基于PSO-SVM的乳腺癌数据分类识别算法matlab仿真,对比BP神经网络和SVM

99 阅读3分钟

1.算法运行效果图预览

(完整程序运行后无水印)

 

pso优化SVM过程:

image.png  

识别率对比:

image.png

  image.png

 

 

2.算法运行软件版本

matlab2022a

 

3.部分核心程序

(完整版代码包含详细中文注释和操作步骤视频)

`x = rand(Num,D)/50;

v = rand(Num,D)/50;

%先计算各个粒子的适应度,并初始化Pi和Pg

for i=1:Num

    [p(i)]  = fitness(x(i,:),P,T);

    y(i,:)= x(i,:);

end

%全局最优

pg = x(1,:);            

 

for i=2:Num

    [pa(i)]  = fitness(x(i,:),P,T);

    [pb(i)]  = fitness(pg,P,T);

   

    if pa(i) < pb(i)

       pg=x(i,:);

    end

end

 

for t=1:Iters

    t

    for i=1:Num

        v(i,:) = v(i,:)+c1rand(y(i,:)-x(i,:))+c2rand(pg-x(i,:));

        x(i,:) = x(i,:)+v(i,:);

       

        if x(i,1)<0

           x(i,1)=0.01;

        end

        if x(i,2)<0

           x(i,2)=0.001;

        end

        [pa(i)] = fitness(x(i,:),P,T);

        if pa(i)<p(i)

           p(i)  = pa(i);

           y(i,:)= x(i,:);

        end

        [pb(i)] = fitness(pg,P,T);

        if p(i)<pb(i)

           pg=y(i,:);

        end

    end

    Pbest(t)  = mean(pb);

    t

end

 

figure;

plot(Pbest,'b');

legend('加权收敛目标');

grid on

 

%保存最优参数

for i=1:Num

[pa(i)] = fitness(x(i,:),P,T);

end

[V,I] = min(pa);

 

C     = x(I,1)/5;

gamma = x(I,2)/20;

05_0071m

 

save para.mat C gamma`  

4.算法理论概述

        粒子群优化(Particle Swarm Optimization, PSO)是一种基于群体智能的优化算法,它模仿了鸟群觅食的行为。支持向量机(Support Vector Machine, SVM)是一种用于分类和回归分析的监督学习方法。将PSO与SVM结合,可以优化SVM中的参数选择问题,从而提高分类精度和泛化能力。

 

4.1 PSO粒子群优化

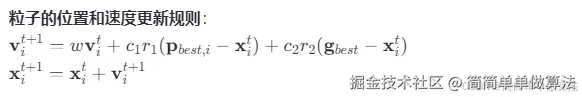
        粒子群优化算法是由Kennedy和Eberhart在1995年提出的。该算法模拟了鸟类觅食的行为,通过个体之间的协作完成搜索任务。每个“粒子”代表一个潜在解,每个粒子在搜索空间中具有位置和速度两个属性。

image.png

 

其中,w 是惯性权重,c1​ 和c2​ 是加速常数,r1​ 和r2​ 是[0,1]区间内的随机数。pbest,i​ 是粒子i的最佳历史位置,而gbest​ 是整个群体中的最佳位置。

 

4.2 svm

       SVM的目标是在不同类别之间找到一个最优的超平面,使得两类样本被尽可能远地分开。对于线性可分问题,SVM试图找到一个线性决策边界,即:

image.png

 

4.3 PSO-SVM

       在PSO-SVM中,PSO用于优化SVM的参数,如C(惩罚系数)、γ(核函数中的参数)。具体步骤如下:

 

初始化PSO种群;

每个粒子代表一组SVM参数;

使用交叉验证的方法评估每组参数下的SVM分类性能;

根据分类性能更新粒子的位置和速度;

迭代直至满足终止条件。

       PSO-SVM不仅能够有效解决SVM中参数选择的问题,还能够获得比传统SVM和BP神经网络更高的分类精度和更好的泛化能力。因此,在处理如乳腺癌这样的复杂分类问题时,PSO-SVM提供了一种有效的解决方案。