Qwen-VL 论文精读

437 阅读9分钟

zhuanlan.zhihu.com/p/660662864

huggingface.co

arxiv.org/pdf/2308.12…

2023年10月13日

贡献

  1. 这是一套大型视觉语言模型(LVLMs),旨在感知和理解文本和图像,可以实现图像理解、定位、文本阅读等。
  2. 包括Qwen-VL和Qwen-VL-Chat两个模型:
  • Qwen-VL是一个预训练模型,能够感知和理解视觉输入,根据给定的提示生成所需的响应,并完成各种视觉语言任务,如图像描述、问题回答、基于文本的问题回答和视觉定位。
  • Qwen-VL-Chat则是基于Qwen-VL的指令调优视觉语言聊天机器人。Qwen-VL-Chat 能够与用户交互,并根据用户的意图感知输入图像。
  1. 引入一种新的位置感知视觉-语言适配器,包括语言对齐的视觉编码器和位置感知适配器,来增强LLM的视觉能力。

  2. 整个模型架构以及输入输出接口都非常简洁,详细设计了一个三阶段的训练管道,以在大量的图像-文本语料库上优化整个模型。

  3. Qwen-VL系列模型的主要特点包括:

    1. 领先的性能: 在多个评估基准(包括零样本图像描述、视觉问答、文档视觉问答和定位)上,它明显优于现有的开源大型视觉-语言模型(LVLMs)。
    2. 多语言: Qwen-VLs 支持英语、中文和中英文语言指令。
    3. 多图像:在训练阶段,我们允许任意交错的图像-文本数据作为Qwen-VL的输入。这个功能使Qwen-Chat-VL能够在给出多个图像时进行比较、理解和分析上下文。
    4. 精细视觉理解:由于我们在训练中使用了更高分辨率的输入大小和精细语料库,Qwen-VLs表现出高度竞争的精细视觉理解能力。与现有的视觉语言模型相比,我们的Qwen-VLs具有更好的细节文本识别、文档问答和边界框检测和精细对话性能。

模型架构

  1. Qwen-VL的整体网络架构由三个组件组成:

  • 大型语言模型:Qwen-VL采用大型语言模型作为其基础组件。该模型由Qwen-7B预训练的权值初始化。
  • 视觉编码器:Qwen-VL的视觉编码器使用了VisionTransformer(ViT) 架构,使用 Openclip 的 ViT-bigG (1414 大小的 patch) 中预先训练的权重初始化。在训练和推理期间,输入图像被调整到特定的分辨率。视觉编码器通过将图像分成1414的 patch 处理图像,生成一组图像特征。
  • 2D位置感知视觉-语言适配器:为了缓解长图像特征序列带来的效率问题,使用视觉-语言适配器用于压缩图像特征。该适配器包含一个单层交叉注意力模块,初始化为随机值。该模块使用一组可训练的向量作为 query,并使用来自视觉编码器的图像特征作为交叉注意力操作的 key 。该机制将视觉特征序列压缩到固定长度为256。此外,考虑到为精细图像理解提供位置信息的重要性,2D绝对位置编码被整合到交叉注意力机制的 query-key 对中,以减轻压缩过程中位置细节的潜在损失。随后,长度为256的压缩图像特征序列被馈送到大型语言模型中。

输入和输出

  1. 图像输入:图像通过视觉编码器和适配器进行处理,产生固定长度的图像特征序列。为了区分图像特征输入和文本特征输入,分别在图像特征序列的开头和结尾添加两个特殊标记(和),表示图像内容的开始和结束。
  2. 边界盒输入和输出:为了增强模型的细粒度视觉理解能力,Qwen-VL的训练涉及以区域描述、问题和检测形式的数据。与涉及图像-文本描述或问题的传统任务不同,该任务需要模型准确理解并生成指定格式的区域描述。对于任何给定的限界框,应用一个规范化过程(在[0,1000)范围内)并转换为指定的字符串格式:"(X_topleft,Y_topleft),(X_bottomright,Y_bottomright)".字符串标记为文本,不需要额外的位置词汇表。为了区分检测字符串和常规文本字符串,在限界框字符串的开头和结尾添加了两个特殊的标记(和)。此外,为了恰当地将限界框与其对应的描述性单词或句子相关联,引入了另一组特殊标记(和),标记限界框所引用的内容。
  3. 下面是 7 种任务的数据处理展示,黑色文本是前缀输入,蓝色文本是真实标签。

训练

  1. 一共分三个阶段,前两个是预训练,最后一个是 SFT 。

  1. 各个阶段的超参数介绍

第一阶段 Pre-training

  1. 我们主要利用一个大规模、弱标签、网络爬取的图像-文本对数据集。我们的预训练数据集由几个公共可访问的来源和一些内部数据组成。原始数据集包含总共50亿对图像-文本,经过清理后,剩下14亿数据,其中77.3%(1092.4M)为英文(文本)数据,22.7%(325M)为中文(文本)数据。
  2. 我们冻结大型语言模型,仅优化该阶段的视觉编码器和视觉适配器。输入图像被调整为 224x224 。训练目标是最小化文本标记的交叉熵。具体来说,模型的任务是尽量减小文本标记的预测与真实标记之间的差距,以提高文本生成的准确性。消耗了约15亿个图像-文本样本,预计 5000 亿个图像-文本 token。

第二阶段 Mutil-task Pre-training

  1. 引入了高质量和精细的视觉语言标注数据,具有更大的输入分辨率和交错的图像-文本数据。我们在7个任务上同时训练Qwen-VL,如下图所示。分别有: 图像描述(Captioning)、视觉问答(VQA)、定位任务(Grounding)、参考定位(Ref Grounding )、定位描述(Grounded Cap.)、光学字符识别(OCR)、文本生成(Text Generation)。
  2. 为了改进面向文本的任务,从Common Crawl中收集PDF和HTML格式的文本数据,并使用自然风景背景生成英语和中文的合成OCR数据。最后,我们简单地通过将相同任务数据打包成长度为2048的序列来构建交错的图像-文本数据。
  3. 我们将视觉编码器的输入分辨率从224x224增加到448x448,从而减少了图像下采样引起的信息损失。我们进一步解锁了大型语言模型,并训练了整个模型。训练目标与预训练阶段相同。
  4. 总计数据量76.8M。

第三阶段 SFT

  1. 在这个阶段,我们通过指令微调对Qwen-VL预训练模型进行了微调,以增强其指令遵循和对话能力从而产生了交互式Qwen-VL-Chat模型。

  2. 多模态指令微调数据主要来自字幕数据或通过LLM自我指令生成的对话数据,这些数据通常仅针对单图像对话和推理,并且仅限于图像内容理解。我们通过人工注释、模型生成和策略拼接构建了一套额外的对话数据,将定位能力和多图像理解能力融入Qwen-VL模型。

  3. 我们在训练过程中将多模态和纯文本对话数据混合在一起,以确保模型在对话能力上的通用性。指令调优数据量为350k。在这个阶段,我们冻结了视觉编码器,并优化了语言模型和适配器模块。下面演示了这一阶段的数据格式。

  4. 为了更好地适应多图像对话和多图像输入,在不同图像前添加了字符串“Picture id:”,该字符串对应于图象输入对话的顺序。

  5. 在对话格式方面,我们使用ChatML(Openai)格式构建了我们的指令调优数据集,其中每个交互的语句被标记为两个特殊的标记(<im_start>和<im_end>),以便于对话的终止。

  6. 在训练过程中,只对答案和特殊标记(上例中为蓝色)进行监督训练,而不监督角色名称或问题提示。

数据处理细节

论文中关于每种数据的处理细节做了介绍。

一些结论

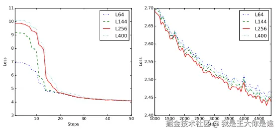
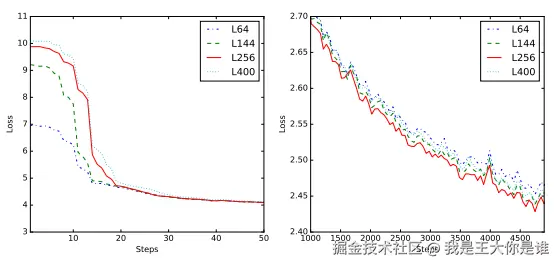
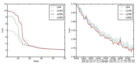
  1. 视觉语言适配器的输出特征越少,初始损失越低,但是过多或者变少都会导致收敛速度变慢。考虑到第二阶段的训练使用了 448*448分辨率,其中ViT输出的序列长度为(448/14)^2=1024。过少的查询会导致更多信息丢失。我们最终选择在Qwen-VL中为视觉语言适配器使用256作为特征长度。

  1. 在模型中使用高分辨率的Vision Transformer将显著增加计算成本。进行了消融实验,比较了使用全局注意力和窗口注意力进行ViT时的模型性能,以分析计算效率和模型收敛之间的权衡。 如图所示,当使用 Window Attention ,模型的损失会显著更高。而且他们俩的训练速度相似。因此,我们决定在训练Qwen-VL时使用 448x448 Global Attention 。我们之所以不使用896x896分辨率的 Window Attention,是因为它的训练速度对我们来说太慢了,训练时间几乎是448x448 Global Attention 输入模型的2.5倍。

  1. 为了研究多模式训练对纯文本能力的影响,在下图展示了Qwen-VL与开源 LLM 的纯文本任务表现。测试时候Qwen-VL使用Qwen-7B的中间检查点而不是最终版本作为LLM初始化。此外,在多任务训练和SFT阶段,Qwen-V不仅利用视觉和语言相关数据,还纳入纯文本数据进行训练。这样做的目的是防止灾难性崩溃。结果表明 Qwen-VL模型在纯文本能力方面没有表现出任何退化,甚至在多任务训练后显示出改进。