (i < text.length()) {
                TrieNode node = root;
                int j = i;
                TrieNode endNode = null;
                int endIndex = -1;
                while (j < text.length() && node.children.get(text.charAt(j)) != null) {
                    node = node.children.get(text.charAt(j));
                    if (node.isEndOfWord) {
                        endNode = node;
                        endIndex = j;
                    }
                    j++;
                }
                if (endNode != null) {
                    result.append(replacement);
                    i = endIndex + 1;
                } else {
                    result.append(text.charAt(i));
                    i++;
                }
            }
            return result.toString();
        }
    }
}

4个实现类对象的大小对比

对象大小
StrReplacer12560
PatternReplacer21592
TrieKeywordReplacer184944
AhoCorasickReplacer253896

性能对比

说明:待替换一组关键词共 400个;JDK1.8

StrReplacerPatternReplacerTrieKeywordReplacerAhoCorasickReplacer
单线程循环1w次,平均单次性能(ns)21843ns28846ns532ns727ns
名称中只有1个待替换的关键词,2个并发线程,循环1w次,平均单次性能(ns),机器 CPU 30%左右23444ns39984ns680ns1157ns
名称中只有20待替换的关键词,2个并发线程,循环1w次,平均单次性能(ns),机器 CPU 30%左右252738ns114740ns33900ns113764ns
名称中只有无待替换的关键词,2个并发线程,循环1w次,平均单次性能(ns),机器 CPU 30%左右22248ns9253ns397ns738ns


通过性能对比,自己实现的Trie树的性能是最好的,因为只做了替换的逻辑,没有实现其他功能,其次是使用AhoCorasick算法,因为使用 AhoCorasick算法,实现字符串替换是最基本的功能,AhoCorasick算法,还能精准的匹配到在什么地方,出现过多少次等信息,功能非常强大;

通过对比编译好的正则性能确实是比使用原生String.replace;

public class ReplacerTest {

    @Test
    public void testTrieKeywordReplacer(){
        //String name = skuName;
        //String expected = v2;
        //String name = "三星Samsung Galaxy S25+ 超拟人AI助理 骁龙8至尊版 AI拍照 翻译手机 游戏手机 12GB+256GB 冷川蓝";
        //String expected = name;

        String name = keyWords;
        String expected = v1;
        int cnt = 2;
        Replacer replacer = new TrieKeywordReplacer(keyWords);
        check(replacer, name, expected);
        for (int i = 0; i < cnt; i++) {
            checkExec(replacer, name);
        }
    }

    @Test
    public void 替换所有关键字() throws InterruptedException {
        //String name = skuName;
        //String expected = v2;
        //String name = "三星Samsung Galaxy S25+ 超拟人AI助理 骁龙8至尊版 AI拍照 翻译手机 游戏手机 12GB+256GB 冷川蓝";
        //String expected = name;

        String name = keyWords;
        String expected = v1;

        int cnt = 2;
        System.out.println("替换:" + name);
        Replacer replacer = new StrReplacer(keyWords);
        check(replacer, name, expected);
        for (int i = 0; i < cnt; i++) {
            checkExec(replacer, name);
        }


        replacer = new PatternReplacer(keyWords);
        check(replacer, name, expected);
        for (int i = 0; i < cnt; i++) {
            checkExec(replacer, name);
        }

        replacer = new TrieKeywordReplacer(keyWords);
        check(replacer, name, expected);
        for (int i = 0; i < cnt; i++) {
            checkExec(replacer, name);
        }

        replacer = new AhoCorasickReplacer(keyWords);
        check(replacer, name, expected);
        for (int i = 0; i < cnt; i++) {
            checkExec(replacer, name);
        }



    }


    @Test
    public void 无关键字替换() throws InterruptedException {
        //String name = skuName;
        //String expected = v2;
        String name = "三星Samsung Galaxy S25+ 超拟人AI助理 骁龙8至尊版 AI拍照 翻译手机 游戏手机 12GB+256GB 冷川蓝";
        String expected = name;

        //String name = keyWords;
        //String expected = v1;

        int cnt = 1;
        System.out.println("替换:" + name);
        Replacer replacer = new StrReplacer(keyWords);
        check(replacer, name, expected);
        for (int i = 0; i < cnt; i++) {
            checkExec(replacer, name);
        }


        replacer = new PatternReplacer(keyWords);
        check(replacer, name, expected);
        for (int i = 0; i < cnt; i++) {
            checkExec(replacer, name);
        }

        replacer = new TrieKeywordReplacer(keyWords);
        check(replacer, name, expected);
        for (int i = 0; i < cnt; i++) {
            checkExec(replacer, name);
        }

        replacer = new AhoCorasickReplacer(keyWords);
        check(replacer, name, expected);
        for (int i = 0; i < cnt; i++) {
            checkExec(replacer, name);
        }



    }

    @Test
    public void 有1个关键字替换() throws InterruptedException {
        //String name = skuName;
        //String expected = v2;
        //String name = "三星Samsung Galaxy S25+ 超拟人AI助理 骁龙8至尊版 AI拍照 翻译手机 游戏手机 12GB+256GB 冷川蓝";
        //String expected = name;

        //String name = keyWords;
        //String expected = v1;

        String name = "HUAWEI Pura 70 Pro 国家补贴500元 羽砂黑 12GB+512GB 超高速风驰闪拍 华为鸿蒙智能手机";
        String expected = "HUAWEI Pura 70 Pro 500元 羽砂黑 12GB+512GB 超高速风驰闪拍 华为鸿蒙智能手机";

        int cnt = 1;
        System.out.println("替换:" + name);
        Replacer replacer = new StrReplacer(keyWords);
        check(replacer, name, expected);
        for (int i = 0; i < cnt; i++) {
            checkExec(replacer, name);
        }


        replacer = new PatternReplacer(keyWords);
        check(replacer, name, expected);
        for (int i = 0; i < cnt; i++) {
            checkExec(replacer, name);
        }

        replacer = new TrieKeywordReplacer(keyWords);
        check(replacer, name, expected);
        for (int i = 0; i < cnt; i++) {
            checkExec(replacer, name);
        }

        replacer = new AhoCorasickReplacer(keyWords);
        check(replacer, name, expected);
        for (int i = 0; i < cnt; i++) {
            checkExec(replacer, name);
        }



    }


    static void check(Replacer replacer, String name, String expected) {
        System.out.println(replacer.getClass().getName()+",对象大小:"+ObjectSizeCalculator.getObjectSize(replacer));
        String newTxt = replacer.replaceKeywords(name);
        //System.out.println(newTxt);
        Assert.assertEquals(replacer.getClass().getName() + ",对比不一致!", expected, newTxt);
    }


    void checkExec(Replacer replacer, String name) {
        String newTxt = replacer.replaceKeywords(name);
        int nThreads  = 2;
        ExecutorService executorService = Executors.newFixedThreadPool(nThreads);
        CountDownLatch downLatch = new CountDownLatch(nThreads);
        int i = 0;
        while (i++ < nThreads) {
            executorService.submit(new Runnable() {
                @Override
                public void run() {
                    int i = 0;
                    long ns = System.nanoTime();
                    while (i++ < 100000) {
                        replacer.replaceKeywords(name);
                    }
                    String name = replacer.getClass().getName();
                    downLatch.countDown();
                    System.out.println(StringUtils.substring(name, name.length() - 50, name.length()) + "\ti=" + i + ", \t耗时:" + (System.nanoTime() - ns) / i + "ns");
                }
            });
        }
        executorService.shutdown();
        try {
            downLatch.await();
        } catch (InterruptedException e) {
            e.printStackTrace();
        }
    }

最后

1、使用现成的AhoCorasick算法进行实现,是性能与稳定性最优的选择,非常强调性能,还是可以自己实现Trie树来实现;

2、在真实的使用过程中,因为大部分的商品名称最多出现几个关键词,并且待替换的关键词往往都是比较多的,可以将这么关键词找出找出几个有代表性能的词,做前置判断,商品名称中是否存在;再进行全量替换;

如待替换的关键词有:政府补贴、国补、支持国补; 那么我们并不是直接就循环这个待替换的关键词组,而是找出这么关键词中都有的关键字”补”先判断商品名称中是否存在“补”字后,再做处理; 这里的前置判断,还可以使用布隆过滤器实现;


public String replaceKeywords (String skuName){
    Replacer replacer = new AhoCorasickReplacer(keyWords);
    if(skuName.contains("补")){
        return  replacer.replaceKeywords(skuName);
    } else {
        return skuName;
    }
}