模型的泛化性能度量:方法、比较与实现

147 阅读8分钟

在机器学习领域,模型的泛化性能度量是评估模型在未知数据上表现的关键环节。

通过合理的性能度量,不仅能了解模型的优劣,还能为模型的优化和选择提供科学依据。

本文将深入探讨泛化性能度量的重要性、各种度量方法、它们之间的区别与适用场景,并通过scikit-learn代码示例来展示如何实现这些度量方法。

1. 为什么要做泛化性能度量

模型的最终目标是在面对新数据时能够准确、稳定地进行预测或分类。

然而,在训练过程中,模型可能会出现过拟合(对训练数据拟合得过于紧密,导致在新数据上表现不佳)或欠拟合(未能充分学习数据特征)等问题。

泛化性能度量能够帮助我们:

  1. 客观评估模型优劣:通过量化的指标,准确判断模型在未知数据上的表现,避免主观臆断。
  2. 指导模型优化:明确模型的不足之处,为调整模型参数、选择更合适的算法提供方向。
  3. 比较不同模型:在多个模型之间进行公平、科学的比较,选出最适合特定任务的模型。
  4. 提前预警问题:及时发现模型可能存在的过拟合或欠拟合倾向,采取相应措施加以解决。

2. 度量泛化性能的方法

2.1. 错误率和精度

错误率(Error Rate)是指分类错误的样本数量占样本总数的比例。它直观地反映了模型预测出错的频率。

计算公式:Error Rate=错误样本数总样本数×100

Error Rate

=

错误样本数

总样本数

×

100

假设在 100 个测试样本中,模型错误分类了 10 个样本,那么错误率10/100 = 0.1

精度(Accuracy)是指分类正确的样本数量占样本总数的比例,与错误率相对应,反映了模型预测正确的概率。

计算公式:Accuracy=1−Error Rate

Accuracy

=

1

Error Rate

在上述 100 个测试样本中,模型正确分类了 90 个样本,精度为 90/100 = 0.9

错误率精度是分类问题的重要指标,它们能够快速给出模型整体的错误情况和正确率。

它们适用于各类别样本分布均衡的情况。

sckit-learn库中有对应的错误率和精度的计算函数,直接使用即可:

from sklearn.datasets import make_classification
from sklearn.model_selection import train_test_split
from sklearn.tree import DecisionTreeClassifier
from sklearn.metrics import accuracy_score

# 生成一个二分类数据集
X, y = make_classification(n_samples=1000, n_features=20, n_classes=2, random_state=42)

# 划分训练集和测试集
X_train, X_test, y_train, y_test = train_test_split(
    X, y, test_size=0.3, random_state=42
)

# 训练一个决策树分类器
clf = DecisionTreeClassifier(random_state=42)
clf.fit(X_train, y_train)

# 获取预测结果
y_pred = clf.predict(X_test)
y_proba = clf.predict_proba(X_test)[:, 1]

# 计算错误率,精度
error_rate = 1 - accuracy_score(y_test, y_pred)
accuracy = accuracy_score(y_test, y_pred)

print(f"错误率: {error_rate:.2f}")
print(f"精度: {accuracy:.2f}")

# 输出结果:
'''
错误率: 0.14
精度: 0.86
'''

2.2. 查准率,查全率和 F1

查准率(Precision)关注的是模型预测为正类的样本中,实际真正为正类的比例,它强调预测结果的可靠性

计算公式:Precision=TPTP+FP

Precision

=

T

P

T

P

F

P

查全率(Recall)衡量的是实际正类样本中,被模型正确预测为正类的比例,它关注的是模型对正类样本的覆盖能力

计算公式:Recall=TPTP+FN

Recall

=

T

P

T

P

F

N

F1 分数查准率查全率的调和平均数,综合考虑了两者的关系,提供了一个平衡的指标。

计算公式:F1=2×Precision×RecallPrecision+Recall

F

1

=

2

×

Precision

×

Recall

Precision

Recall

假设在某个二分类问题中,模型预测出 50 个正例,其中 40 个是真正的正例,实际正例总数为 60 个。

那么,

  • 查准率 = 40 / 50 = 0.8
  • 查全率 = 40 / 60 ≈ 0.6667
  • F1 分数 = 2 * (0.8 * 0.6667) / (0.8 + 0.6667) ≈ 0.7273

在处理不平衡数据集或对正类样本的预测准确性有特殊要求的任务中,查准率查全率和** F1 分数**能更全面地评估模型性能。

例如在医疗诊断中,高查全率意味着尽可能多地检测出患病个体,而高查准率则确保被诊断为患病的个体确实是真正的患者。

这三种指标在sckit-learn库中也有对应的方法:

from sklearn.metrics import (
    precision_score,
    recall_score,
    f1_score,
)

# 计算查准率,查全率和F1
precision = precision_score(y_test, y_pred)
recall = recall_score(y_test, y_pred)
f1 = f1_score(y_test, y_pred)

print(f"查准率: {precision:.2f}")
print(f"查全率: {recall:.2f}")
print(f"F1 分数: {f1:.2f}")

# 运行结果:
'''
查准率: 0.86
查全率: 0.86
F1 分数: 0.86
'''

2.3. ROC 和 AUC

ROC曲线Receiver Operating Characteristic Curve):以真正例率(TPR)为横轴,假正例率(FPR)为纵轴绘制的曲线。

它反映了模型在不同阈值下的真正例率和假正例率之间的权衡关系。

其中,

  • 真正例率(TPR):TPR = 真正例数 / (真正例数 + 假反例数)
  • 假正例率(FPR):FPR = 假正例数 / (假正例数 + 真反例数)

AUC曲线Area Under ROC Curve):ROC曲线下的面积,用于衡量模型区分正负样本的能力。

AUC值越大,表示模型的区分能力越强。

ROCAUC 适用于评估二分类模型的性能,尤其在需要比较不同模型对正负样本的区分能力时非常有效。

它们能够全面地反映模型在不同阈值下的综合表现,而不受阈值选择的影响。

绘制ROC曲线的代码如下,模型的训练过程和上面的示例类似,这里不再重复:

import matplotlib.pyplot as plt
from sklearn.metrics import (
    roc_auc_score,
    roc_curve,
)

plt.rcParams["font.sans-serif"] = ["SimHei"]  # 设置字体
plt.rcParams["axes.unicode_minus"] = False


# 计算ROC AUC
roc_auc = roc_auc_score(y_test, y_proba)

# 绘制ROC曲线
fpr, tpr, thresholds = roc_curve(y_test, y_proba)
plt.figure()
plt.plot(fpr, tpr, color="darkorange", lw=2, label=f"ROC curve (area = {roc_auc:.2f})")
plt.plot([0, 1], [0, 1], color="navy", lw=2, linestyle="--")
plt.xlim([0.0, 1.0])
plt.ylim([0.0, 1.05])
plt.xlabel("假正例率(FPR)")
plt.ylabel("真正例率(TPR)")
plt.title("ROC 曲线")
plt.legend(loc="lower right")
plt.show()

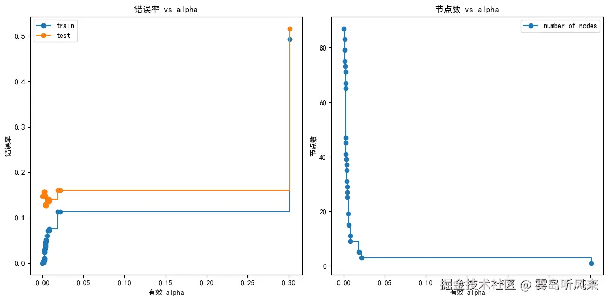
2.4. 代价曲线

代价曲线考虑了不同分类错误所造成的实际损失(代价),通过绘制不同阈值下的总代价变化情况,帮助选择最优的分类阈值,使模型在实际应用中的损失最小。

它是对ROC曲线的一种扩展,考虑了不同错误分类的代价。

通过计算ROC曲线上每个点对应的期望总体代价,并在代价平面上绘制线段,取所有线段的下界围成的面积即为代价曲线

代价曲线的绘制方法稍微复杂一些,下面的的代码展示了不同ccp_alpha值对训练集和测试集错误率的影响,以及节点数量的变化。

# 演示代价复杂度剪枝
path = clf.cost_complexity_pruning_path(X_train, y_train)
ccp_alphas, impurities = path.ccp_alphas, path.impurities

clfs = []
for ccp_alpha in ccp_alphas:
    clf = DecisionTreeClassifier(random_state=0, ccp_alpha=ccp_alpha)
    clf.fit(X_train, y_train)
    clfs.append(clf)

node_counts = [clf.tree_.node_count for clf in clfs]
depth = [clf.tree_.max_depth for clf in clfs]

train_errors = [1 - clf.score(X_train, y_train) for clf in clfs]
test_errors = [1 - clf.score(X_test, y_test) for clf in clfs]

plt.figure(figsize=(12, 6))
plt.subplot(121)
plt.plot(ccp_alphas, train_errors, marker="o", drawstyle="steps-post", label="train")
plt.plot(ccp_alphas, test_errors, marker="o", drawstyle="steps-post", label="test")
plt.xlabel("有效 alpha")
plt.ylabel("错误率")
plt.title("错误率 vs alpha")
plt.legend()

plt.subplot(122)
plt.plot(
    ccp_alphas, node_counts, marker="o", drawstyle="steps-post", label="number of nodes"
)
plt.xlabel("有效 alpha")
plt.ylabel("节点数")
plt.title("节点数 vs alpha")
plt.legend()

plt.tight_layout()
plt.show()

3. 度量方法之间的比较

以上各个度量方法有各自的优缺点和使用场景,整理如下表,使用时请根据具体情况来选择。

度量方法

优点

缺点

适用场景

错误率

直观易懂,计算简单

未能区分不同类型的错误,可能在不平衡数据集上具有误导性

分类问题的初步评估,样本分布均衡的情况

精度

直观反映模型正确率

同错误率类似,在不平衡数据集上可能不够准确

快速了解模型整体正确性,各类别样本分布相对均匀的任务

查准率、查全率和 F1

全面考虑正类样本的预测情况,适用于不平衡数据集

指标较多,需要综合考虑

对正类样本预测准确性有特殊要求的任务,如医疗诊断、欺诈检测等

ROC 和 AUC

全面反映模型对正负样本的区分能力,与分类阈值无关

主要适用于二分类问题,且当正负样本分布极度不平衡时,可能对少数类的评估不够敏感

比较不同模型的分类性能,尤其是当需要综合考虑不同阈值下的表现时

代价曲线

考虑实际业务损失,针对性强

需要明确不同错误类型的代价,且曲线绘制和分析相对复杂

实际应用场景中对分类错误代价敏感的任务,如金融风控、营销策略制定等

4. 总结

模型的泛化性能度量是机器学习流程中不可或缺的一环。

通过合理选择和运用不同的度量方法,我们能够全面、客观地评估模型在未知数据上的表现,为模型的优化和实际应用提供坚实的依据。

在实际项目中,应根据数据特点、业务需求以及模型类型等因素,灵活选择合适的度量指标,充分发挥各指标的优势,确保模型在复杂多变的现实场景中稳定、高效地运行。